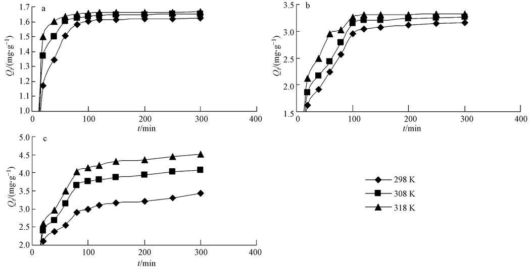
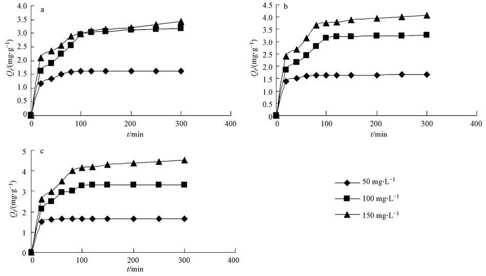
¡¡¡¡1 ÒýÑÔ
¡¡¡¡¹¤Òµ¿ìËÙ·¢Õ¹µÄͬʱҲ´øÀ´ÁË´óÁ¿µÄ»·¾³ÎÛȾÎÊÌ⣬ÓÈÆäÊÇÖØ½ðÊôÓÉÓÚÆä²»¿ÉÉúÎï½µ½âÐÔÒѾ³ÉΪÍþвÎÒ¹ú¹«ÖÚ½¡¿µµÄÒ»ÀàÖØÒªµÄÎÛȾÎï.пÊÇÈËÌ屨ÐèµÄ΢Á¿ÔªËØÖ®Ò»£¬µ«Èç¹ûÉãÈë¹ýÁ¿£¬Ôò»á·¢ÉúпÖж¾£¬³öÏÖ¶ñÐÄ¡¢Å»Í¡¢Ê³Óû²»Õñ¡¢¸¹²¿ÌÛÍ´¼°ÃâÒßÁ¦µÍϵÈÖ¢×´.Òò´Ë£¬ÎªÁ˱ÜÃâп¶ÔÉú̬ϵͳ¼°¹«ÖÚ½¡¿µÔì³É²»Á¼Ó°Ï죬ÓбØÒª¶Ôº¬Ð¿·ÏË®½øÐд¦Àí.Ŀǰ£¬³£¼ûµÄ´¦Àí·½·¨ÓгÁ½µ·¨¡¢Àë×Ó½»»»¡¢µç»¯Ñ§´¦Àí¡¢Ä¤¹ýÂ˼°¹Ì»¯µÈ£¬µ«ÓÉÓÚÏà¶Ô½Ï¸ßµÄά»¤·ÑÓúͳõʼ×ʽðͶÈë¡¢½ðÊôÀë×ӵIJ»Íêȫȥ³ý¼°²úÉú¹ýÁ¿ÎÛÄàµÈÎÊÌâÏÞÖÆÁËÕâЩ·½·¨µÄÓ¦ÓÃ.¶øÎü¸½·¨ÓÉÓÚ¾ßÓй¤ÒÕ¼òµ¥¡¢³É±¾½ÏµÍ¡¢²Ù×÷·½±ãµÈÓŵ㣬´Ó¶øÕ¹ÏÖ³öºÜºÃµÄÓ¦ÓÃǰ¾°.´Ó»·¾³ÓѺúͿɳÖÐø·¢Õ¹µÄ½Ç¶È³ö·¢£¬µÍ³É±¾Îü¸½¼Á±»¸øÓèÔ½À´Ô½¶àµÄ¹Ø×¢.
¡¡¡¡¸ß¯ÔüÊÇÒ±Á¶ÉúÌúʱ´Ó¸ß¯ÖÐÅųöµÄ¸±²úÆ·£¬ÏÖÔÚ´ó¶àÊý¸ß¯Ôü¶¼ÊôÓڸ߯ˮ´ãÔü(WBFS)£¬ËüÊÇÔÚ¸ßÎÂÈÛÈÚ״̬Ͼ¹ýË®´ã¼±Àä¶øÐγɵÄϸС¿ÅÁ£.Ŀǰ£¬¸ß¯ÔüÖ÷ÒªÓÃÓÚÉú²úË®Ä༰×÷ΪµÀ·»ù²ã²ÄÁÏʹÓã¬Í£ÁôÔÚ¼òµ¥µÄµÍ¸½¼ÓÖµÉú²ú¿ª·¢²ãÃæÉÏ.Òò´Ë£¬Èç¹û¿ÉÒÔÀûӸߝˮ´ãÔüµÄÌØÐÔ£¬½«Æä×÷ΪһÖÖÎü¸½²ÄÁÏÓÃÓÚÖØ½ðÊô·ÏË®´¦Àí£¬Ê¹¸ß¯ˮ´ãÔü×ÊÔ´»¯£¬½«´ïµ½ÒÔ·ÏÖηϵÄÄ¿µÄ.
