¡¡¡¡1 ÒýÑÔ
¡¡¡¡Ëæ×ÅʯÓͲúÆ·ÐèÇóÁ¿µÄ²»¶ÏÔö¼Ó£¬Ê¯Óͼ°ÆäÖÆÆ·Í¨¹ý¶àÖÖ;¾¶½øÈë»·¾³£¬¶ÔÍÁÈÀºÍË®ÌåÔì³ÉÁËÑÏÖØÎÛȾ£¬²¢ÇÒÍþв×ÅÈËÀàµÄ½¡¿µ£¬Ê¯ÓÍÎÛȾÍÁÈÀ¼¼ÊõµÄÑо¿¼°Ó¦ÓÃÕýÈÕÒæÊܵ½¹ã·ºÖØÊÓÓë¹Ø×¢.ÓÉÓÚÎïÀíÐÞ¸´(ÈçÈÈ´¦Àí)ÔÚÆÆ»µÍÁÈÀÖÐÎÛȾÎïµÄÍ¬Ê±Ò²ÆÆ»µÁËÍÁÈÀµÄ×é·ÖºÍ½á¹¹£¬¶øÇÒ¼Û¸ñ°º¹ó;»¯Ñ§ÐÞ¸´Ð§¹û½ÏºÃ£¬µ«ËùʹÓõĻ¯Ñ§ÊÔ¼Á»á²úÉú¶þ´ÎÎÛȾ£¬ÏÞÖÆÁËÆäÓ¦Ó÷¶Î§.
¡¡¡¡ÉúÎïÐÞ¸´¼¼Êõ±»ÈÏΪÊÇÒ»ÖÖÂÌÉ«»·±£¡¢ÎÞ¶þ´ÎÎÛȾ¡¢¸ßЧ¡¢¿É³¹µ×½µ½âÎÛȾÎïµÄ¾ßÓз¢Õ¹Ç°¾°µÄʯÓÍÎÛȾÐÞ¸´·½·¨.¸Ã¼¼Êõ¹Ø¼üÔÚÓÚÀûÓù¦ÄÜ΢ÉúÎï¿É½µ½â¶àÖÖʯÓÍÌþ×é·Ö£¬Ñо¿ÄÚÒò¡ª¡ªÈçºÎ×î´ó³Ì¶ÈÇ¿»¯¾úȺ×ÔÉí½µ½âʯÓÍÎÛȾµ×ÎïµÄÄÜÁ¦(Zhang et al., 2008)£¬²¢¶ÔÓ°Ïì»ìºÏ¾úȺ½µ½âÐÔÄܵÄÓªÑøÌõ¼þºÍ»·¾³ÒòËØ(ÍâÒò)½øÐÐÊÔÑéÑо¿.ÈçÀûÓÃϸ¾úºÍÕæ¾úÔÚÉú³¤ÒÔ¼°¶ÔʯÓÍÀàÎïÖʽµ½â;¾¶·½ÃæµÄ»¥²¹ÐÔ£¬¹¹½¨ÁËÒÔÕæ¾úºÍϸ¾ú×é³ÉµÄ»ìºÏ¾ú¼Á£¬´ó´óµØÌá¸ßÁËʯÓÍÀàÎïÖʵÄÉúÎï½µ½â(Áõȣ¬2008);ÀûÓÃGC-MSÊý¾Ý·ÖÎö½µ½â¾ú¶ÔÔÓÍÖеÄÍéÌþ¡¢·¼ÏãÌþµÄ½µ½âÄÜÁ¦;GC-MSÁªÓ÷¨ÓÃÓÚº¬ÓÍÎÛÄàÖÐ̼Ç⻯ºÏÎï½µ½âÐÔÄܵIJⶨ£¬ÁíÍ⣬¶Ô½µ½â¾úµÄÉú³¤ÌØÐÔ£¬½µ½â¾ú¶Ô²»Í¬ÌþÀàµÄÀûÓÃÄÜÁ¦¼°Ìí¼Óµí·ÛºÍÆÏÌÑÌÇ̼Դ¶Ô½µ½âÂʵÄÓ°ÏìÐнøÁËÑо¿.¹úÄÚÍâÑо¿±íÃ÷£¬Ê¯Óͽµ½â¾úøµÄ»îÐÔ¡¢»·¾³¡¢ÎÞ»úÓªÑø¡¢·ÊÁÏ¡¢Î¢ÉúÎïµÄÀàÐ͵ȶÔÓÍÎÛȾ³¡µØµÄÐÞ¸´Æðµ½ÖØÒª×÷ÓÃ.ÀûÓÃʯÓ͵ØÖÊÖÐʯÓÍ×åÈ«×é·Ö½øÐÐ΢ÉúÎï½µ½â·ÖÎöÊÇÒ»ÖÖ¶ÀÌØµÄ½Ç¶È£¬ÐèÒª¶ÔÈ«×åÎïÖÊ×öÈ«Ãæ½âÎö£¬Ç°ÃæËùÊöÑо¿ÖжÔÓжÔÕý¹¹ÍéÌþºÍÀÑöÞÍ飬ֲÍéµÄ½µ½âÑо¿£¬µ«Þ½Í飬çÞÍé×å³É·ÖµÄͼÆ×½âÎö²»Ò×ʶ±ð£¬ÇÒº¬Á¿µÍ£¬Ñо¿ºÜÉÙ.
¡¡¡¡±ÊÕßǰÆÚ´Ó¸ÊË೤ÇìÓÍÌïÓÍÎÛÍÁÈÀÖи»¼¯¡¢É¸Ñ¡³ö5Öê½µ½âʯÓ͵ľúÖ꣬¶ÔÆä½øÐÐÁ˼ø¶¨¼°ÓÍÎÛÍÁÈÀµÄÐÞ¸´Ñо¿.±¾ÎÄÔËÓÃʯÓ͵ØÖÊѧºÍ·ÖÎö»¯Ñ§¶ÔʯÓͽµ½â¾ú½µ½âʯÓÍÌþµÄ×å×é·ÖµÄGC-MS¡°Ö¸ÎÆ·ÖÎö¡±ºÍ±êÖ¾ÎïµÄÑÝ»¯²ÎÊý·ÖÎö£¬½Òʾ΢ÉúÎï½µ½âʯÓÍ×åÖ÷Òª³É·ÖÕý¹¹ÍéÌþ¡¢Þ½ÍéºÍ·¼ÌþµÄ½µ½â³Ì¶È¼°µØÇòÑݱäÌØÕ÷£¬´Ó¶ø¶Ô¾úȺµ×Î¡ªÊ¯ÓÍ×岻ͬ»¯Ñ§½á¹¹½øÐÐÓÅ»¯Ìá¹©ÖØÒªÊµÑéÒÀ¾Ý£¬Í¬Ê±¶Ô½µ½â¹ý³ÌÖеÄÉúÎïÑÝ»¯´ÓµØÇò»¯Ñ§µÄ½Ç¶È½øÐÐÁË»úÀí·ÖÎö.ʹËù¹¹½¨µÄʯÓͽµ½â¾úȺ¶Ôµ×ÎïÀûÓôﵽÓÅ»¯Ð§¹û£¬ÄܶÔʯÓÍÌþ½øÐÐ×î³¹µ×µÄ½µ½â£¬ÒÔÌá¸ß¾úȺµÄÉúÎïÐÞ¸´¹¦ÄÜ.
