[拼音]:jishi maoyi jiage zhishu
[外文]:index of prices of trade conducted at fairs
中国分别编制城市和农村集市贸易价格指数。农村集市贸易价格指数包括消费品和农业生产资料两大类商品的价格指数,前者包括粮食、食用植物油、鲜菜、干菜、肉禽蛋、水产品、鲜果、干果、日用杂品、柴草等小类商品的价格指数;后者包括饲料、小农具、幼禽家畜、大牲畜、竹木材等小类商品的价格指数。城市集市贸易价格指数只计算消费品价格指数,包括的对象与农村集市贸易价格指数中的消费品价格指数相同。
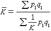
集市贸易价格指数根据集市贸易主要商品的平均价格,以成交额为权数,按加权调和平均数公式计算。其公式为:
式中噖为集市贸易价格总指数;K为个体指数(或类指数);∑p1q1为按集市贸易主要商品的平均价格计算的成交额。