高炉煤气洗涤是将炼铁高炉炉顶出来的经干式重力除尘器除尘后的煤气通过水洗涤使之成为净煤气,再送至冶金厂用户作为燃料使用。因洗涤水与煤气直接接触,煤气中的细小固体杂质(亦称瓦斯泥)、矿物质与有害物质也进入水中,导致水质受到污染。国内高炉煤气洗涤水的处理工艺包括沉淀、冷却、水循环阻垢缓蚀处理、污泥脱水与利用等主要工序。其中沉淀法主要去除水中悬浮物,对于循环处理系统外排的高炉煤气洗涤废水则显得力不从心。由于此类废水中含有对锌沉淀产生干扰的氰、氯、硫等诸多因素,传统化学沉淀处理方法对含锌废水往往难以奏效,故目前国内尚无成功处理该类废水使其达到较好去除效果或达标排放的范例。笔者采用次氯酸钠氧化法及氢氧化物沉淀法对钢铁工业含锌含氰废水进行处理,并进行了初步的工业应用。
1反应原理
1.1氧化反应
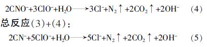
用活性氯破坏氰化物是碱式氯化法的基本反应,无论电解食盐法、液氯法还是漂白粉法均基于这类反应。其反应过程可能分两步进行,首先氰化物在次氯酸根作用下被氧化为氯化氰,随后氯化氰在碱性条件下水解为毒性不大的氰酸盐,在接近中性下被氧化水解为N2和CO2。其反应方程式为:
①碱性条件下(pH为9~10):
②接近中性条件下(pH为7~8):
由于中间产物CNCl是挥发性物质,其毒性和HCN相当。在酸性条件下CNCl稳定不易分解,所以要在碱性条件下保持适当长的时间再回调pH(或经过滤或沉淀等固液分离处理后再回调pH)。
1.2沉淀反应
工业污水中的多数重金属离子可用氢氧化物沉淀方法去除,因此锌离子可通过化学沉淀法去除。
由于锌的氢氧化物呈两性,pH过高会重新溶解。例如Zn2+在pH=9时几乎全部以Zn(OH)2的形式沉淀。但当pH>11时,已生成的Zn(OH)2与过剩的OH-发生反应,生成可溶性的Zn(OH)42-。显然,用氢氧化物分离污水中的金属离子时,污水pH是操作的重要条件之一。本实验中除锌反应的pH宜控制在10以内,使其生成Zn(OH)2沉淀。
2实验部分
2.1水质水量
实验水样来自湘潭钢铁(集团)公司某水站的高炉煤气洗涤水,采集该水站外排出口水样,带回实验室自然沉降,过滤后备用。其水质情况见表1。
2.2仪器与试剂
仪器:JA203H电子天平,常州市常运电子设备有限公司;RT-SX型数显恒温电热套,郑州长城科工贸有限公司;D-2无级恒速搅拌器,巩义市英峪予华仪器厂;可调电子万用炉,北京市永光明医疗仪器厂;HH-2数显恒温水浴锅,常州国华电器有限公司;pHS-25酸度计,上海精密科学仪器有限公司。试剂:氯化钠,基准试剂;安替福民〔即NaClO,有效氯≥10%(质量分数,下同),游离碱≤4%〕;EDTA-2Na、磷酸、硝酸银、对二甲氨基亚苄基罗丹宁、丙酮、氢氧化钠、盐酸、硫酸、铬酸钾、无水乙酸钠、乙酸、氟化钾、酒石酸、柠檬酸三钠、二甲酚橙,均为分析纯。
2.3实验方法
准确移取400mL水样,加入一定量NaOH(调节pH)及催化助剂,然后移至室温水浴中,用移液管准确移取一定量NaClO,进行搅拌,反应20~40min后取上层清液测定氰化物〔8〕及锌离子〔9〕。
2.4正交试验设计
由于废水成分复杂,在初步试验基础上,综合考虑后确定高炉煤气洗涤水脱锌脱氰的影响因素:有效氯含量(A)、反应时间(B)和反应温度(C)。选择L9(33)的正交试验方案〔10〕安排脱锌脱氰实验。
3结果及讨论
3.1正交试验
正交试验结果如表2所示。
考虑氰化氢易挥发,确定脱锌脱氰处理最佳条件:有效氯250mg/L,反应时间30min,温度20℃。
3.2反应条件对脱锌脱氰的影响
为了防止工业生产过程中出现突发异常情况,研究了各个因素对高炉煤气洗涤水脱锌脱氰效果的影响。实验中以有效氯250mg/L,反应时间30min,温度20℃为基本条件,每次只改变其中一个变量,其他条件为常量。
3.2.1反应时间对去除效果的影响
在废水处理中,处理时间直接关系到处理装置的大小。在pH为9~10、温度为20℃、有效氯为250mg/L下考察反应时间对去除率的影响,见表3。
从表3可见,在机械搅拌作用下,NaClO与CN-可在较短时间内完成反应,氰化物去除率在98.5%以上。且在不同反应时间下,锌离子的去除率均高达100%,说明实验条件范围内反应时间对锌离子的去除率影响不明显。50min时出水总氰化物<0.5mg/L,能达到GB8978—1996一级排放标准要求。