¡¡¡¡2 ʵÑ鲿·Ö
¡¡¡¡2.1 ʵÑé²ÄÁÏ
¡¡¡¡2.1.1 ÓÍÑùÀ´Ô´
¡¡¡¡ËùÓÃÔÓÍÈ¡×Ô¸ÊËश«µØÇøÎ÷·åÊн¼Ó;®£¬½«ÔÓÍÓÃÕý¼ºÍé(É«Æ×´¿)Èܽ⣬ȻºóˮԡÕô·¢Õý¼ºÍ飬²¢ÔÚÕæ¿Õ¸ÉÔïÏäÖгý¾¡²ÐÁôÕý¼ºÍ飬µÃµ½±ê×¼ÓÍÑùÆ·£¬·ÅÈë¸ÉÔïÆ÷Öб¸ÓÃ.
¡¡¡¡2.1.2 ¾úÖêÀ´Ô´
¡¡¡¡ËùÓþúÖÖΪ±¾ÊµÑéÊÒ·ÖÀë±£´æ£¬·Ö±ðΪ£ºA6¾úÖêÊôÓÚÍÂ̼ٵ¥°û¾ú(Pseudomonas aeruginosa)¾úÊô£¬A5¾úÖêÊôÓÚÃÉÊϼٵ¥°û¾ú(Pseudomonas monteilii)¾úÊô£¬D4¾úÖêÊôÓÚ³·Æ²»¶¯¸Ë¾ú(Acinetobacter lwoffii)¾úÊô£¬F1¾úÖêÊôÓÚ»ÆÉ«Ààŵ¿¨ÊϾú(Nocardioides luteus)¾úÊô£¬F2¾úÖêÊô°µºÚ΢ÂÌÁ´Ã¹¾ú(Streptomyces atrovirens)¾úÊô.
¡¡¡¡2.1.3 ÎÞ»úÑÎÅàÑø»ù
¡¡¡¡NH4NO3 2.0 g ¡¤ L-1£¬K2HPO4 1.5 g ¡¤ L-1£¬KH2PO4 3.0 g ¡¤ L-1£¬MgSO4¡¤7H2O 0.1 g ¡¤ L-1£¬ÎÞË®CaCl2 0.01 g ¡¤ L-1£¬NaEDTA¡¤2H2O 0.01g ¡¤ L-1£¬pHֵΪ7.5.
¡¡¡¡2.2 ʵÑé·½·¨
¡¡¡¡2.2.1 ÊÔÑù´¦Àí
¡¡¡¡½«5ÖÖ¾ú¼ÁF1¡¢F2¡¢A5¡¢A6¡¢D4½ÓÈë20 mLÎÞ»úÑÎÅàÑø»ùµÄÈý½ÇÉÕÆ¿£¬ÅàÑø»ùº¬±ê×¼ÓÍ10 mg£¬28 ¡æÏÂÅàÑø7 d£¬15 dºóÈ¡³ö¼ÓÈë10 mLÂȷ£¬³¬ÉùÆÆÈé15 min£¬ÝÍÈ¡³öÂÈ·ÂÏ࣬ˮԡÕô·¢Âȷ£¬ÔÙ½«²ÐÓÍ׼ȷ³ÆÁ¿ºó¶¨ÈÝ10 mL£¬¼´ÎªGS-MC ²âÊÔ½µ½âÓÍÑù.½«²»Ìí¼Ó¾ú¼ÁµÄ±ê×¼ÓÍ×÷Ϊ¶ÔÕÕ×é.
¡¡¡¡2.2.2 GS-MC²â¶¨¸÷¾úÖê½µ½âʯÓ͸÷×é·Öº¬Á¿
¡¡¡¡½µ½âÓÍÑù¸÷×é·Ö·ÖÎöÌõ¼þΪ£ºÆø»¯ÎÂ¶È 260 ¡æ£¬ÔØÆøHe£¬ÖùÎÂ200 ¡æ£¬ÖùSE-30(50 m).ÖÊÆ×Ìõ¼þΪ£ºµç×ÓÄÜÁ¿70 eV£¬ÖÊÁ¿·¶Î§40¡«450.GS-MCͼÆ×ͼ½âÎöʱ´Ó×ÜÀë×ÓÁ÷ͼÖÐÌáÈ¡Õý¹¹ÍéÌþ¡¢Þ½Íé¡¢·¼ÌþϵÁÐÎïÖÊ£¬ÓÃÖÊÁ¿¹éÒ»·¨¼ÆËã³öÑùÆ·Öи÷ϵÁл¯ºÏÎïµÄº¬Á¿.ÔÚʯÓÍ»ìºÏÎï×é·ÖÖзÖ×ÓÁ¿ÏàͬÎïÖʵıȽ϶࣬µ«Ã¿¸öÎïÖʵĽṹ²»Í¬£¬ÔÚGC-MSÀë×ÓÔ´ÖУ¬Ã¿¸ö·Ö×Ó±»µç×ÓÁ÷ºä»÷´ò³ÉËéÆ¬Ê±£¬ÓÉÓڽṹ²»Í¬¶ø³öÏÖ¸÷×ÔµÄÌØÕ÷Ë鯬Àë×Ó.ÈçÕý¹¹ÍéÌþµÄË鯬Àë×ÓΪ57¡¢71¡¢85¡£¬Þ½Íé»á³öÏÖ×î´óµÄ»ý·ÖË鯬·å191£¬çÞÍéµÄ×î´óÌØÕ÷ËéÆ¬Îª217(¦Á£¬¦ÁÐͽṹ)£¬218(M+1·å)(¦Â£¬¦ÂÐͽṹ).ÀûÓÃÎïÖʵÄÌØÕ÷Ë鯬ֵ¿ÉÒÔ´Ó×ÜÀë×ÓÁ÷ͼÖн«Í¬ÏµÁÐÎïÖÊÌáÈ¡³öÀ´.
¡¡¡¡Ê¯ÓÍÌþÖÐÕý¹¹ÍéÌþ¡¢Þ½ÍéϵÁÐÎïÖʵĽµ½âÂÊR¼ÆËã·½·¨ÈçÏ£ºR=(M1-Mi)/M1£¬Ê½ÖУºM1Ϊ¶ÔÕÕ×éÖбê×¼Ó͸÷ÎïÖÊÖÊÁ¿°Ù·Öº¬Á¿;MiΪµÚ7¡¢15 d²ÐÓÍÖи÷ÎïÖÊÖÊÁ¿°Ù·Öº¬Á¿.
¡¡¡¡3 ½á¹ûÓëÌÖÂÛ
¡¡¡¡ 3.1 ʯÓͽµ½â¾ú¶ÔÕý¹¹ÍéÌþµÄ½µ½â
¡¡¡¡²»Í¬Ê¯Óͽµ½â¾ú¶ÔʯÓÍÖв»Í¬ÌþÀàµÄ½µ½âÄÜÁ¦²»Í¬.¶àÊýʯÓͽµ½â¾úÒ»°ãÖ»Äܽµ½âÒ»ÖÖ»ò¼¸ÖÖÌþÀ࣬¶øÖС¢³¤Á´Õý¹¹ÍéÌþÄܱ»´ó¶àÊýʯÓͽµ½â¾úËù½µ½â.Ñо¿ÔÚ²»Í¬Ê±¼äÀï¸÷¾úÖê½µ½âÕý¹¹ÍéÌþµÄ½µ½âÂÊ£¬¼°Î¢ÉúÎï¶ÔÕý¹¹ÍéÌþ½µ½âÑÝ»¯¶¯Ì¬±ä»¯¹æÂÉ£¬¼´ÓÃOEP¡¢w(¡ÆC21-)/w(¡ÆC22+)¡¢ÀÑÖ²±È(w(Pr)/w(Ph))µÈÉúÎï½µ½â±êÖ¾ÎïÑÝ»¯²ÎÊý·´Ó³¸÷¾úÖê¶ÔÔÓÍÖÐÕý¹¹ÍéÌþÑÝ»¯½µ½âµÄ¹æÂÉ.
