[拼音]:jiandan jihe pingjun jiage zhishu
[外文]:simple geometric average price index
采用简单几何平均法计算的价格指数。在仅有商品价格资料,而无商品购销数量或购销金额的情况下,可用这种方法。计算价格指数时,首先计算各种商品价格在不同时期的比,再计算这些比的几何平均数,以表明价格运动的趋势及其幅度。计算公式为:
式中噖为简单几何平均价格指数;
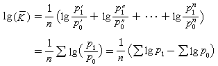
为各种商品报告期的价格;
为各种商品基期的价格;n代表商品数;Π为连乘符号。实际计算中,为了简便,将上述公式改为对数式计算,即:
计算出结果后,从对数表中查出真数,即为价格指数。
由于这种方法只反映同增或同减的同方向变动的各种商品价格,在各种商品价格变动方向不同的情况下,计算结果与实际情况有较大差距。因此,只有少数国家采用这种方法。中华人民共和国建立前,大多数省会城市都采用几何平均公式编制批发物价指数。建国后,1950~1952年,关内批发物价指数也曾用此法编制。