导弹弹道学

浏览

研究导弹飞行中质心运动的学科。它是在外弹道学基础上发展起来的,是导弹飞行力学的一个分支,属于应用力学范畴。

导弹是现代武器,只有约50年的历史。随着导弹出现而发展起来的导弹弹道学是一门新的边缘学科。研究导弹运动状态的现代学科,除导弹弹道学外,还有研究导弹绕质心运动的姿态控制学和研究导弹落点散布的制导理论等。这些学科是相互紧密联系的。导弹弹道学涉及地球物理学、空气动力学、应用数学、计算机程序设计等广泛的知识领域。

导弹弹道学是研究和解决导弹及其系统在研制、试验和战斗使用中直接与导弹质心运动规律有关的各种实际问题。它与研究一般力学对象运动规律的理论力学,既有区别又有联系。在理论力学中给出一般力学对象作机械运动时,应遵循普遍规律和描述其运动的运动方程;而导弹弹道学则根据理论力学的普遍规律,深入地分析导弹这一特定对象的运动规律。其主要研究内容有:

(1)研究描述导弹运动的微分方程组的建立和解法,进行弹道计算;

(2)研究导弹的飞行特性(主要是导弹的射程和飞行高度)与设计参数的依从关系,合理选择导弹的设计参数;

(3)选择最佳飞行路线,以保证导弹能量的最佳运用;

(4)研究各种干扰因素对弹道性能的影响;

(5)编制导弹射表,供试验或战斗使用。

导弹质心运动的轨迹称为导弹弹道。根据导弹弹道形成的特点,一般可以把弹道分为三类:第一类是弹道导弹弹道,亦称自主弹道。这类弹道在导弹发射前是预先规定的,适用于攻击固定目标,导弹发射后一般不能随意改变,只能沿预定曲线飞向目标。第二类是有翼导弹弹道,亦称导引弹道。这类弹道是一种随机弹道,在导弹发射前不能预先规定,须视目标的活动情况而定,一般适用于攻击活动目标。大部分有翼导弹(如地空导弹、空空导弹等)的弹道属于这一类。第三类是巡航导弹弹道,亦称复合弹道。这类弹道一般分为两部分,一部分是按预先规定的程序飞行,另一部分须根据目标特性实时确定。这类弹道既适用于攻击固定目标,又适用于攻击活动目标,陆基、舰载、机载巡航导弹属于这一类。

弹道导弹弹道

根据受力情况,弹道一般分为三段(图 1):主动段(OK)、自由段(KE)和再入段(EC)。主动段是导弹推进系统工作的飞行阶段,亦称动力飞行段。在这一段,导弹的飞行是有控的。此时,作用在导弹上的力有推力、空气动力、控制力、地球引力和由于地球旋转引起的惯性力等。主动段飞行时间约100秒到200秒左右。在自由段,导弹弹头与弹体分离,弹头依靠在主动段终点获得的能量,在接近真空的环境下作惯性飞行,此时,作用在弹头上的力主要是地球引力和地球旋转引起的惯性力。自由段飞行时间较长,如洲际弹道导弹的自由段飞行时间可长达数千秒。再入段是弹头再入大气层一直到落点的一段弹道。再入段起始点 (E)的高度一般为80公里左右。此时,导弹飞行处于稠密的大气层内,弹头将受到巨大的空气动力的作用,飞行时间约数十秒。以某一洲际弹道导弹为例:导弹在发射台上点火,当其推力超过导弹所受的重力后,导弹从发射台上起飞,作垂直上升运动,垂直上升段的持续时间为10秒左右,此时离地面的高度约200米,速度约40米/秒。此后,导弹在控制系统作用下,开始转弯,并指向目标。随着时间的增长,导弹的飞行速度、飞行高度及飞行距离逐渐增大,而弹道倾角 θ(导弹飞行速度矢量与地平线的夹角)逐渐减小。到发动机关机时,即到主动段终点 K时,导弹的速度 Vk约7000米/秒,K点离地面高度约为200公里,离发射点O的水平距离约为700公里。在自由段的升弧段飞行高度继续增大,飞行速度下降,当到达弹道最高点(约1000公里)时,飞行速度为自由段的最小值。从此,弹道开始下降,飞行速度开始增大,当到达再入点E时,飞行速度达到7000米/秒以上。进入大气层后,由于空气阻力的作用,飞行速度又开始下降,直到落地。在弹道上飞行速度V、飞行高度h随时间t的变化规律(图 2)。