¡¡¡¡×ݹ۹úÄÚÍâÎÄÏ×£¬¶ÔÓڸ߯ˮ´ãÔüÎü¸½ÖؽðÊôµÄÑо¿½ÏÉÙ£¬ÓÈÆäȱ·¦´ÓÈÈÁ¦Ñ§ºÍ¶¯Á¦Ñ§½Ç¶È¶ÔZn2+Ôڸ߯ˮ´ãÔüÉÏÎü¸½ÐÐΪµÄÑо¿.Òò´Ë£¬±¾Ñо¿Ñ¡ÔñZn2+ΪÎü¸½¶ÔÏó£¬Ñо¿¸ß¯ˮ´ãÔüÎü¸½¸ÃÖØ½ðÊôµÄƽºâ¡¢ÈÈÁ¦Ñ§ºÍ¶¯Á¦Ñ§ÌØÕ÷£¬Õ⽫¶Ô¿ª·¢¸ß¯ˮ´ãÔü×÷ΪһÖֵͳɱ¾Îü¸½¼Á´¦ÀíÖØ½ðÊô·ÏË®µÄÓ¦ÓÃÑо¿¾ßÓÐÖØÒªÒâÒå.
¡¡¡¡2 ²ÄÁÏÓë·½·¨
¡¡¡¡2.1 ʵÑé²ÄÁÏ
¡¡¡¡ÊµÑéËùӸߝˮ´ãÔüÈ¡×ÔÄÚÃɹŰüÍ·¸ÖÌú¼¯ÍÅÁ¶Ìú³§.ʵÑéǰÊ×ÏȽ«¸ß¯ˮÔüÓÃÈ¥Àë×ÓË®³åÏ´¸É¾»ÒÔÈ¥³ý±íÃæµÄÔÓÖÊ£¬ÔÚ100¡«105 ¡æÏ¸ÉÔï24 h£¬È»ºó½«Æä·ÛË飬¹ý100Ä¿·ÖÑùɸ£¬×°Èë¾ÛÒÒÏ©ËÜÁÏ´ü×Ô·â´üÖб¸ÓÃ.
¡¡¡¡2.2 »¯Ñ§ÊÔ¼Á
¡¡¡¡½«Zn(NO3)2 ¡¤ 6H2O(·ÖÎö´¿)ÈܽâÓÚÈ¥Àë×ÓË®ÖУ¬Åä³É20¡«300 mg ¡¤ L-1µÄÈÜÒº.
¡¡¡¡2.3 ʵÑéÒÇÆ÷
¡¡¡¡µç¸ÐñîºÏµÈÀë×ÓÌåÖÊÆ×·ÖÎöÒÇ(ICP-MS£¬P-5000£¬ÈÕ±¾Hitachi¹«Ë¾)£¬±È±íÃæ»ý²â¶¨ÒÇ(SA 3000£¬ÃÀ¹úBeckman Coulter¹«Ë¾)£¬µç×ÓɨÃèÏÔ΢¾µ(SEM£¬QUANTA400£¬ÃÀ¹úFEI¹«Ë¾)£¬XÉäÏßÑÜÉäÒÇ(XRD£¬D8 ADVANCE£¬µÂ¹úBRUKER¹«Ë¾)£¬Ô×ÓÎüÊÕ·Ö¹â¹â¶È¼Æ(AA-6300C£¬ÈÕ±¾ SHIMADZU¹«Ë¾)£¬ÊýÏԹķç¸ÉÔïÏä(GZX-9140 MBE)£¬ÃÜ·âÊ½ÖÆÑù·ÛËé»ú(GJ-3)£¬»ØÐýÕñµ´Æ÷(HY-B2)£¬Ë®Ô¡ºãÎÂÕñµ´Æ÷(SHA-BA).