¡¡¡¡3.1.1 Õý¹¹ÍéÌþµÄ½µ½â²îÒì·ÖÎö
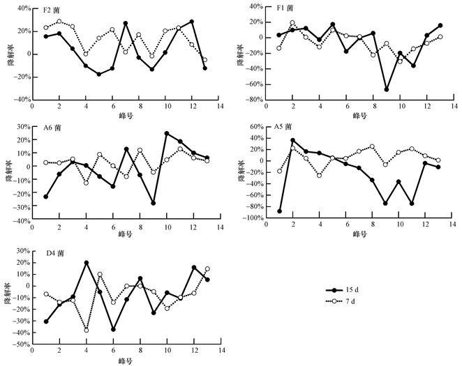
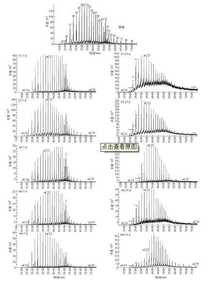
¡¡¡¡ÔʼÓÍÑùÓë¾»ìºÏ¾ú×÷ÓÃ7¡¢15 dµÄÕý¹¹ÍéÌþ̼Êý·Ö²¼¾ùΪC14¡«C39.´ÓGC-MSͼÆ×·ÖÎö¼ÆËãµÃµ½¾¾ú¼Á×÷ÓÃ7 dºÍ15 dºóÔÓ͵Ľµ½âÂÊ.´Ó½µ½âÂÊÕÛÏßͼ¿ÉÒÔ¿´³ö£¬7 d¾ú¼Á×÷ÓÃÓÚÔÓͽµ½â²»Ã÷ÏÔ£¬¶ø15 dµÄ½µ½â·ù¶È±È7 d´ó£¬¾úÖêÔÚ7 dÖ÷ÒªÀûÓÃÖеÍ̼ÊýµÄÕý¹¹ÍéÌþ£¬¶ø15 d¾úÖêÖ÷Òª½µ½â¸ß̼Êý¶Î£¬ÔÚC31¡«C39̼Êý¶Î15 dµÄ½µ½â¾ùΪÕýÖµ;F2¡¢A5¶Ô¸ß̼ÊýÕý¹¹ÍéÌþ½µ½â¸ß´ï60%ÒÔÉÏ£¬A5¾ú15 d½µ½â¸ß´ï67.58%.˵Ã÷7 dÒÔǰ½µ½â¾úÈÔ´¦ÓÚÊÊÓ¦½×¶Î£¬½µ½âÓÅÊÆÔÚ15 d¸üÃ÷ÏÔ;7£¬15 dµÄ½µ½â³ÊÃ÷ÏԵĻ¥²¹¹æÂÉ£¬Õý¹¹ÍéÌþ¸÷²¿·Öº¬Á¿³ÊÏÈÔöºó¼õ»òÏȼõºóÔöµÄ¹æÂÉ;ÆæÅ¼ÓÅÊÆÔÚ15 dÌåÏÖ¸üÃ÷ÏÔ.
¡¡¡¡¸÷¾úÖê¶ÔÕý¹¹ÍéÌþµÄ½µ½âЧ¹ûÈçͼ 1Ëùʾ.ÓÉ Í¼ 1¿É¿´³ö£º A5ºÍA6µÄ½µ½âͼÐÎÏàËÆ£¬Õâ¿ÉÄÜÓëÆäËùÊô¾úÊôÏàËÆÓйأ¬´Ó¶øÉãÈ¡µÄ̼Դ½á¹¹Ò²ÏàËÆ(´ÞÖ¾Ëɵȣ¬2010).³ýÈ¥D4¾úÖ꣬ÆäËü¾úÖêÔÚ7 dÖ÷Òª½µ½âÖеÍ̼ÊýÕý¹¹ÍéÌþ£¬15 dÒÔ½µ½â¸ß̼ÊýÍéÌþΪÖ÷£¬¶øD4¾úÖê½µ½âÇé¿öÓëÆäËü¾úÖêÕýºÃÏà·´.½µ½â½á¹ûʹÖмä̼ÊýÍéÌþº¬Á¿´ó·ùÔö¼Ó£¬ÔÚC20¡«C24¼ä³öÏÖ½µ½âµÍ¹È.¶ø¶ÔÓÚ»ìºÏ¾ú¼ÁH(ͼ 1f)£¬Ç°7 d²»¹Ü¶ÔÓÚµÍ̼Êý»¹ÊǸß̼ÊýÕý¹¹ÍéÌþ¶¼¾ßÓнϺõĽµ½âЧ¹û£¬µ«15 dµÄ½µ½âÒÔ¸ß̼ÊýÕý¹¹ÍéÌþΪÖ÷£¬Õû¸öʯÓÍÌþµÄº¬Á¿³ÊϽµÇ÷ÊÆ.Óɴ˿ɼû£¬Ïà¶ÔÓÚ·Ö×ÓÁ¿½Ï´óµÄ·¼ÏãÌþÎÛȾÎïÀ´Ëµ£¬Î¢ÉúÎï½µ½âÕý¹¹ÍéÌþÏà¶ÔÈÝÒ×£¬ÖÜÆÚ½Ï¶Ì.ͬʱ£¬Õý¹¹ÍéÌþ½µ½âºóµÄ²úÎïҲΪ΢ÉúÎïÌṩ³ä·Ö¿ÉÀûÓõÄ̼Դ£¬¸üÓÐÀûÓÚ΢ÉúÎïµÄÉú³¤£¬ÕâÒ²ÊÇ΢ÉúÎï¶ÔÕý¹¹ÍéÌþ½µ½âÂʽϸߵÄÒ»¸öÔÒò.
