项目经济评价

浏览

对工程项目的经济合理性进行计算、分析、论证,并提出结论性意见的全过程。是工程项目可行性研究工作的一项重要内容,也是最终可行性研究报告的一个重要组成部分。目的是根据国民经济长远规划和地区、部门(或行业)规划的要求,结合产品需求预测和工程技术研究,通过计算、分析、论证和多方案比较,提出全面的评价报告,为方案决策和编制设计任务书提供可靠的依据。

内容

工程项目的经济评价包括企业经济评价和国民经济评价。前者是从企业的角度进行企业盈利分析,后者是从整个国民经济的角度进行国家盈利分析,根据项目对企业和对国家的贡献情况,确定项目的可行性。对涉及整个国民经济的重大项目和严重影响国计民生的项目,对稀缺资源开发和利用的项目,对涉及产品或原料、燃料进出口或代替进出口的项目,以及产品和原料价格明显不合理的项目等,除进行企业经济评价外,必须进行详细的国民经济评价。当两者有矛盾时,项目的取舍将取决于国民经济评价。

企业经济评价的指标和计算方法

企业经济评价是项目经济评价的主要组成部分。它从企业角度按现行价格及企业基准收益率进行计算、分析及评价工程项目的投资经济效果,一般采用企业内部收益率及投资回收期作为主要评价指标。

(1)企业内部收益率。是指投资项目在建设和生产服务年限内,各年净现金流量现值累计等于零时的贴现率。其计算公式为:

公式 符号

式中c1为现金流入;c0为现金流出[c1-c0]t为第t年的净现金流量;a t为第t年的贴现系数,a t=1/(1+itn为建设和生产服务年限的终了年份;公式 符号为自建设开始年至n年的总和;i为内部收益率。

企业内部收益率分为全部投资内部收益率和自有资金内部收益率。前者是在没有外来资金的情况下计算的内部收益率;后者是在有借款的情况下,计算借款利息和本金偿还的内部收益率。对各种项目都要计算全部投资内部收益率;对涉外项目,还应增加计算国内资金内部收益率。

(2)投资回收期。指以工程项目的净收益抵偿总投资所需要的时间,是反映工程项目真实偿还能力的重要指标。计算投资回收期的公式有静态方法及动态方法二种:a. 按静态方法计算投资回收期。其计算公式为b.

公式 符号

式中I为总投资;S为年销售收入;C′为年经营总成本(不含基本折旧);T为年税金;P为投资回收期(自建设开始年份算起)。

b.按动态方法计算的投资回收期。其计算公式为

公式 符号

式中PI)为总投资的现值;a t为第t年的贴现系数。

在项目评价中,求出的内部收益率(IRR)及投资回收期(P),应分别与基准收益率(i c)及回收期(P c)比较,当IRR≥i cPP c时,项目可考虑接受。

根据项目的具体情况和实际需要,还可计算其他评价指标,如静态投资收益率、净现值及净现值指数等。

国民经济评价的指标和计算方法

项目国民经济评价是从整个国民经济的角度考察项目的效果和费用。效果指项目对国民经济的贡献,包括直接效果和间接效果;费用指国民经济为项目所付出的代价,包括直接费用和间接费用。

为了正确估算工程项目对整个国民经济的真实效果,在进行国民经济评价时,对于国内价格明显不合理的投入品和产出品,其价格应予适当调整。

国民经济评价一般采用净产值净现值和净产值内部收益率等指标。

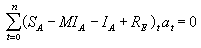
(1)净产值净现值(NPVG)。反映项目对国家贡献的一项绝对效果指标。是按设定的折现率或净产值基准收益率,将项目建设和生产服务年限内各年的净产值折现到基准年的现值之和。其计算公式有两种:按全部投资计算为

公式 符号

按国内投资计算为

公式 符号

式中S A为年销售收入;MI A为除工资外的其他投入;I A为全部投资费用;I公式 符号 为国内投资部分;R E为流至国外的金额;R F为项目外部效果;a t为第t年的折现系数,a t=1/(1+it

净现值大于零或等于零的项目是可以接受的。在选择方案时,应选净现值大的方案。

(2)净产值内部收益率(IRRG)。反映项目对国家贡献的一项相对效果指标。是指项目在建设和在生产服务年限内各年净产值净现值累计等于零时的折现率。其计算公式有两种:按全部投资计算为

公式 符号

按国内投资计算为

公式 符号

净产值内部收益率应与净产值基准收益率比较,当前者大于后者时,项目将可以考虑。

根据工程项目的具体情况和实际需要,还可采用社会纯收入内部收益率、净外汇效果、就业效果等补充评价指标。

参考文章