[拼音]:shengchan zhishu
[外文]:production index
反映产品产量增减变动方向和幅度的一种动态指标。它可以用来研究一种产品或多种产品的产量变动。
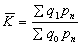
反映一种产品产量变动用个体指数,反映多种产品的产量变动则用综合指数或加权算术平均指数。综合指数的计算方法是:
式中q0、q1分别代表基期和报告期产品产量,p n代表可比价格(或不变价格)。计算综合指数时,可以用考察范围内的全部产品产量,也可以选择若干种生产金额大或具有某种代表性的产品产量。在中国,一般用长期计划期前一年不变价格计算的总产值变动来表明工农业产品的发展速度。这是根据综合指数的原理编制的一种生产指数。
加权算术平均指数是以个体指数k为变量,用加权平均法求得的生产指数噖。其计算方法是:
式中W代表权数。这里被平均的个体指数k,可以是某种产品的生产指数,也可以是某类产品、某个部门的产品、乃至某个地区产品的组指数。组指数的计算方法也同样是以各种产品的个体指数为基础,用加权平均法求得。
权数的选择,在于使总指数能够体现出各种产品在总产品中的地位,可根据不同的研究目的和资料条件而定。因此,根据研究的需要,凡能够起到这个作用的指标都可用来作为权数,如各种产品的价值量、劳动消耗量、从业人数等都曾被用来作为生产指数的权数。由于产品的价值量最能够在大范围内使用并且比较易于取得资料,因此各国多用产品的价值量作为权数,如用总产值、销售值、净产值、增加值等。选用权数的时期,有基期结构、报告期结构和固定结构几种,分别反映按各该时期产品结构生产时产品的平均增长速度。确定权数的工作量很大,不少国家采用在一段时期内(如五年)的不变权数。