ͼ1 ²»Í¬¾ú¼Á¶ÔÕý¹¹ÍéÌþµÄ½µ½âÂÊ
¡¡¡¡´Ó±í 1¿ÉÒÔ¿´³ö£¬ÔʼÓÍÑùºÍ¾¾úÖê½µ½â 7 dºÍ15 dµÄÕý¹¹ÍéÌþµÄ̼Êý·Ö²¼Ïàͬ¾ùΪC14¡«C39£¬¾¸÷ÖÖ¾ú¼Á×÷ÓúóÕý¹¹ÍéÌþµÄÖ÷·å̼Ã÷ÏÔÇ°ÒÆ£¬±íÃ÷¾ú¼Á¶Ô¸ß̼ÊýÕý¹¹ÍéÌþ¾ßÓÐÑ¡ÔñÐÔ£¬ÓнÏÇ¿ÁÒµÄÈ¥¼×»ù×÷ÓõĽá¹û.15 d£¬F2¡¢A5¡¢»ìºÏ¾úH¶ÔÓÚ¸ß̼Êý¶ÎµÄÕý¹¹ÍéÌþ½µ½âÂʸߴï60%ÒÔÉÏ£¬×î¸ßΪA5¾ú¼Á¸ß̼Êý½µ½âÂÊΪ67.58%£¬D4¾ú¼Á½µ½âµÍ̼Êý´ïµ½67.50%;7 dÖУ¬A5¾ú¼Á½µ½âÖеÍ̼ÊýÕý¹¹ÍéÌþ×î¸ßΪ13.77%£¬D4½µ½â¸ß̼ÊýÕý¹¹ÍéÌþ×î¸ß(32.22%);±íÃ÷A5ºÍD4¾ú¼Á¶ÔÓÚÕý¹¹ÍéÌþ½µ½â±íÏÖ½ÏÓÅ.»ìºÏ¾ú¶ÔÓÚÕý¹¹ÍéÌþµÄ½µ½âÂÊÒª¸ßÓÚ¸÷¸öµ¥¾ú·Ö±ð×÷Ó㬾úÖÖÖ®¼ä±íÏÖΪÐͬ×÷Ó㬾úÖÖ¼ä¿ÉÒÔÎȶ¨¹²´æ.˵Ã÷¾úÖÖºÏÀí»ìºÏÓÐÀûÓÚʯÓͽµ½â.
±í1 ¾úÖê¶Ô²»Í¬Ì¼ÊýÕý¹¹ÍéÌþƽ¾ù½µ½âÂÊ
¡¡¡¡3.1.2 Õý¹¹ÍéÌþÉúÎïÑÝ»¯²ÎÊý·ÖÎö
¡¡¡¡´Ó±í 2¿ÉÒÔ¿´³ö£¬ÔʼÓ͵ijÉÊì¶È¸ß£¬¾¾úÖê×÷ÓúóOEP±ä»¯²»Ì«Ã÷ÏÔ£¬µ«ÔʼÓÍÑùµÄOEPÖµ¶àÊý´óÓÚ¾¾ú¼Á×÷ÓÃ7 dµÄÔÓÍÑùÆ·£¬¿É¼û¸÷¾úÖêÔÚ7 d½µ½âÕý¹¹ÍéÌþʱ£¬ÆæÊý̼ÍéÌþµÄ½µ½âËÙÂÊ´óÓÚżÊý̼ÍéÌþ;¶ø´Ó15 dµÄOEPÖµ¿É¿´³ö£¬F1ºÍA6ÑùÆ·µÄOEPÖµÓëÔʼÓÍÁ¿Ïà±È·Ö±ðΪ1.026ºÍ1.067£¬ÂÔ´óÓÚÔʼÓÍÑùOEPÖµ.³ýF1¡¢A6¾úÖêÍ⣬ÆäËü¾úÖêµÄOEPÖµ¶¼Ð¡ÓÚ1£¬ÇÒ³¤ÆÚµÄOEPÖµ¾ù±È¶ÌÆÚµÄС£¬ËµÃ÷15 dÕâЩ¾ú¼Á½µ½âÆæÊý̼µÄÓÅÊÆ¸üΪÃ÷ÏÔ.
±í2 Õý¹¹ÍéÌþÉúÎïÑÝ»¯²ÎÊýÖµ
¡¡¡¡F2µÄw(¡ÆC21-)/w(¡ÆC22+)ÖµÔÚ7 dºÍ15 d¶¼ÊÇ×î´ó£¬ËµÃ÷F2¾ú¼Á¶Ô¸ß̼Êý½µ½âÓÅÊÆ×îΪÃ÷ÏÔ£¬ÕâÓë±í 1µÄ½á¹ûÏàÒ»ÖÂ.D4¾ú¼ÁÔÚ15 dµÄw(¡ÆC21-)/w(¡ÆC22+)Öµ´ó·ù½µµÍ(15 dµÄֵΪ0.265)£¬Í¬Ñù±íÃ÷D4¾ú¼ÁûÓÐÇ¿ÁÒ½µ½â¸ß̼ÊýÍéÌþµÄÌØÕ÷£¬·´¶øÓÐÑ¡ÔñÐÔ½µ½âµÍ̼ÊýÍéÌþµÄÄÜÁ¦.
ͼ2 ÔÓÍÑùºÍ¸÷¾ú¼ÁGC/MS×ÜÀë×ÓÁ÷ͼ
¡¡¡¡Óɱí 2¿ÉÒÔ¿´³ö£¬³ýA6½µ½â15 dÓÍÑùÀÑÖ²±È(0.99)ÓëÔÓÍ»ù±¾Ïà½üÍ⣬ÆäËü¾úÖê¶ÔʯÓͽµ½âºó£¬Æäw(Pr)/w(Ph)±ÈÖµ¾ù´óÓÚÔÓÍ£¬ËµÃ÷ÔÓÍÖÐÀàÒìÎì¶þÏ©ÍéÌþÔÚ²»Í¬¾ú¼ÁµÄ×÷Óùý³ÌÖУ¬¾ù·¢ÉúÁËÃ÷ÏԵĽµ½â£¬Ê¹²¿·ÖÖ²ÍéÍÑÈ¥Ò»¸ö¼×»ùת»¯ÎªÀÑöÞÍé.
¡¡¡¡3.2 Þ½ÍéµÄ½µ½â¹æÂÉ
¡¡¡¡Þ½ÍéµÄÖ÷Òª³É·ÖÎªÝÆÀ໯ºÏÎ°üÀ¨Èý»·¶þÝÆÍéºÍÎå»·ÈýÝÆÍ黯ºÏÎ޽Íé²»ÊÇÓÉÉúÎïÌåÖ±½ÓºÏ³É£¬¶øÊÇÓÉËÀÍöÉúÎïÌå¾µØÇò»¯Ñ§¹ý³ÌÑÝ»¯¶øÀ´.Æä΢ÉúÎïת»¯Éæ¼°ôÇ»ù»¯¡¢»·Ñõ»¯¡¢ÍÑÇâµÈ¶àÖÖ·´Ó¦ÀàÐÍ.ÔÚ¾ú¼ÁµÄ×÷ÓÃÏ£¬»·Ñõ»¯·ÖΪÁ½ÖÖ£¬Ò»ÖÖÑõ»¯Ã¸ÏȽ«ÆäÑõ»¯Îª»·´¼£¬½Ó×ÅÍÑÇâÐγɻ·Íª;ÁíÒ»ÖÖÑõ»¯Ã¸ÔÙÑõ»¯»·Íª£¬»·¶Ï¿ª£¬Ö®ºóÉîÈë½µ½â.ôÇ»ù»¯£¬ÔÚ»¯ºÏÎïµÄ·ÇôÇ»ù»¯Î»µãÉÏÒýÈëÒ»¸öôÇ»ùÄÜÔöÇ¿ÆäÉúÎïѧ»îÐÔ.