¡¡¡¡2.4 ʵÑé·½·¨
¡¡¡¡2.4.1 ¸ß¯ˮ´ãÔüµÄÖØ½ðÊô½þ³öŨ¶È
¡¡¡¡ÒÀ¾Ý¹ú±êGB 5086 2¡ª1997(¹ÌÌå·ÏÎï½þ³ö¶¾ÐÔ½þ³ö·½·¨¡ªË®Æ½Õñµ´·¨)ÖÆµÃ¸ß¯ˮ´ãÔüµÄ½þ³öÒº£¬²â¶¨Â¯Ôü½þ³öÒºÖÐÖØ½ðÊô Cr¡¢Mn¡¢Fe¡¢Co¡¢Ni¡¢Cu¡¢Zn¡¢As¡¢Cd¡¢Pb µÄŨ¶È.
¡¡¡¡2.4.2 Îü¸½µÈÎÂʵÑé
¡¡¡¡×¼È·³ÆÈ¡1.5 gÔ¤´¦ÀíºóµÄ¸ß¯ˮ´ãÔü·ÅÈë´øÓзâ¿ÚĤµÄ250 mL×¶ÐÎÆ¿ÖУ¬ÔÚÿ¸ö×¶ÐÎÆ¿ÖмÓÈ벻ͬŨ¶È(´Ó20µ½300 mg ¡¤ L-1)µÄZn2+ÈÜÒº100 mL£¬²¢ÔÚ²»Í¬Î¶È(298¡¢308ºÍ318 K)¡¢pHΪ7µÄÌõ¼þÏ£¬ÔÚºãÎÂˮԡÕñµ´Æ÷ÉÏÒÔ120 r ¡¤ min-1µÄתËÙ·´Ó¦100 min.
¡¡¡¡2.4.3 Îü¸½ÈÈÁ¦Ñ§ÊµÑé
¡¡¡¡½«1.5 g¸ß¯ˮ´ãÔü¼ÓÈë100 mL Ũ¶ÈΪ100 mg ¡¤ L-1µÄZn2+ÈÜÒºÖУ¬ÔÚ298¡«338 Kζȷ¶Î§ÄÚ£¬pHΪ7µÄÌõ¼þÏÂÒÔ120 r ¡¤ min-1µÄתËÙ·´Ó¦100 min.
¡¡¡¡2.4.4 Îü¸½¶¯Á¦Ñ§ÊµÑé
¡¡¡¡½«1.5 g ¸ß¯ˮ´ãÔü¼ÓÈë100 mL²»Í¬³õʼŨ¶È(50¡¢100¡¢150 mg ¡¤ L-1)µÄZn2+ÈÜÒºÖУ¬ÔÚ²»Í¬Î¶È(298¡¢308ºÍ318 K)¡¢pHΪ7µÄÌõ¼þÏÂÒÔ120 r ¡¤ min-1µÄתËÙ·´Ó¦0¡«300 min.
¡¡¡¡ËùÓÐÑùÆ·ÉÏÇåÒº¾ùͨ¹ýÂËÖ½¹ýÂË£¬ÂËÒºÓÃÓÚ²âÊÔ.ÿ¸öʵÑé×ö3¸öƽÐÐÑù²¢Å䱸¿Õ°×ʵÑ飬ÏÂÎÄÖÐËùÓÐʵÑé½á¹û¶¼ÊdzýÈ¥¿Õ°×ʵÑéÖ®ºóµÄÊýÖµ.Îü¸½Á¿(Qt)ÓÉÏÂʽ½øÐмÆË㣺
¡¡¡¡
¡¡¡¡Ê½ÖУ¬QtΪtʱ¿ÌµÄÎü¸½Á¿(mg ¡¤ g-1);C0ºÍCe·Ö±ðΪÈÜÒº³õʼŨ¶ÈºÍƽºâŨ¶È(mg ¡¤ L-1);VÊÇ·ÏË®Ìå»ý(mL);WΪÎü¸½¼ÁÖÊÁ¿(g).
