敦煌文书

浏览

中国甘肃省敦煌县莫高窟所出5~11世纪的多种文字古写本。1900年,道士王圆箓发现于莫高窟17窟藏经洞。1944年在莫高窟土地祠塑像中、1965年在莫高窟122窟窟前又续有发现。遗书总数超过四万件,其中汉文写本在三万件以上,另有少量刻印本。

敦煌遗书多为卷轴式。北朝写本书法均带隶意,南朝及隋、唐、五代、宋写本则为楷书或草书。8世纪末,有木笔、苇笔书写的卷子。9世纪以后,出现经折装、册子本和木刻印本。

写本题款有纪年者近千件。其中年代最早者为西凉建初元年(405)所写《十诵比丘戒本》,最晚者为宋咸平五年(1002)《敦煌王曹宗寿编造帙子入报恩寺记》,汉文写本的百分之七八十写于中唐至宋初。

敦煌汉文写本中佛典占百分之九十五,包括经、律、论、疏释、赞文、陀罗尼、发愿文、启请文、忏悔文、祭文、僧传、经目等。《金刚经》、《妙法莲华经》之类的复本甚多,也发现一些中土已佚的经卷,如隋唐时再三遭禁的三阶教的教义经文,以及一批疑伪经等。

敦煌佛典中的一些卷子,近年来引起学者们的注目。如《楞伽师资记》及王锡撰《顿悟大乘正理诀》等,可用以说明8世纪拉萨法诤的情况。藏僧管·法成的《瑜伽师地论》讲义录等,则反映了藏族学者对汉、藏两族文化的贡献。

汉文遗书中非佛典文献占百分之五,其中包括经、史、子、集四部。经部中,隶古定《尚书孔氏传》十分重要,皇侃撰《论语疏》也引起学者们的注意。属于小学类的韵书有二十余件,其中有陆法言的《切韵》等。

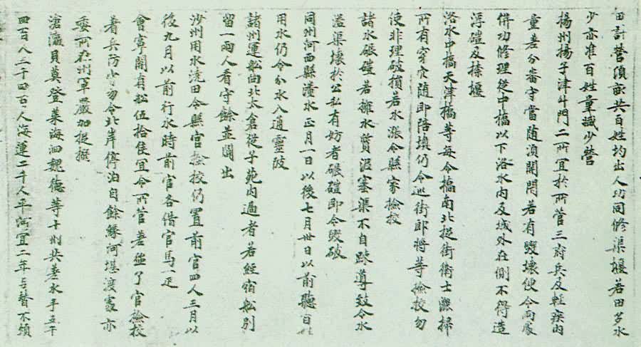
唐律残片 新疆吐鲁番阿斯塔那出土 天宝官品令 甘肃敦煌莫高窟藏经洞发现 神龙元年(705)散颁刑部格 甘肃敦煌莫高窟藏经洞发现 水部式 甘肃敦煌莫高窟藏经洞发现

史部包括史书、政书、地志、氏族志等。其中有孔衍撰《春秋后语》、蔡谟注《汉书》等佚书。由于唐《律疏》、《公式令》、《神龙散颁刑部格》、《水部式》等卷的发现,使人们对唐代的律、令、格、式(见律令格式)有了新认识(见彩图)。《慧超往五天竺国传》、《沙州都督府图经》等卷,对考释丝绸之路地理有重要价值。《新集天下姓望氏族谱》等件有助于研究唐代门阀观念的演变。

图 曲子词:《菩萨蛮》 图 伍子胥变文 甘肃敦煌莫高窟发现

子部除佛典外,还发现了另几种宗教典籍。其中有道教卷子五百件以上。北朝写本《老子道德经想尔注》以及《老子化胡经》等佚道经,近年亦引起学者们的注意。摩尼教方面,有《摩尼光佛教法仪略》等。景教方面,有《大秦景教三威蒙度讚》等。这些佚经的发现,推动了东西学者对于摩尼教、景教的研究。此外,还有医书、算经、历书、占卜书、类书、书仪等。

集部有别集、诗、曲子词、变文、讲经文、押座文、话本、俗赋、词文等。1957年中国出版的《敦煌变文集》,搜集了变文、押座文等写本一百九十件,其中有著名的《降魔变文》、《维摩诘经讲经文》、《王昭君变文》、《庐山远公话》等。此外,列宁格勒藏本《双恩记》亦颇著名。敦煌出的唐人选唐诗,可补《全唐诗》之佚。在二十余件《王梵志白话诗》写本中,以列宁格勒所藏大历六年(771)王梵志诗一百一十首抄本为善本。《云谣集杂曲子》等写本的发现,对研究词曲史有重要意义。目前对敦煌曲的研究,在海内外是一重要专题。此外,唐代刘邺《甘棠集》、崔融编《珠英学士集》,都是《新唐书·艺文志》著录而后亡佚的集子。

敦煌文献中具有珍贵史料价值的是“官私文书”。“官文书”有符、牒、状、帖、榜文、判辞、过所、公验、度牒、告身、籍帐等;有与户部、刑部、兵部相关的文书片断;《河西节度使判集》有助于对安史之乱后河西政治经济状况的研究;《沙州进奏院上本使状》及归义军节度使相关的文书,使晚唐、五代沙州的历史面貌重新明朗(见沙州归义军);军制、市制、屯田、长行马等有关文书,使各种制度得以稽考;籍帐方面,包括计帐、户籍、差科簿等已发表的多达二十余件,对《西魏大统十三年计帐》的研究,使西魏均田制的许多问题得以探明;唐天宝年间《燉煌郡燉煌县差科薄》为唐前期杂徭、 色役等问题的研究提供了珍贵材料。“私文书”有契券、社司转帖、 帐历、书牍、分家产文书、遗书等,其中租佃契、典地契、借贷契、买卖契、雇佣契等对于研究唐五代及宋初的劳动者身分地位以及租佃关系、高利贷经营等方面的问题,都是第一手资料。

寺院文书是官私文书的一个分支,约有五百件以上。如僧官告身、度牒、戒牒、僧尼籍、转经历、追福疏、诸色入破历、器物名籍以及各种契约等,都是研究敦煌教团政治经济结构的好材料。

敦煌文书中,还有藏文、于阗文、突厥文、回鹘文、粟特文、梵文等多种文字的写本。藏文《吐蕃历史文书》、古突厥文《摩尼教忏悔文》、于阗文《于阗沙州纪行》等,均负有盛名。

敦煌文书发现以后,在1907~1914年间,英国人斯坦因,法国人伯希和日本人桔瑞超、吉川小一郎,俄国人奥尔登堡等,先后来到敦煌,使用诱骗方法,劫走大批文书卷子。目前在国内,敦煌写本的绝大部分收藏在北京图书馆、敦煌、兰州、上海、天津和台北,其他地方也有多少不等的藏品。国外则分藏于伦敦、巴黎、列宁格勒、京都、柏林等地。敦煌遗书的发现,推进了与中世纪的中亚、中国相关的历史学、语言学、考古学、民族学、宗教学、文学、艺术、书志学、历史地理学和科技史的研究。

参考书目
  1. 陈垣:《敦煌劫余录》,中央研究院历史语言研究所,北京,1931。
  2. 陈寅恪:《陈垣敦煌劫余录序》,1930,《金明馆丛稿二编》,上海古籍出版社,1980。
  3. 王重民:《敦煌古籍叙录》,商务印书馆,北京,1958。
  4. Fujieda Akira,The Tun-huang Manuscripts,Essayson the Sources for Chinese History,dedicated toCh.P.Fitzgerald,pp.120~128,Australian NationalUniversity Press, Canberra,1973.