¡¡¡¡Þ½ÍéÏà¶ÔÎȶ¨£¬³£ÓÃÞ½Íé×÷Ϊһ¸ö¿É¿¿µÄÖ¸±êÀ´ÆÀ¹À´ó¶àÊýÒ°ÍâÌõ¼þϵÄÉúÎï½µ½â.ĿǰÑо¿±íÃ÷£¬C30Þ½Íé¼°ÆäÏà¹ØÍ¬ÏµÎï(ÈçC31¡«C35Þ½Íé)ÔÚÒ»¶¨µÄʵÑéÌõ¼þÏ¿ɱ»Î¢ÉúÎï½µ½â¾ú½µ½â.±¾½ÚÓø÷¾úÖê½µ½âÞ½Íé¸÷ÎïÖÊÏà¶ÔÔÓ͵Ľµ½âÂÊ£¬·ÖÎö¸÷¾úÖê½µ½âÞ½ÍéµÄ²»Í¬£¬ÓÃÉúÎï±êÖ¾ÎïTs/Tm¡¢C31ºÍC31µÄ¦Á¦Â-22S/22(S+R) ¡¢¡Æhop/¡ÆÍéÌþ±ÈÖµ×÷ΪÉúÎïÑÝ»¯Ê¯Ó͹ý³ÌÖÐÞ½Íé½µ½âºÍ¹¹ÐÍת»¯µÄÒÀ¾Ý.
¡¡¡¡ÆäÖУºTs/TmÊÇʯÓ͵ØÖÊÁìÓò³£ÓõÄÓлúÖÊÑÝ»¯³Ì¶È²ÎÊý£¬TsΪ18¦Á(H)-22.29.30-Èý½µÞ½Í飬TmΪ17¦Á(H)-22.29.30-Èý½µÞ½Íé.ÔÚÉúÎïÌåÔÉúÖÊÖÐÖ»ÓÐTm¹¹ÐÍÊÇûÓÐTs¹¹Ð͵쬵±ÕâÀàÉúÎï½øÈëµØÖÊÌåºóÔÚÈÈ×÷Óá¢Î¢ÉúÎï×÷Óá¢Ñ¹Á¦¼°¿óÎï´ß»¯×÷ÓÃÏÂÈý½µÞ½Í齫ÓÉTmÁ¢Ìå¹¹ÐÍÖð½¥Ïò¸üÎȶ¨µÄTsÁ¢Ìå¹¹ÐÍת»¯£¬Òò¶øTs/Tm±ÈÖµÔ½´ó¼È·´Ó³ÁËÓлúÖÊÊÜÍâ×÷ÓÃÁ¦µÄ³Ì¶ÈԽǿ£¬Ñо¿ÑùÆ·Ö÷Òª¸Ä±äµÄÍâ×÷ÓÃÁ¦ÊÇ»ìºÏ¾ú×÷Óã¬ËùÒÔTs/Tm±ÈÖµÔ½´óÔò»ìºÏ¾ú¶ÔÓлúÖʵĽµ½âԽǿÁÒ.
¡¡¡¡´óÓÚ31¸ö̼µÄ17¦Á(H)¡¢21¦Â(H)¹¹Ð͵ÄÞ½ÍéÆäµÚ22λ̼Ô×Ó³ÉΪÊÖÐÔ̼£¬Òò¶ø»á³öÏÖÒ»¶Ô¾µÏñÒì¹¹Ìå(22S+22R).ÓÉÓÚÔÚÉúÎïÌåÖÐ22RÒì³£¸ß¶ø22SºÜµÍ£¬Í¨³£½«22R¹¹ÐͳÆ×÷ÉúÎï¹¹Ðͽ«22S¹¹ÐͳÆ×÷ÉúµØÖʹ¹ÐÍ.µ±ÕâÀàÉúÎï½øÈëµØÖÊÌåºóÔÚÈÈ×÷Óá¢Î¢ÉúÎï×÷Óá¢Ñ¹Á¦¼°¿óÎï´ß»¯µÈÍâÁ¦×÷ÓÃÏÂ22R½«Öð½¥Ïò22Sת»¯£¬Æäת»¯ÖÕµãֵΪ22S ¡Ã 22R=6 ¡Ã 4.µØÇò»¯Ñ§Ñо¿Öг£ÓÃC31¦Á¦Â-22S/22(S+R)ºÍC32¦Á¦Â-22S/22(S+R)×÷ΪÅÐʶÓлúÖÊÊÖÐÔ¹¹ÐÍÑÝ»¯³Ì¶ÈµÄ²ÎÊý.¡ÆÞ½Íé/¡ÆÕý¹¹ÍéÌþ±ÈÖµÊÇÑùÆ·ÖÐÞ½ÍéϵÁеÄÏà¶Ô·á¶ÈÓëÕý¹¹ÍéÌþϵÁÐÏà¶Ô·á¶ÈµÄ±ÈÖµ£¬ÓÃÀ´Ñо¿ÔÓÍÔâÊܲ»Í¬Ï¸¾ú×÷ÓÃ15 dºó£¬Þ½ÍéϵÁÐÓëÕý¹¹ÍéÌþϵÁеĽµ½âËÙÂÊÌØÕ÷.
¡¡¡¡3.2.1 Þ½ÍéµÄ½µ½â²îÒì·ÖÎö
¡¡¡¡¸÷¾ú¶ÔÞ½ÍéµÄ½µ½âÂÊÈçͼ 3Ëùʾ£¬½µ½âÇ÷ÊÆÆ½»º£¬Ã»ÓÐÃ÷ÏÔ±»½µ½âµÄ¸öÎï.µ«Ã¢±ú»¨¸ùÍé¡¢½µÄªÍé¡¢¦Ã-À¯Íé¡¢¶þÉýÞ½Íé¡¢ÈýÉýÞ½Íé¡¢ËÄÉýÞ½Íé¡¢ÎåÉýÞ½ÍéµÄ½µ½â¾ù´ïµ½20%ÒÔÉÏ.A6¾úÖÖ³ýÁË17¦Á(H)21¦Â(H)-22S-31¡¢32¡¢33¡¢34-ËÄ ÉýÞ½ÍéÓë17¦Á(H)21¦Â(H)-22R-31¡¢32¡¢33¡¢34-ËÄÉýÞ½ÍéÍ⣬¶ÔÓÚÆäËûÞ½Íé½µ½âÂʶ¼½Ï¸ß£¬½µ½âƽ¾ù.A5¾úÖÖÔÚǰÆÚ¶ÔÓÚÖмä̼ÊýµÄÞ½Íé½µ½âÒª±ÈµÍ̼ÊýºÍ¸ß̼ÊýµÄÞ½ÍéÒª³¹µ×.¸÷¾ú¼Á7 dºÍ15 dÞ½Íé½µ½âÇ÷ÊÆ»ù±¾Ò»Ö£¬ËµÃ÷Þ½ÍéµÄ½µ½âÖ÷Òª±íÏÖΪÊÖÐÔ̼ÏòÎȶ¨¹¹ÐÍת»¯£¬µ«Þ½ÍéµÄ½µ½â·ù¶ÈÔÚ15 dʱ±È7 d¸ßЩ.Þ½ÍéµÄ½µ½â²¨¶¯Ã÷ÏÔ£¬ÊÇÓÉÓÚϵÁÐÎïÖÊSºÍR¹¹Ð͵Ľ»Ìæ³öÏÖ£¬Ï¸¾ú×÷ÓôÙʹÎå»·ÈýÝÆÀ໯ºÏÎïµÄÊÖÐÔ̼R¹¹ÐÍÏò¸üÎȶ¨µÄS¹¹ÐÍת»¯£¬S¹¹ÐÍ»¯ºÏÎï¸üÎȶ¨£¬ËùÒÔ½µ½âÂʵͣ¬R¹¹ÐÍÎïÖʲ»Îȶ¨£¬½µ½âÂʸߣ¬³ÊÏÖ³ö²¨ÀË×´µÄ½µ½âÇ÷ÊÆ.