¡¡¡¡2.5 Îü¸½ÀíÂÛ
¡¡¡¡2.5.1 Îü¸½µÈÎÂÄ£ÐÍ
¡¡¡¡LangmuirÎü¸½µÈÎÂÄ£ÐÍ(ʽ(2))¡¢FreundlichÎü¸½µÈÎÂÄ£ÐÍ(ʽ(4))¡¢TempkinÎü¸½µÈÎÂÄ£ÐÍ(ʽ(5))¡¢Dubinin-Radushkevich(D-R)Îü¸½µÈÎÂÄ£ÐÍ(ʽ(6))·Ö±ðÈçÏÂËùʾ.ÆäÖУ¬ÔÚLangmuirÎü¸½µÈη½³ÌÖж¨ÒåÁËÎÞÁ¿¸ÙµÄ·ÖÀëÒò×Ó(RL)£¬RL¿ÉÒÔ±íʾÎü¸½¹ý³ÌµÄÐÔÖÊ£¬Èç¹ûRL=0£¬Îª·Ç¿ÉÄæÎü¸½;Èç¹û0
¡¡¡¡
¡¡¡¡Ê½ÖУ¬QeΪZn2+Îü¸½Æ½ºâʱµÄÎü¸½Á¿(mg ¡¤ g-1);QmΪZn2+µÄ×î´óÎü¸½Á¿(mg ¡¤ g-1);C0ºÍCe·Ö±ðΪZn2+µÄ³õʼºÍÎü¸½Æ½ºâʱµÄŨ¶È(mg ¡¤ L-1);KLΪLangmuirÎü¸½³£Êý(L ¡¤ mg-1);KF (mg ¡¤ g-1)ºÍn ÊÇFreundlichÄ£Ðͳ£Êý;AºÍB¾ùΪTempkinÎü¸½Ä£Ðͳ£Êý;kÊÇÓëÎü¸½ÄÜÁ¿Ïà¹ØµÄ³£Êý£¬¦ÅÊÇPolanyiÎü¸½ÊÆ;R ÊÇÆøÌå³£Êý(8.314 J ¡¤ mol-1 ¡¤ K-1);T ÊǾø¶ÔζÈ(K);E ÊÇÆ½¾ù×ÔÓÉÎü¸½ÄÜ£¬µ±|E|<8 kJ ¡¤ mol-1£¬ÊôÓÚÎïÀíÎü¸½£¬µ±8<|E|<16 kJ ¡¤ mol-1£¬ÊôÓÚÀë×Ó½»»»£¬µ±|E|>16 kJ ¡¤ mol-1£¬ÊôÓÚ»¯Ñ§Îü¸½.
¡¡¡¡2.5.2 Îü¸½ÈÈÁ¦Ñ§
¡¡¡¡ÎªÁ˲ⶨζȶÔÎü¸½¹ý³ÌµÄÓ°Ï죬ÐèÒª¶ÔÈÈÁ¦Ñ§²ÎÊý¼ª²¼Ë¹×ÔÓÉÄܱä(¦¤G)¡¢ìʱä(¦¤H)¡¢ìرä(¦¤S)Öµ½øÐмÆË㣬¾ßÌ幫ʽÈçÏ£º
¡¡¡¡
¡¡¡¡Ê½ÖУ¬KcΪÎü¸½Æ½ºâ³£Êý(Kc=Qe /Ce)£¬RºÍT µÄº¬ÒåͬÉÏ.
¡¡¡¡2.5.3 Îü¸½¶¯Á¦Ñ§Ä£ÐÍ
¡¡¡¡Î±Ò»¼¶¶¯Á¦Ñ§(Pseudo-first-order)Ä£ÐÍ(ʽ(12))¡¢Î±¶þ¼¶¶¯Á¦Ñ§(Pseudo-second-order)Ä£ÐÍ(ʽ(13))¡¢Ò¶ÅµÎ¬Ææ(Elovich)Ä£ÐÍ(ʽ(14))¡¢ÄÚ²¿Á£×ÓÀ©É¢(Intra-particle diffusion)Ä£ÐÍ(ʽ(15))·Ö±ðÈçÏÂËùʾ£º
¡¡¡¡
¡¡¡¡Ê½ÖУ¬k1Ϊαһ¼¶ËÙÂʳ£Êý(min-1);QtºÍQe·Ö±ðΪZn2+ÔÚtʱ¿ÌºÍƽºâʱµÄÎü¸½Á¿(mg ¡¤ g-1);k2ÊÇα¶þ¼¶ËÙÂʳ£Êý(g ¡¤ min-1 ¡¤ mg-1)£¬´ËÍ⣬³õʼÎü¸½ËÙÂÊh=k2Qe2£¬µ¥Î»Îªmg ¡¤ g-1 ¡¤ min-1;¦ÁºÍ¦Â¾ùΪ³£Êý;kiÊÇ¿ÅÁ£ÄÚÀ©É¢ËÙÂÊϵÊý(mg ¡¤ g-1 ¡¤ min-0.5);C±íʾ½Ø¾à.