弹道导弹的全弹道示意图 导弹的飞行速度和飞行高度随时间变化规律示意图 导弹飞行时所受的力

导弹飞行时所受的力主要有地球引力、发动机推力、空气动力和控制力等。地球引力是地球万有引力对导弹的作用力,它与地球形状和地球内部质量分布有关。发动机推力是导弹发动机喷流产生的反作用力,是导弹飞行的主动力。空气动力是导弹相对于空气运动时,产生作用于导弹的力,空气动力可分解为阻力和升力,阻力与气流方向相反,升力垂直于气流方向。空气动力与导弹飞行速度、飞行攻角和大气环境等有关。控制力是为了改变导弹的飞行姿态而需要的力,控制力的产生可通过摆动发动机、燃气舵、空气舵等方式来实现。

导弹质心运动方程

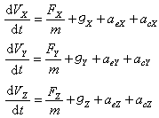
导弹在飞行中需不断消耗弹上燃料,因此在建立运动方程时,必须把导弹作为变质量体来考虑,计入变质量的力学效果。用变质量的动量定理建立的导弹质心运动方程为:

公式 符号

式中VXVYVZ为导弹飞行速度在发射坐标系中的分量,FXFYFZ是除地球引力以外的外部合力在发射坐标系中的分量,m是导弹的质量, aeXaeYaeZacXacYacZ分别为地球旋转引起的牵连加速度和科氏加速度的分量,íx、íy、íz是引力加速度的分量。对运动方程积分,经简化后,可得到导弹主动段终点速度Vk的公式:

公式 符号

式中í0为地面标准重力加速度,Pb为发动机比推力, m0为导弹的初始质量,mk为导弹的主动段终点质量,ΔVg为主动段飞行中重力造成的速度损失,ΔVd为主动段飞行中空气阻力造成的速度损失,ΔVt为主动段飞行中大气压力使发动机推力下降而造成的速度损失。表达式的第一项公式 符号称为理想速度。

导弹射程与主动段终点弹道参数的关系

当忽略大气影响,在地球有心力场作用下,弹道方程的极坐标形式(圆锥截线方程)为:

公式 符号

式中r为导弹质心到地心的距离,f为发射点到导弹质心的地心夹角, fB为弹道最高点对应的f值,p为圆锥截线的焦点参数,e为圆锥截线的偏心率。p、e是主动段终点弹道参数速度Vk、弹道倾角θk和地心矢径rk的函数。在椭圆型弹道情况下,导弹射程与主动段终点弹道倾角的关系见图 3。图中虚线所示为最小能量线,即在给定主动段终点速度Vk下所能达到的最大射程。此时所对应的弹道倾角θk,称为最佳弹道倾角。在射程较小时,最佳弹道倾角接近45°,当射程增大时,最佳弹道倾角随之减小。

导弹射程与主动段终点弹道倾角的关系示意图 导弹主动段飞行程序的选择

在弹道设计中占有重要地位,飞行程序决定导弹飞行弹道的形状。具体说飞行程序是指俯仰角(导弹纵轴与地球水平面的夹角) φ的变化规律。飞行程序选择关系到能否正确使用和充分发挥导弹的性能。导弹的一些重要性能,如最大射程、落点散布以及导弹飞行中的载荷等都与选择飞行程序有关。对飞行程序选择的要求是:

(1)垂直起飞,这样能克服倾斜发射的缺点,使发射设备简单;

(2)导弹飞行转弯时,法向过载要有限制;

(3)俯仰角变化应是连续的,角速度和角加速度要有限制;

(4)应保证可靠的级间分离和弹头分离的条件;

(5)满足所需要的主动段终点弹道倾角θk的要求。在飞行程序选择中要运用优化方法,使导弹的性能(如最大射程、落点散布)为最佳。常用的优化方法有:直接法(如参数优选法、图解法、梯度法)和间接法(如古典变分法、极大值原理)。应用于飞行程序的优化方法,目前还在不断发展中。优化设计对提高导弹的性能有着重要意义。

弹道计算

通常用数值方法来求解导弹的运动方程。弹道计算在导弹各设计阶段和导弹试验以及射表编制工作中,是一项必不可少的工作。由于导弹射程的增大和导弹命中精度的提高,对弹道计算的精度要求也愈来愈高。弹道计算的精度,依赖于导弹运动方程的描述精确度和数值计算方法。对有控制的导弹来说,弹道计算影响命中精度的主要因素,是制导特征量的计算精度和地球非球形摄动。当导弹射程达到1000公里左右时,就必须考虑地球扁率的摄动,而对洲际导弹还必须顾及高阶项的摄动(如重力异常等),计算结果表明,高阶摄动对射程影响为1~2公里的量级。随着导弹命中精度的提高,对这些因素的考虑必须愈来愈精确(如果导弹采用末制导,情况则不同,这时命中精度只依赖于制导的精度)。弹道计算与高速电子计算技术结合,使飞行仿真模拟成为现实。给定弹道飞行模型,编制计算程序,通过计算机大量计算,可以得到各种随机过程的许多结果,例如导弹最大射程的概率特征、落点散布等。用飞行仿真模拟可以部分代替昂贵的飞行试验。

射表编制

编制导弹射表的目的是在已知发射条件下,确定发射装定诸元与目标位置的关系。装定诸元包括基本装定诸元和辅助装定诸元。基本装定诸元为射程控制特征量和发射方位角,装入制导系统的射程控制特征量用来确定发出最后一级发动机关机指令时间,而方位角则用于导弹方位瞄准。辅助装定诸元包括制导系统的有关参数、标准导引装定量、必要的时间信号等装定诸元。一般远程导弹的发射装定诸元多达数百个参数。射表编制是在精确的弹道计算和飞行试验基础上进行的。随着电子计算机向高速、大容量、小型化方向发展,用电子计算机代替表册形式的射表已成为现实。

有翼导弹弹道

攻击活动目标的地空或空空等有翼导弹的飞行弹道,属于导引弹道。导引弹道是根据导弹与目标的相对运动关系进行控制的,所以目标的运动总是直接或间接地决定着导弹的弹道。同时不同的导引方式使弹道形状各不相同。常用的导引方式有追踪法、前置角法、三点法等(见导弹制导系统)。

巡航导弹弹道

巡航导弹是指具有飞机动力型式并携带战斗载荷的无人驾驶有翼式飞行器。它的显著特点是弹道主要部分是作定态等速水平飞行,通常采用空气喷气发动机。这类导弹一般都具有较大的弹翼,用以产生升力来平衡本身的重量和作必要的机动飞行。在飞行弹道方面与普通有人驾驶的飞机颇为类似。其弹道可以分为如下几段:

(1)初始段。从地面爬升到足够高度,转为水平飞行时的这段弹道;

(2)水平飞行段。这一段占全部弹道的大部分,这时发动机的推力大致刚好克服迎面阻力,而弹翼的升力刚好克服重力;

(3)最终段。当接近目标上空时,从水平飞行转入俯冲到命中目标的这段弹道。为了提高命中精度,在最终段要采用自动瞄准。攻击空中活动目标的导弹,在水平飞行之后,立即转入自动瞄准。