ͼ3 ²»Í¬¾úÖê×÷ÓÃÏÂÞ½ÍéµÄ½µ½âÂÊ (±¸×¢ ·åºÅ´ú±íµÄÎïÖÊ£º 1: 18¦Á(H)-22£¬29£¬30-Èý½µÞ½Íé(Ts)£¬ 2: â±ú»¨¸ùÍ飬 3: 17¦Á(H)-22£¬29£¬30-Èý½µÞ½Íé(Tm)£¬ 4: ½µÓðÉÈÍ飬 5: 17¦Á(H)21¦Â(H)-30-½µÞ½Í飬 6: ÖØÅÅ-30-½µÞ½Í飬 7: ÓðÉÈÍ飬 8: 17¦Â(H)21¦Á(H)-30-½µÄªÍ飬 9: 17¦Á(H)21¦Â(H)-Þ½Í飬 10: Îå»·ÈýÝÆÍ飬 11: Îå»·ÈýÝÆÍ飬 12: 17¦Â(H)21¦Á(H)-ĪÍ飬 13: 17¦Á(H)21¦Â(H)-22S-31-ÉýÞ½Í飬 14: 17¦Á(H)21¦Â(H)-22R-31-ÉýÞ½Í飬 15: ¦Ã-À¯Í飬 16: 17¦Á(H)21¦Â(H)-22S-31£¬32-¶þÉýÞ½Í飬 17: 17¦Á(H)21¦Â(H)-22R-31£¬32-¶þÉýÞ½Í飬 18: 17¦Á(H)21¦Â(H)-22S-31£¬32£¬33-ÈýÉýÞ½Í飬 19: 17¦Á(H)21¦Â(H)-22R-31£¬32£¬33-ÈýÉýÞ½Í飬 20: 17¦Á(H)21¦Â(H)-22S-31£¬32£¬33£¬34-ËÄÉýÞ½Í飬 21: 17¦Á(H)21¦Â(H)-22R-31£¬32£¬33£¬34-ËÄÉýÞ½Í飬 22: 17¦Á(H)21¦Â(H)-22S-31£¬32£¬33£¬34£¬35-ÎåÉýÞ½Í飬 23: 17¦Á(H)21¦Â(H)-22R-31£¬32£¬33£¬34£¬35-ÎåÉýÞ½Íé)
¡¡¡¡Í¼ 4ΪA6½µ½âºóµÄÞ½Íé(m/z191)ÖÊÁ¿É«Æ×ͼ£¬±¾½Ú½öÒÔA6¾úÖêΪÀý£¬ÆäËû¾úÖê»ôÍéͼÒòƪ·ùÓÐÏÞ£¬Ôڴ˲»Ò»Ò»ÁоÙ.´ÓA6µÄÖÊÁ¿É«Æ×ͼ¿ÉÒÔ¸üºÃµÄ×ô֤ͼ 4µÄ½á¹û.
ͼ4 ÔÓͺÍA6½µ½âºóµÄÞ½Íé(m/z191)ÖÊÁ¿É«Æ×ͼ
¡¡¡¡3.2.2 Þ½ÍéÉúÎïÑÝ»¯²ÎÊý·ÖÎö
¡¡¡¡ÔÓͱ»5ÖÖ¾ú¼Á×÷ÓÃ7 dÔÓ͵ÄÞ½ÍéϵÁÐ̼Êý·Ö²¼Ïàͬ£¬¾ùΪC27¡«C35(C28ȱʧ)£¬Ö÷·å¾ùΪC30-¦Á¦ÂÞ½Íé.´óÓÚ31¸ö̼µÄ17¦Á(H)¡¢21¦Â(H)¹¹Ð͵ÄÞ½Í飬ÆäµÚ22λ̼Ô×Ó³ÉΪÊÖÐÔ̼£¬Òò¶ø»á³öÏÖÒ»¶Ô¾µÏñÒì¹¹Ìå(22S+22R).Èç±í 3Ëùʾ£¬ÔʼÓÍÑùC31-¦Á¦Â-22S/C31¦Á¦Â-22(S+R)ºÍC32-¦Á¦Â-22S/C31¦Á¦Â-22(S+R)±ÈÖµ·Ö±ðΪ0.591ºÍ0.577£¬½Ó½üת»¯ÖÕµãÖµ0.600£¬ËùÒÔÔʯÓÍÑùΪ³ÉÊìÖÊ£¬ÊÜÍâÁ¦×÷Óñ仯²»»áºÜ´ó.¾¸÷¾úÖê½µ½âºóÑùÆ·µÄC31-¦Á¦Â-22S/C31¦Á¦Â-22(S+R)ºÍC32-¦Á¦Â-22S/C31¦Á¦Â-22(S+R)±ÈÖµ¾ù´óÓÚÔʼÓÍÑùÖµ£¬ÇÒÓÍÑù¾5ÖÖ¾ú¼Á7 d½µ½âºóC31-¦Á¦Â-22S/C31¦Á¦Â-22(S+R)ºÍC32-¦Á¦Â-22S/C31¦Á¦Â-22(S+R)±ÈÖµ¾ùÓÐÒ»Ïî´ïµ½×ª»¯ÖÕµã.Óɴ˿ɼû£¬¸Ã5ÖÖ¾ú¼ÁÄÜ´ÙʹÎå»·ÈýÝÆÀ໯ºÏÎïµÄÊÖÐÔ̼R¹¹ÐÍÏò¸üÎȶ¨µÄS¹¹ÐÍת»¯£¬¶ÌÆÚÄھͿÉÒԴﵽת»¯ÖÕµã.
±í3 Þ½ÍéÉúÎïÑÝ»¯²ÎÊý(ÖÊÁ¿·ÖÊý)
¡¡¡¡ÔÚʵÑéÖÐͨ¹ýÌí¼Ó¾ú¼ÁÌṩÍâ×÷ÓÃÁ¦£¬¿É¼ûw(Ts)/w(Tm)±ÈÖµÔ½´óÔò˵Ã÷¾ú¼Á¶ÔÓлúÖʵĽµ½âԽǿÁÒ.´Ó±í 4¿ÉÒÔ¿´³ö£¬5ÖÖ¾ú¼Á½µ½âʯÓ͵Äw(Ts)/w(Tm)±ÈÖµ¾ù´óÓÚÔʼÓÍÑùµÄÖµ£¬ÇÒ¾ú¼ÁÔÚ¶ÌÆÚÄÚ¶ÔÞ½ÍéµÄ½µ½â½ÏÃ÷ÏÔ.A5¾ú¼Á¶ÔÞ½Íé½µ½âµÄw(Ts)/w(Tm)±ÈÖµ×î´ó(0.966)£¬¶ÔÞ½ÍéµÄ½µ½â³Ì¶È×îÇ¿£¬×ª»¯×î³¹µ×.
