明渠流

具有显露于大气中的自由水面的水流,如天然河道、人工渠道中的水流。明渠的流量、断面形式、坡度、糙率等的变化,都会引起自由水面的变化,相应地也使水深和流速变化。自由水面的计算是工程中需解决的一个重要问题,如引水或排水渠道的合理断面尺寸和流速大小的决定,拦河筑坝以后水库淹没范围的估算,都归结为明渠流水面曲线的绘制。

明渠的渠身形状和大小保持不变的长直渠道称为棱柱形渠道;断面形状和大小沿程变化的渠道称为非棱柱形渠道。

明渠恒定均匀流

在顺直棱柱形长渠道中可形成渠中水深、流速沿程不变的均匀流。均匀流水力计算式:

公式 符号

式中Q为流量;v为流速;A为过水断面面积;R为水力半径(过水断面面积与断面固体周长,即湿周之比);C谢才系数,通常采用CR 1/6/nn为糙率,表示渠壁的“粗糙”情况;i为底坡,即渠道底线与水平线夹角的正弦。

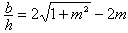
在工程设计中,有时要求在给定断面面积A的条件下,使渠道通过最大的流量。从上式看出,当nAi一定时,要使流量Q极大,必须水力半径R极大,即湿周极小。使渠道水力半径为极大的断面,称为水力最佳断面。通常渠道的断面为梯形。梯形水力最佳断面满足如下条件:

公式 符号

式中m为梯形断面边坡比;h为水深;b为梯形断面的底边。矩形水力最佳断面的水力半径Rh/2。

无压管道(如下水道)具有某些水力特点。如直径为b的圆形断面管道,并非刚刚充满管道时的流量或流速为最大,而是水深h=0.95b时的流量最大;h=0.81b时的流速最大。这是因为过水断面面积A及水力半径R与水深h的关系并非单调变化所引起。

明渠恒定非均匀流

在渠道底坡、断面或糙率等沿程变化的渠道中,必然形成水深、流速沿程变化的非均匀流。

棱柱形渠道非均匀渐变流水深h沿流程s的变化,可由伯努利方程和连续性方程得到如下的规律:

公式 符号

式中B为断面上水深为h时的水面宽度。用Fr2表示分母中的 Q2B/ɡA3v2/ɡh公式 符号称为弗劳德数。当Fr<1时,渠道某处水流(如水深)的变化可影响该处上下游,这种水流称为缓流;当Fr>1时,某处水流的变化只波及下游而不影响上游,这种水流称为急流。对上式积分,即可求出水深沿流程的分布,即水面曲线,相应可求各断面的流速。求得水深及流速沿程的变化,即可解决有关工程问题。非棱柱形渠道的水面曲线可用差分法解伯努利方程及连续性方程得到。

水跃

明渠水流从急流过渡到缓流状态时水面突然跃起的局部水力现象(图1,hK为临界水深)。

图

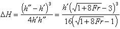
水跃前后的水深分别为h′及h",两者的关系在矩形断面棱柱形平底渠道中为

公式 符号

水跃中的水头损失

公式 符号

由此看出,水跃前的弗劳德数愈大,即水流愈急,水头损失愈大。

消能

在堰闸下游,陡坡渠道的尾端,桥涵出口,跌水处等水流的流速很大,会冲刷河床,危及建筑物的安全。为了把引起冲刷的水流能量在较短的区域内消除,设计有各种消能的措施,如增加渠底粗糙度的人工粗糙(图2)和利用水跃消能而建的消力池(图3)等。

图 图

明渠非恒定流

基本特征是流量Q和水位Z等,都是时间t和位置s的函数。描述明渠非恒定渐变流的圣维南方程组

公式 符号 公式 符号

联解该方程组并使其符合初始条件和边界条件,即可求出非恒定流的变量QQ(st)和ZZ(st),以解决实际工程问题,如洪水坡的演进等。