[拼音]:nongfuchanpin shougou jiage zongzhishu
[外文]:general index of purchasing price of farm produce
反映企业、国营商业、供销合作社商业、个体商业及各有关部门,以各种不同价格形式向农民收购农副产品的价格变动程度的相对数指标。
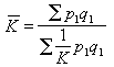
中国的农副产品收购价格包括农、林、牧、副、渔各业产品价格,其形式有国家定价、国家指导价和市场调节价等。中国编制的农副产品收购价格总指数分为粮食、经济作物、竹木材、工业用油漆、禽畜产品、蚕茧蚕丝、干鲜果、干鲜菜及调味品、药材、土副产品、水产品等11个大类,每个大类又分若干小类,小类之下再分商品集团与代表规格品。各地尚可根据实际情况,适当增加一些收购量较大的产品,减去没有生产或产量收购量很少、没有代表性的产品,以确保当地商品调查样本的代表性。对规格等级多变的商品,必须调查两个以上规格等级的收购价格。各省(区、市)根据各调查县的资料整理出不同形式的平均收购价格和全社会综合平均价格,按季度、半年度和年度编制农副产品收购价格总指数,全国指数根据各省(区、市)指数汇总求得,采用加权调和平均数公式计算,即:
式中噖为农副产品收购价格总指数;K为单项农副产品收购指数;p1q1为报告期各种农副产品的实际收购金额。
农副产品收购价格总指数的分子与分母之差表明农副产品收购价格变动对农民货币收入的影响,分子大于分母表示收入增加,反之则为减少。