3.2.2有效氯含量对去除率的影响
由于废水的成分比较复杂,多种物质均能与次氯酸钠发生反应,导致次氯酸钠加入量很难由理论计算准确得出。在pH=9~10、搅拌反应30min、20℃下考察有效氯含量对去除率的影响,结果见表4。
表选项由表4可以看出,随着有效氯的增加,总氰化物、锌离子的去除率均提高,说明总氰化物、锌离子的去除率与有效氯质量浓度有关。由于水样中存在着游离氰化物和络合氰化物(络合氰化物包括锌氰络合物),当有效氯达到一定值后可以氧化破坏锌氰络合物而释放出锌离子,使锌离子得以沉淀去除。当有效氯质量浓度为200mg/L时,锌离子为27.79mg/L,总氰化物为9.59mg/L,可达到湘潭钢铁集团有限公司内部工业循环用水(Q/OHAB801.1—2009,总氰化物≤10mg/L,锌离子≤30mg/L)的标准要求。当有效氯质量浓度300mg/L时,总氰化物<0.5mg/L,锌离子去除率达100%。
3.2.3反应温度对去除率的影响
废水处理温度的高低直接影响到处理装置的复杂程度和处理费用。若要求处理温度较高时,处理低温废水时就需要加热设施,不仅处理装置复杂、操作麻烦,而且也增加了设备投资和运行费用。在pH为9~10、有效氯250mg/L、搅拌反应时间30min的条件下,考察温度对去除率的影响,结果见表5。
由表5可知,随着反应温度的升高,总氰化物去除率增大;当反应温度达到25℃时,总氰化物的去除率>99%,总氰化物<0.5mg/L,达到GB8978—1996的一级标准要求。在实验条件范围内不同温度下的锌离子去除率均为100%,说明温度对锌离子去除率影响不大。
3.2.4最佳条件的确定
根据正交试验和单因素实验确定的最佳反应条件:pH为9~10、温度为25℃、有效氯质量浓度为250mg/L、反应时间为30min,进行3次重复性实验,结果见表6。由表6看出,3次重复性实验的平均剩余总氰化物为0.35mg/L,优于正交试验的最优结果0.39mg/L,说明进一步优化后脱氰效果优于正交试验。
在上述实验基础上对湘潭钢铁集团有限公司某高炉煤气洗涤循环水系统进行了适当改造,增设了次氯酸钠氧化及氢氧化物沉淀处理设施,并在生产现场工业运行中进行了初步考察。
试运行水站原有工艺流程见图1
改造后工艺流程见图2。
由于原工艺流程中没有对废水进行除氰除锌处理,在生产现场对斜板池进行适当改造,调节合适的pH并加入适量次氯酸钠溶液(考虑到成本控制,实际运行剂量较实验最优剂量要低)进行处理。试运行中每天取样分析一次,所得数据列于表7。
根据表7可知,增设次氯酸钠氧化及氢氧化物沉淀处理设施后,污水混合池外排出水口处水样中的总氰化物平均为4.42mg/L,锌离子平均为14.71mg/L,能够达到Q/OHAB801.1—2009(总氰化物≤10mg/L,锌离子≤30mg/L)的要求。
另外发现现场应用结果与实验结果存在一定差距,分析认为有以下原因:为控制操作运行费用,只需使水质达到公司内部标准,实际运行剂量较实验最优剂量低,同时现场改造有限故难以达到实验优化工艺条件;此外则是现场及水质的复杂性所致。。
增设次氯酸钠氧化及氢氧化物沉淀处理设施后药剂费用见表8。可以看出,所需药剂费用可控制在3元/m3以内。
5结论
(1)次氯酸钠氧化法及氢氧化物沉淀法对钢铁工业含锌含氰废水有较好的处理效果。正交试验结果表明,其脱锌脱氰结果具有重现性。
(2)用次氯酸钠氧化法及氢氧化物沉淀法处理钢铁工业含锌含氰废水过程中,有效氯含量对次氯酸钠氧化除氰除锌效果具有主要影响,反应时间是次氯酸钠氧化除氰除锌的重要影响因素,反应温度的升高也有助于去除率的提高。
(3)实验结果表明,同时考虑到实践应用的成本因素,次氯酸钠氧化法及氢氧化物沉淀法处理钢铁工业含锌含氰废水的最佳适宜条件:pH为9~10,温度为25℃,有效氯质量浓度250mg/L,搅拌反应时间为30min。
(4)在生产现场实践应用一段时间后,检测到污水混合池外排出口水样中的总氰化物平均质量浓度降低为4.42mg/L,锌离子平均为14.71mg/L,达到湘潭钢铁集团有限公司内部工业循环用水的标准(Q/OHAB801.1—2009)要求。














