收益法

浏览

根据资产获利能力评估资产价格的方法。资产价格本来是以价值为基础,由生产或再生产该资产所消耗的社会必要劳动时间决定的。但是,整体资产或某些单项资产的运用,其目的就在于获取利润,因而获利能力的大小就成为衡量资产价格的基本尺度。在中国,由于国有资产经营者具有相对独立的经济利益,因而有必要在特定条件下根据获利能力的大小来评估资产的价格。

论方法和基本步骤

收益法评估资产价格,要求将收益本金比,即根据适用资本金报酬率估计既定收益所需投入的资本金数,俗称“按利求本”。其理论模型是:

公式 符号

收益法有两大基本步骤,即:

(1)评估预期收益;

(2)分析确定适用资本金报酬率。

收益额的确定

收益额有三种口径:

(1)所得税后净利润,它是投资者的净所得。选取同口径的资本金报酬率求本,评估值是净投资即扣除负债后的净资产。

(2)税前利润加上利息,它是包括间接投资在内的总投资的毛所得。选取同口径的资本金报酬率求本,评估值为总投资。

(3)净现金流量,即在税后利润的基础上加上折旧并扣除净追加投资的余额。它实际是动态计量净收益,更接近实际。选取同口径的资本金报酬率求本,得出所有者的净投资即净资产。

资本金报酬率的分析选择

在西方国家,资本平均利润率规律强制地发挥作用,在评估实务中一般采用无风险利率(如国债利率),再根据不同行业的风险系数考虑加成因素,综合确定资本金报酬率。同时也要考虑委托方对投资报酬率的预期。在中国的具体国情条件下,对于不同的评估目的、不同的当事人、不同的行业,需要采用特定的资本金报酬率。评估国有资产收益现值适用的资本金报酬率由国家有关法规作出原则规定,并由国有资产管理机构加以具体化运用。

收益现值评估的主要方法

(1)年金法。在生产经营和年收益额比较稳定时,可以用年平均收益额直接本金比,计算公式为:

公式 符号

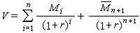
(2)有限年度折现加永续年金法。这是在资产收益额变动较大时经常采用的方法,公式是:

公式 符号

式中V是资产收益现值,i是未来的某一年度,Mi是第i年的收益额,公式 符号是第n年后的年金,r是适用资本金报酬率(也可称为折现率)。一般选择前 5年的收益逐年折现,从第6年起则按预期平均收益额一次折现。

收益法的应用

收益法一般应用于整体资产评估。但是,当收益现值低于变化价格或清算价格时,就要用后者替代。此外,因转让、投资等需要对无形资产、房地产、资源性资产等进行评估,也适用收益法。