[拼音]:fenlei shangpin jiage zhishu
[外文]:price index of commodities by groups
反映某一类商品或劳务集团价格水平变动趋势和程度的相对数指标。又称组指数或类指数。
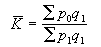
类指数是一个相对概念。有大类指数和小类指数之分。每类商品集团包括的范围可大可小,归入本类的商品可多可少。例如中国编制零售物价指数中的“食品类”,就包括粮食、副食品、肉禽蛋、水产品等6小类,每个小类又包括很多具体商品。类指数是从商品流转总额中排除商品物量变动因素后计算的,一般以报告期商品流转物量作为同度量因素,采用综合价格指数公式计算:
式中噖为分类商品价格指数;p0和p1为基期和报告期的商品平均价格;q1为报告期的商品流转量。
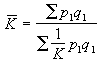
分类商品价格指数也可根据单项商品价格指数进行计算,即按调和平均数公式计算:
式中K是单项商品价格指数,其经济内容和计算结果同综合公式计算的结果相一致。
虽然单项商品价格指数是根据样品的报告期和基期平均价格计算的,但其权数(p1q1) 则是根据其所代表的商品类的流转总额确定的。因此类指数能够反映该类全部商品价格总水平的实际变动情况。