¡¡¡¡3 ½á¹ûÓë·ÖÎö
¡¡¡¡3.1 ¸ß¯ˮ´ãÔüµÄÐÔÖÊ
¡¡¡¡ÎªÁ˽ÒʾZn2+Ôڸ߯ˮ´ãÔüÉϵÄÎü¸½»úÀí£¬ÐèÒª²â¶¨¸ß¯ˮ´ãÔüµÄÐÔÖÊ£¬¾ßÌ廯ѧ×é³É¼°ÆäËüÌØÐÔ¼û±í 1.´Ó±í 1¿ÉÒÔ¿´³ö£¬¸ß¯ˮ´ãÔüÖ÷ÒªÓÉCaOºÍSiO2×é³É(¶þÕߵĺ¬Á¿³¬¹ý66%)£¬µ±¸ß¯ÔüͶµ½ÈÜÒºÖУ¬SiO2ÔÚÈÜÒºÖоͻáÒÔ(SiO4)-4µÄÐÎʽ´æÔÚ£¬(SiO4)-4Ϊ¾§Ìå½á¹¹£¬ÕâÖÖÌØÊâµÄ¾§Ìå½á¹¹Äܹ»´Ù½øÀë×Ó½»»»ºÍÎü¸½×÷ÓÃ.´ËÍ⣬Ôڸ߯ˮ´ãÔüÖУ¬Ñõ»¯Îï×ܺ¬Á¿Ïà¶Ô½Ï¸ß£¬ÕâÒ²·´Ó³³öÆä¶Ô½ðÊôÀë×ÓÓнÏÇ¿µÄÇ׺ÍÁ¦.Òò´Ë£¬¸ß¯ˮ´ãÔü¿ÉÒÔ×÷ΪһÖÖÕë¶ÔÖØ½ðÊôÀë×ÓµÄÎü¸½¼Á.
±í1 ¸ß¯ˮ´ãÔüµÄÖ÷Òª»¯Ñ§×é³É¼°ÆäËüÌØÐÔ
¡¡¡¡µç¾µÉ¨Ãè(SEM)½á¹û¼ûͼ 1£¬´ÓͼÖпÉÒÔ¿´³ö£¬¸ß¯Ôü±íÃæ¾ßÓдֲڡ¢ÊèËɺͶà¿×µÄÌØÐÔ.ÕâÖ÷ÒªÊÇÓÉÓڸ߯ÔüÔÚË®´ã¼±ÀäÌõ¼þϲ»Ò×ʹ¿óÎï½á¾§£¬Òò¶øÐγɴóÁ¿µÄ¾ßÓнϸߵÄDZÔÚ»îÐÔµÄÎÞ¶¨ÐλîÐÔ²£Á§½á¹¹»òÍøÂç½á¹¹£¬²»´æÔÚ¹æÔòµÄ¾§Ìå½á¹¹.ÕâÐ©ÌØÐÔ¶ÔZn2+Ôڸ߯ˮ´ãÔüÉϵÄÎü¸½·¢»ÓÁËÖØÒªµÄ×÷ÓÃ.
ͼ1 ¸ß¯ˮ´ãÔüµÄµç¾µÉ¨ÃèͼƬ
¡¡¡¡¸ß¯ˮ´ãÔüµÄXRD·ÖÎö½á¹û¼ûͼ 2£¬¿ÉÒԹ۲쵽¸ß¯ˮ´ãÔüµÄ¿óÎï×é³ÉÖ÷ÒªÓÐCa3(Si3O9).Õû¸öÇøÓò³ÊÏÖ³ö½á¾§ÐԲÑÜÉä·å²»¼âÈñ£¬ÇÒÐÎ³ÉÆ½»¬µÄ»ùÏߣ¬´ú±í×ŵäÐ͵ķǾ§Ì¬½á¹¹.
