[拼音]:yunjia zhishu
[外文]:freight charges index
反映不同时期运输价格变动程度的相对数指标。是交通运输行业销售价格指数。
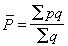
运输业分类繁多,按运输方式分为铁路、公路、水路、民用航空、管道运输业;按运输对象划分有货运和客运;货运又有工业品、农产品运输等,并可进一步按货物种类细分,因此比较繁杂。计算运价指数时应先按不同运输方式和内容分类,采用简单算术平均法计算平均运价,公式为:
式中孒为分类运输业务工作量的平均价格;∑pq为该类运输业务的经营总收入;∑q为该类运输业务工作量。运价总指数采用加权算术平均数公式计算:
式中噖为运价总指数;K为某类运输业务价格指数单项指数或类指数;p0为基期某类运输业务平均运价;q1为报告期某类运输业务量;∑p0q1为按基期运价计算的报告期营业总收入。