[拼音]:shidian jiage zhishu
[外文]:price index of specific time point
反映不同时点上的商品价格变动趋势和程度的相对数指标。是辅助性的价格指数。
在物价变动剧烈的情况下,按一个长时期内平均价格计算的物价指数往往与人们的感受不同,因此需要编制以上年年末(12月31日)或上年12月平均价格为基础“时点”的月度对比物价指数。
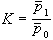
式中K为单项时点价格指数;孒1为报告月平均价格;孒0为上年末12月31日的平均价格。
以上年末(12月31日)为基础的时点价格指数,严格地讲,不符合概念上时点价格动态的要求指标。因为其分母为上年末12月31日的平均价格,而分子为报告月的平均价格,两个时期口径不一致。
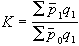
时点价格类指数或总指数的计算公式为:
式中K为时点价格类指数(或总指数);
为报告月按平均价格计算的总金额;
为报告月按上年末12月31日的平均价格计算的总金额。
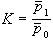
在实际计算中,可把时点价格指数改为报告期各月份的平均价格与上年12月份的平均价格对比的价格指数,即:
式中K为单项商品时点价格指数;孒0为上年12月份的平均价格;孒1为报告期某月的平均价格。