±í4 Þ½Íéת»¯²ÎÊý(µ¥Î»£ºÖÊÁ¿·ÖÊý)
¡¡¡¡´Ó±í 4ÖÐw(¡ÆÞ½Íé)/w(¡ÆÕý¹¹ÍéÌþ)±ÈÖµ¿É¿´³ö£¬A6¡¢F1¾ú¼ÁµÄ¸Ã±ÈÖµÃ÷ÏÔ´óÓÚÔʼÓÍÑùµÄ0.394£¬ÕâÁ½ÖÖ¾ú¼Á×÷ÓÃÔÓÍʱÕý¹¹ÍéÌþµÄ½µ½âÓÅÊÆÃ÷ÏÔ´óÓÚÞ½ÍéϵÁУ¬¶øA5¡¢D4ºÍF2µÄw(¡ÆÞ½Íé)/w(¡ÆÕý¹¹ÍéÌþ)±ÈÖµ·Ö±ðΪ0.111¡¢0.158ºÍ0.215£¬Ã÷ÏÔСÓÚÔʼÓÍÑùµÄ0.394£¬Õâ3ÖÖ¾ú¼Á×÷ÓÃÔÓÍʱ£¬Þ½ÍéµÄ½µ½âËÙÂÊÃ÷ÏÔ´óÓÚÕý¹¹ÍéÌþϵÁÐ.¸÷¾ú¼Á½µ½âÞ½ÍéÓÅÊÆ±íÏÖΪA5>D4>F2>F1>A6.
¡¡¡¡3.3 ·¼ÏãÌþµÄ½µ½â¹æÂÉ
¡¡¡¡Â¤¶«ÔÓÍ·¼ÌþÖ÷Òªº¬ÝÁ¡¢·Æ¡¢Áª±½¡¢ºÍÈý·¼çÞÍéµÈ5¸öϵÁУ¬·Ö±ðº¬2¡«4¸ö·¼ºËµÄ³í»··¼Ìþ£¬ÒÔ¼°º¬Îå¸ö·¼ºËµÄ¦Á-±½²¢ÜÅ.·¼ÏãÌþÊÇÖØÒªµÄÔÓÍ×é·Ö£¬Ïà¶ÔÓÚÍéÌþÀ´ËµÉÔÄѽµ½â£¬·¼ÏãÌþµÄÓÐÑõ´úл±ØÐëÓзÖ×ÓÑõ²Î¼Ó£¬Í¬Ê±ÐèÒª¼ÓÑõøµÄ´ß»¯.ϸ¾úͨ¹ý¹ýÑõ»¯Îïø½«·Ö×ÓÑõµÄÁ½¸öÑõÔ×Ó½áºÏ½ø·¼ÏãÌþÖУ¬ÐγÉ˳ʽ¹¹Ð͵ĶþÇâ¶þ´¼£¬Ë³Ê½¶þÇâ¶þ´¼ÔÚÁíÍâÒ»ÖÖ¹ýÑõ»¯ÎïøµÄ´ß»¯Ï½«·¼Ïã»·ÆÆÁѳÉÁÚ±½¶þ·Ó.Óëϸ¾úÏà·´£¬Õæ¾úͨ¹ý´ß»¯µ¥Ñõ»¯Ã¸ºÍ»·Ñõ»¯ÎïË®½âøʹ·¼Ìþת»¯Îª·´Ê½¹¹ÐͶþÇâ¶þ´¼(ÕÅÏèµÈ£¬2010).
¡¡¡¡ÔÚÉúÎïÖÊת»¯ÖУ¬TMCH/CH²ÎÊý·´Ó³ÁË(CH)ϵÁеÄÈ¥¼×»ùЧӦµÄ³Ì¶È£¬¸ÃֵԽСÔò±íÃ÷ ·Ö×Ó·¼Ïã»·Éϵļ׻ùÈ¡´ú»ùµÄÈ¥¼×»ùЧӦԽǿÁÒ.TeMN/N²ÎÊý·´Ó³ÁËÝÁ(N)ϵÁÐÈ¥¼×»ùЧӦµÄ³Ì¶È£¬¸ÃֵԽСÔò±íÃ÷ÝÁ»·Éϼ׻ùÈ¡´ú»ùµÄÈ¥¼×»ùЧӦԽǿÁÒ.
¡¡¡¡¡Æ·¼Ìþ/¡ÆÕý¹¹ÍéÌþÊÇÓÃÀ´Ñо¿ÔÓÍÔÚ²»Í¬Ï¸¾úʱ¼ä×÷ÓÃÏ£¬³í»··¼ÌþÓëÍéÌþµÄ½µ½âËÙÂÊ»ò½µ½â³Ì¶ÈÌØÕ÷.
¡¡¡¡Ê¯ÓÍÑùÆ·Öмì²â³ö(CH)¡¢¼×»ù(MCH)¡¢¶þ¼×»ù(DMCH)ºÍÈý¼×»ù(TMCH)£¬ÒÔ µÄÏà¶Ô·á¶È×î¸ßÎªÌØÕ÷.±í 5ÏÔʾÔÓ͵ÄTMCH/CHΪ0.500£¬ÔÚ7 d¸÷¾ú¼ÁµÄ½µ½âµ±ÖУ¬F2¡¢A5¡¢D4µÄTMCH/CH²»±äÈÔΪ0.500£¬¶Ô·¼ÌþµÄ½µ½âЧ¹û²»Ã÷ÏÔ£¬¶ø¾ú¼ÁF1¡¢A6µÄTMCH/CH·Ö±ðΪ0.417¡¢0.426£¬±íÃ÷¶Ô·¼Ìþ¾ßÓнµ½âЧӦ.
±í5 ·¼ÏãÌþµÄ½µ½â²ÎÊý(ÖÊÁ¿·ÖÊý)
¡¡¡¡ÝÁÊǺ¬ÓÐÁ½¸ö·¼Ïã»·µÄ³í»··¼Ìþ£¬Ñо¿µÄÑùÆ·Öмì²â³ö£º¼×»ùÝÁ(MN)¡¢¶þ¼×»ùÝÁ(DMN)¡¢Èý¼×»ùÝÁ(TMN)ºÍËļ׻ùÝÁ(TeMN)£¬ÒÔËļ׻ùÝÁµÄÏà¶Ô·á¶È×î¸ßÎªÌØÕ÷.±í 5ÏÔʾÔÓ͵ÄTeMN/MNֵΪ5.200£¬¸÷¾ú¼ÁµÄTeMN/MNÖµ¾ù±ÈÔÓ͵ÄС£¬±íÃ÷¼¸ÖÖ¾úÖê¶ÔÝÁ»·Éϵļ׻ù¾ùÓÐÈ¥¼×»ù»¯Ð§Ó¦£¬ÆäÖÐF2µÄÈ¥¼×»ù»¯Ð§Ó¦×îÈõ£¬¶øA5¶ÔÔÓ͵ÄÈ¥¼×»ù»¯Ð§Ó¦×îÇ¿£¬ÕâÒ²ÓëÎÄÏ×±¨µÀ¼Ùµ¥°û¾úÎïÖÖ¾ßÓнµ½â¸÷ÖÖʯÓÍ»¯ºÏÎïÄÜÁ¦£¬°üÀ¨Ö¬×åºÍ·¼×廯ºÏÎïÏàÒ»ÖÂ.