ͼ2 ¸ß¯ˮ´ãÔüµÄXRDÑÜÉäͼÆ×
¡¡¡¡¸ß¯ˮ´ãÔüÖÐÓпÉÄܺ¬ÓÐÒ»¶¨Á¿µÄÖØ½ðÊô£¬ÎªÁËÈ·±£Æä»·¾³°²È«ÐÔÄÜ£¬ÐèÒª²â¶¨ÊÔÑùÖÐÖØ½ðÊôµÄ½þ³öº¬Á¿£¬½á¹û¼û±í 2.Óɱí 2¿ÉÖª£¬¸ß¯ˮ´ãÔü½þ³öÒºÖÐ
±í2 ¸ß¯ˮ´ãÔü½þ³öÒºÖØ½ðÊôº¬Á¿
¡¡¡¡¼¸ÖÖ³£¼ûÖØ½ðÊôµÄŨ¶È¾ùµÍÓÚ¹ú±êGB 5085.3¡ª 2007(ΣÏÕ·ÏÎï¼ø±ð±ê×¼¡ª½þ³ö¶¾ÐÔ¼ø±ð)Öнþ³öÒº×î¸ßÔÊÐíŨ¶È.Óɴ˿ɼû£¬¸ß¯ˮ´ãÔüµÄÖØ½ðÊô½þ³öŨ¶ÈºÜµÍ£¬¿ÉÒÔ°²È«µØÓÃÓÚ·ÏË®´¦Àíµ±ÖУ¬ÊµÏÖÆä×ÊÔ´»¯ÀûÓõÄÄ¿µÄ.
¡¡¡¡3.2 Îü¸½µÈÎÂÏß
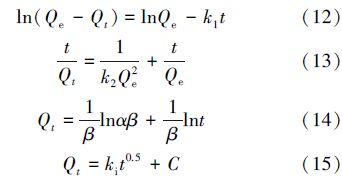
¡¡¡¡ÓÉÎü¸½µÈÎÂÏßµÄÐÎ×´ºÍ±ä»¯¹æÂÉ¿ÉÒÔÁ˽âÎü¸½ÖʺÍÎü¸½¼ÁÖ®¼äÏ໥×÷ÓõÄÇ¿Èõ£¬ÕâÊÇÈçºÎ×îÓÅ»¯Ê¹ÓÃÎü¸½¼ÁµÄ¹Ø¼ü.ͼ 3ΪZn2+Ôڸ߯ˮ´ãÔüÉϵÄÎü¸½µÈÎÂÇúÏß.ÓÉͼ¿ÉÒÔ¿´³ö£¬¸ÃÇúÏßÀ뿪ԵãºóÏò×ÝÖá·½Ïò¸ß¶È͹Æð£¬¸ù¾Ý¶ÔÎü¸½µÈÎÂÇúÏߵķÖÀ࣬¿É½«Ëü¹éÀà ΪµäÐ͵ġ°H¡±Ð͵ÈÎÂÏߣ¬¼´Îü¸½ÖʶÔÎü¸½¼Á¾ßÓм«´óµÄÇ׺ÍÁ¦£¬¼´Ê¹Îü¸½ÖÊÈÜҺŨ¶È¼«µÍ£¬Îü¸½¼ÁÒ²Äܽ«Æä´óÁ¿Îü¸½.ʵÑé¹ý³ÌÖУ¬±£³Ö¸ß¯ˮ´ãÔü¼ÁÁ¿Îª1.5 g ¡¤ L-1£¬¿ÉÒÔ¿´³ö£¬ËæZn2+Ũ¶ÈµÄÔö¼Ó£¬¸ß¯ˮ´ãÔü¶ÔÆäÎü¸½Á¿Ò²ËæÖ®Ôö¼Ó£¬¶øÇÒζÈÔ½¸ß£¬Îü¸½Á¿Ò²Ô½À´Ô½¸ß£¬±íÃ÷Zn2+Ôڸ߯ˮ´ãÔüÉϵÄÎü¸½ÊǸöÎüÈȹý³Ì.
