电磁场基本定理

根据麦克斯韦方程组导出的关于电磁场性质和表明几组电磁场之间关系的一些结论。这些结论是求解各种有源或无源电磁场边值问题的理论依据。

在国际单位制中,麦克斯韦方程组为

公式 符号   (1)

式中E为电场强度;b磁感应强度h磁场强度D为电位移;ρ为电荷密度;J 为电流密度。

引入磁流密度Jm、磁荷密度ρm后,就可写出广义麦克斯韦方程组

公式 符号   (2)

它在数学上存在对偶性,并为各种等效原理提供了数学基础。

当方程组 (2)的解与 (1)的解在局部区域内相等时,Jmρm称为等效磁流密度和等效磁荷密度。多数情况下,Jm是指某一闭曲面上的E×nρm是指同一曲面上的n·b(n为指向等效区域的单位法矢)。

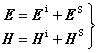
在各向同性的简单情况下,各场量之间的关系为:DεEbμhJσE。式中ε为介电系数(或电容率);μ为磁导率;σ为电导率。

电磁场的惟一性定理

从麦克斯韦方程组出发求解电磁场问题时,需要知道在怎样的边界条件和初始条件下所求得的解才是惟一的。也就是说在这些条件下可以任选一种解电磁场的方法(即使是直观猜测的方法),所求出的解既满足麦克斯韦方程组,又是惟一的。

对一个以封闭曲面S为边界的有限区域V来说,惟一条件是:

(1)在t=t0时,V内任一点上的场值等于已知值E0h0(初始条件);

(2)在tt0的任何时刻,S上的Eh的切线分量,或它们两者之比等于已知值(边界条件)。在此条件下,区域Vtt0的场就被惟一地确定了。对于时谐电磁场,只要满足边界条件就能保证解的惟一性。

对于无限区域,惟一性条件还应包括:

(1)所有场源都位于空间的有限区域内;

(2)只取以有限速度向无穷远传播的解;

(3)当场点趋于无穷远时,电磁场的幅值随场点至源点距离的增加而衰减的速率比距离倒数的衰减率快(即辐射条件)。

图

电磁场的等效源原理

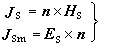
若闭曲面 S包围了全部真实源并把空间分成内外区域(图1),则外区的电磁场可认为是由S上的等效源,即等效面电流密度Js和等效面磁流密度Jsm所产生;也就是广义麦克斯韦方程组在S外的解(在S内的解恒等于零)。且有

公式 符号   (3)

式中nS的单位外法矢;EshsS上与JsJsm 同一点的电磁场值。这就是等效源原理,它把真实源的电磁场边值问题转换成为等效面源的辐射问题,既易作物理解释,又便于数学处理。主要用于电磁激励、耦合和绕射的理论计算。

电磁场的感应定理

在确定的媒质条件下,设某真实的电磁源在空间某点所产生的电磁场为Eihi。当局部区域的媒质情况发生改变时,同样的源所产生的场随之改变成Eh,其改变量为ESHS,称为散射场,即

公式 符号 (4)

若用闭曲面S 把空间分成两部分VmVsVm完全包含了媒质情况有改变的区域,Vs完全包含真实电磁源所在的区域;并用S上的等效面源JsJsm代替真实源

公式 符号  (5)

式中n指向媒质情况未变的区域;将JsJsm代入广义麦克斯韦方程组并求解,则VS内的解就是EShS,而Vm内的解则是Eh,这就是感应原理。它主要用于散射场的理论计算。

巴俾涅原理

光学中标量场巴俾涅原理的推广。已知电磁源在自由空间(真空)中某点产生的电磁场为Eihi;以及在源区与场点之间放置一块无限大、无限薄且带有孔径SA的理想导电屏时,穿过孔径SA电磁波在该点的场为Eehe。若将原导电屏换成与之互补形状的理想导电屏,同时将原电流源换成大小相等、方向相同的磁流源,将原磁流源换成大小相等、方向相反的电流源,并将介电常数换μ0(真空的磁导率),磁导率换成ε0(真空的介质常数),则绕过互补导电屏的电磁波在同一点产生的场公式 符号公式 符号满足下列关系式

公式 符号  (6)

这就是电磁场的巴俾涅原理。它主要用于缝隙天线的理论分析。

电磁场对偶性(二重性)

广义麦克斯韦方程组(2)中的场函数EhbD源函数ρρmJJm以及媒质参数εμ,按照某种对偶方式置换后仍得到方程组(2)。对偶方式不是惟一的,例如可取为

公式 符号    (7)

利用对偶性可由一种电磁场问题的解推论出另一种对偶问题的解。例如,由电流、电荷源的电磁场解推论出磁流、磁荷源的电磁场解。

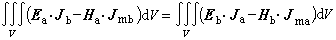
电磁场互易定理

两组频率相同的时谐电磁场所满足的关系式

公式 符号  (8)

式中JaJma为激发Eaha的电流密度和磁流密度;JbJmb为激发Ebhb的电流密度和磁流密度;积分区间是无限区间。

互易定理表明,在线性和各向同性的媒质中,如果互换源点和观察点的位置而不改变源量,则在新观察点的场就等于互换前在原观察点的场。

洛伦兹引理

互易定理在有限场域V中的推论,有下列关系式

公式 符号 (9)

式中SV 的边界面;单位法矢n指向V 的外部。

图

电磁场镜像原理

用假想的镜像源代替不同媒质的分界面对电磁场的影响,但只适用于诸如平面、球面等简单形状的分界面情况。设自由空间被具有无限大平表面的理想导电体所分割,该导体分界面的作用可用实际源在分界面对称位置上的镜像源来等效(图2)。平行分界面的源JJm分别有镜像-JJm;垂直于分界面的源分别有镜像+J 或-Jmρ 的镜像为-ρρm的镜像为+ρm。任意方向的JJm可先分解成平行和垂直于分界面的两个分量,总的镜像等于每一个分量的镜像之矢量和。这就将问题简化成在均匀无界媒质中由已知源(真实源和镜像源)求场的问题。

利用电磁场的对偶性,就可以得到图2所示的理想导磁体分界面的镜像。

参考书目
  1. J.A. Stratton,Electromagnetic Theory,McGraw-Hill,New York,1941.
  2. R.F. Harrington,Time-Harmonic Electromagnetic Fields,McGraw-Hill,New York,1961.
  3. J.Van Bladel,Electromagnetic Fields,McGraw-Hill,New York,1964.