±í6 ·¼ÏãÌþµÄÑÝ»¯²ÎÊý(ÖÊÁ¿·ÖÊý)
¡¡¡¡´Ó±í 6Öп´³ö£¬15 d¾ú¼Á½µ½âÓÍÑùÖÐδ¼ì²â³öÝÁ£¬Ö¤Ã÷ÝÁÔÚ15 dǰÒѾ±»¾ú¼ÁµÄÇ¿ÁÒÈ¥¼×»ù·´Ó¦½µ½âÍêÈ«.¶øF1¡¢F2¡¢A6µÄ·Æ/Õý¹¹ÍéÌþ±ÈÖµÃ÷ÏÔ´óÓÚÔÓÍÑùµÄ0.167Öµ£¬±íÃ÷Õâ3ÖÖϸ¾ú×÷ÓÃÔÓÍʱÕý¹¹ÍéÌþµÄ½µ½âËÙÂÊÃ÷ÏÔ´óÓÚ·ÆÏµÁУ¬µ«D4¡¢A5µÄ·Æ/Õý¹¹ÍéÌþ±ÈÖµÃ÷ÏÔСÓÚÔÓÍÑùµÄÖµ£¬±íÃ÷Õâ2ÖÖ¾ú×÷ÓÃÔÓÍʱ·ÆÏµÁеĽµ½âËÙÂʽÏÕý¹¹ÍéÌþ¿ì.ͬÀí£¬/Õý¹¹ÍéÌþ±ÈÖµÖÐD4¡¢A5¡¢F2¾ùСÓÚÔÓÍÑùµÄÖµ£¬±íÃ÷Õâ3ÖÖ¾ú½µ½âÔÓÍʱÕý¹¹ÍéÌþµÄ½µ½âËÙÂÊÃ÷ÏÔСÓÚ ÏµÁÐ.´Ó¸÷²ÎÊýµÄ×ۺϱȽϿÉÒÔ¿´³ö£¬A5¡¢D4¾ú¼Á¶Ô·¼ÏãÌþÓнϺõĽµ½âÓÅÊÆ.
¡¡¡¡4 ½áÂÛ
¡¡¡¡Í¨¹ý΢ÉúÎï½µ½âʯÓÍ×åÖ÷Òª³É·ÖÕý¹¹ÍéÌþ¡¢Þ½ÍéºÍ·¼ÌþµÄ½µ½â³Ì¶È¼°µØÇòÑݱäÌØÕ÷·ÖÎö£¬¿ÉÒÔ¿´³ö¸÷¾ú¶ÔʯÓÍ×åÖØÒª×é·Ö¡ª¡ªÕý¹¹ÍéÌþ¡¢Þ½Íé¡¢·¼ÏãÌþ¾ßÓв»Í¬µÄ½µ½â³Ì¶ÈºÍÑÝ»¯ÌØÕ÷.
¡¡¡¡1)¸÷¾ú¶ÔʯÓÍ×å³É·ÖÖÐÕý¹¹ÍéÌþµÄ½µ½â×îÖ÷Òª£¬±íÏÖΪ7 dÓë15 dµÄ½µ½â³ÊÃ÷ÏԵĻ¥²¹¹æÂÉ£¬¼´7 dµ½15 dÕý¹¹ÍéÌþ¸÷ÎïÖʺ¬Á¿³ÊÏÈÔöºó¼õ»òÏȼõºóÔöµÄ¹æÂÉ£¬F2¡¢A5¶Ô¸ß̼ÊýÕý¹¹ÍéÌþ½µ½âÂʸߴï60%ÒÔÉÏ£¬ÔÚ½µ½â¾úÖÐÕ¼¾ÝÓÅÊÆ;F2¡¢A5ºÍD4¾úÖê15 dʱOEPֵ˵Ã÷ËûÃǺóÆÚ½µ½âÆæÊý̼ÓÅÊÆ¸üΪÃ÷ÏÔ;w(¡ÆC21-)/w(¡ÆC22+)Öµ±íÃ÷F2¾úÖê¾ßÓÐÑ¡ÔñÐÔ½µ½â¸ß̼ÊýÕý¹¹ÍéÌþµÄÌØµã£¬¶øD4¾úÖêÏà¶Ô¾ßÓÐÑ¡ÔñµÍ̼ÊýÕý¹¹ÍéÌþ½µ½âµÄÌØµã.
¡¡¡¡2)Þ½ÍéµÄÑÝ»¯·ÖÎö¿ÉÒÔ¿´³ö£¬ËùɸѡµÄ5ÖÖ¾ú¼Á¾ùÄÜ´ÙʹÎå»·ÈýÝÆÀ໯ºÏÎïµÄÊÖÐÔ̼R¹¹ÐÍÏò¸üÎȶ¨µÄS¹¹ÐÍת»¯£¬7 d¶ÔʯÓ͵Ľµ½â¾Í¿ÉÒԴﵽת»¯Öյ㣬¸÷¾ú¼Á½µ½âÞ½ÍéÓÅÊÆ±íÏÖΪA5>D4>F2>F1>A6.
¡¡¡¡3)¾ú¼ÁÔÚ¶Ô·¼ÏãÌþµÄ½µ½âÖбíÏÖ³öÇ¿ÁÒµÄÈ¥¼×»ù»¯×÷Óã¬ÔڶԷƺ͵Ľµ½âÖУ¬A5ºÍD4¾ú½µ½âÓÅÊÆ×îÃ÷ÏÔ.
¡¡¡¡×ÛÉÏËùÊö£¬Õâ5Öê¾úÔÚ¶ÔʯÓÍÖ÷Òª³É·ÖÕý¹¹ÍéÌþ¡¢Þ½Íé¡¢·¼ÏãÌþµÄ½µ½âÖУ¬F2¡¢A5ºÍD4¾úÖê±íÏÖÓÅÓÚÆäËû¾úÖ꣬ͬʱ±êÖ¾ÎïÑÝ»¯²ÎÊý½øÒ»²½½ÒʾÁËÎïÖʽṹµÄ½µ½âÑÝ»¯ÌØÕ÷£¬ÆäÑÝ»¯²ÎÊýÖµÓë½µ½âÂʽá¹û±£³ÖÒ»ÖÂÐÔ£¬Ò²½øÒ»²½×ôÖ¤ºÍ½âÊÍÁ˲»Í¬¾úÖêµÄ½µ½â²îÒì.ËùÒÔ£¬ÔÚʯÓÍÎÛȾµÄ΢ÉúÎïÐÞ¸´Ó¦ÓÃÖУ¬ÀûÓø÷ÖÖ±êÖ¾Îï·´Ó³¾úÖê¶ÔÔÓÍÖÐÕý¹¹ÍéÌþ¡¢Þ½Íé¡¢·¼ÏãÌþµÄ½µ½â²îÒìºÍÑÝ»¯ÌØÕ÷¾ßÓиüÇåÎúµØ±æÊ¶¶È£¬Í¬Ê±¿ÉÒÔ°ïÖúÎÒÃǶԽµ½âÖи÷³É·Ö½á¹¹µÄÑÝ»¯ÓиüÉîÈëµÄÈÏʶ£¬ÔÚʯÓÍÐÞ¸´¹ý³ÌÖУ¬¶ÔºÏÀíÀûÓþúÖê»òÕß»ìºÏ¾úÖêµÄÑ¡ÔñÉϸü¾ßÓпÆÑ§ÐÔ.