ͼ3 Zn2+Ôڸ߯ˮ´ãÔüÉϵÄÎü¸½µÈÎÂÇúÏß
¡¡¡¡½«µÈÎÂÎü¸½Êý¾ÝÓÃLangmuirÄ£ÐÍ¡¢FreundlichÄ£ÐÍ¡¢Dubinin-Radushkevich(D-R)Ä£Ðͼ°TempkinÄ£ÐͽøÐÐÄ£Ä⣬ÓÃÒÔ½âÊ͸߯ˮ´ãÔü¶ÔZn2+µÄÎü¸½»úÀí£¬ËùµÃµÄµÈÎÂÎü¸½²ÎÊý¼û±í 3.´Ó±í 3¿ÉÒÔ¿´³ö£¬LangmuirÄ£ÐÍÄâºÏϵÊý(0.9858£¼R2£¼0.9882)±ÈÆäËüÄ£Ð͸ߣ¬¿É¼û¸ß¯ˮ´ãÔüÎü¸½Zn2+µÄÎü¸½Æ½ºâÏ߸ü·ûºÏLangmuirÎü¸½µÈη½³Ì£¬ËµÃ÷´ËÎü¸½ÊôÓÚµ¥·Ö×Ó²ãÎü¸½(ÕÅ˫ʥµÈ£¬2011).Ëæ×ÅζȴÓ298 KÉÏÉýµ½318 K£¬Zn2+µÄ×î´óÎü¸½Á¿(Qm)ÓÉ5.57 mg ¡¤ g-1ÉÏÉýµ½6.61 mg ¡¤ g-1£¬Langmuir³£Êý(KL)ËæÖ®ÓÉ0.15 L ¡¤ mg-1ÉÏÉýµ½0.21 L ¡¤ mg-1.Òò´Ë£¬Éý¸ßζÈÓÐÀûÓڸ߯ˮ´ãÔü¶ÔZn2+µÄÎü¸½.·ÖÀëÒò×ÓRLÖµ½éÓÚ0.0134¡«0.2511Ö®¼ä£¬±íÃ÷ÔÚ298¡«318 KµÄζȷ¶Î§ÄÚ£¬¸ß¯ˮ´ãÔü¶ÔZn2+µÄÎü¸½ÎªÓÐÀûÎü¸½¹ý³Ì.
±í3 Zn2+Ôڸ߯ˮ´ãÔüÉϵÄÎü¸½µÈβÎÊý
¡¡¡¡ÔÚFreundlich·½³ÌÖУ¬KFËæ×ÅζȵÄÉý¸ß¶øÔö´ó£¬nÖµ½éÓÚ1¡«10Ö®¼ä£¬ËµÃ÷Zn2+Ôڸ߯ˮ´ãÔüÎü¸½¼ÁÉÏÊÇÏò×ÅÓÐÀûÓÚÎü¸½µÄ·½Ïò½øÐÐ.¶ÔÓÚD-RÄ£ÐÍ£¬µ±Î¶ȴÓ298 KÉÏÉýµ½318 K£¬×î´óÎü¸½Á¿(Qm)·Ö±ðΪ9.27¡¢10.46ºÍ10.38 mg ¡¤ g-1£¬ÕâÓëʵÑéµÃµ½µÄÖµ´æÔÚÒ»¶¨µÄ²îÒ죬ËùÒÔ£¬´ÓD-RµÈÎÂʽµÃµ½µÄÀíÂÛ×î´óÎü¸½Á¿±»ÈÏΪ²»¹»×¼È·.Ëæ×Åζȵı仯£¬Îü¸½ÄÜÁ¿E·Ö±ðΪ-14.74¡¢-14.43¼°-15.81 kJ ¡¤ mol-1.Îü¸½ÄÜÁ¿µÄ¾ø¶ÔÖµ|E|¾ùλÓÚ8¡«16 kJ ¡¤ mol-1Ö®¼ä£¬±íÃ÷¸ß¯ˮ´ãÔü¶ÔZn2+µÄÎü¸½»úÖÆÒÔ»¯Ñ§·´Ó¦ÖеÄÀë×Ó½»»»ÎªÖ÷.TempkinÄ£ÐÍÊÊÓÃÓÚÎü¸½ÈÈÊÇËæ±íÃæ¸²¸Ç¶È±ä»¯¶øÏßÐÔϽµµÄ»¯Ñ§Îü¸½£¬´Ó¿É¾öϵÊý(0.9575 ¡¡¡¡ÔÚ298¡¢308¡¢318¡¢328¼°338 KÏ£¬Ñо¿Î¶ȶԸ߯ˮ´ãÔüÎü¸½Zn2+µÄÓ°Ï죬¸÷Îü¸½ÈÈÁ¦Ñ§²ÎÊýÈ缪²¼Ë¹×ÔÓÉÄܱä(¦¤G)¡¢ìʱä(¦¤H)¡¢ìرä(¦¤S)Öµ¼û±í 4.½á¹û±íÃ÷£¬Ëæ×ÅζȵÄÉý¸ß£¬lnKcµÄÖµÒ²ËæÖ®Ôö´ó£¬Õâ˵Ã÷ζÈÔ½¸ß£¬¸ß¯ˮ´ãÔüÎü¸½µÄZn2+Ô½¶à£¬Õâ¿ÉÄÜÊÇÓÉÓÚËæ×ÅζȵÄÉý¸ß£¬Zn2+ÔÚÈÜÒºÖеÄÁ÷¶¯ÐÔÔöÇ¿£¬ÕâÑùÓÐÀûÓÚ¿Ë·þλ×裬¼ÓËÙÎü¸½µÄ½øÐУ¬´Ó¶øÔö¼ÓÁËÎü¸½¼ÁµÄÎü¸½ÈÝÁ¿.¦¤GÖµËæ×ÅζȵÄÉý¸ß¶øÖð½¥½µµÍ£¬ËµÃ÷ÔÚ298¡«338 KµÄζȷ¶Î§Äڸ߯ˮ´ãÔü¶ÔZn2+µÄÎü¸½·´Ó¦µÄ×Ô·¢ÐÔÓëζȳÉÕý±È£¬Î¶ÈÔ½¸ß£¬×Ô·¢ÐÔԽǿ£¬ÕâÓëÎü¸½µÈÎÂÏ߲ⶨµÄ½á¹ûÊÇÒ»ÖµÄ.Ò»°ãÇé¿öÏ£¬Îü¸½ÊÇ·ÅÈȹý³Ì£¬¶ø½âÎüÊÇÎüÈȹý³Ì£¬ÔÚ±¾´ÎÑо¿ÖЦ¤HΪÕýÖµ£¬ËµÃ÷Îü¸½¹ý³ÌΪÎüÈÈ·´Ó¦£¬¸ßÎÂÓÐÀûÓÚÎü¸½·´Ó¦µÄ½øÐУ¬Õâ¿ÉÄÜÊÇÓÉÓڸ߯ˮ´ãÔüÎü¸½Zn2+µÄͬʱҲÐèÒª½âÎü¶à¸öË®·Ö×Ó£¬¶ø½âÎüË®·Ö×ÓÐèÒªÎüÊÕµÄÈÈÁ¿´óÓÚÎü¸½Zn2+ËùÊͷŵÄÈÈÁ¿£¬×îÖÕµ¼ÖÂÕûÌå³ÊÏÖÎüÈȹý³Ì.Ò»°ãÀ´Ëµ£¬µ±0<|H|<42 kJ ¡¤ mol-1£¬ÊôÓÚÎïÀíÎü¸½;|H|>42 kJ ¡¤ mol-1£¬ÊôÓÚ»¯Ñ§Îü¸½.±¾Ñо¿ÖЦ¤HΪ52.45 kJ ¡¤ mol-1£¬ÊôÓÚ»¯Ñ§Îü¸½£¬ÕâÓëD-RµÈÎÂÄ£Ðͽá¹ûÒ»ÖÂ. ìØ±äÊÇÈÜÖÊ·Ö×ÓÎü¸½µÄìØ¼õ¹ý³ÌºÍÈܼÁ·Ö×Ó½âÎüµÄìØÔö¹ý³ÌµÄ×ܺÍ.±¾Ñо¿ÖУ¬¦¤SֵΪ167.52 J ¡¤ mol-1 ¡¤ K-1£¬ÊÇÒ»¸öÕýÖµ£¬ËµÃ÷¸ÃÎü¸½ÎªìØÔöµÄÎü¸½£¬Ë®·Ö×ÓÍѸ½ÒýÆðµÄìØÔö³¬¹ýÁËZn2+Îü¸½ÒýÆðµÄìØ¼õ£¬¹ÌÒºÌåϵÖлìÂҶȱä´ó£¬ÕâÓë¶Ô¦¤HµÄÑо¿½á¹ûÏàÒ»ÖÂ. ±í4 Zn2+Ôڸ߯ˮ´ãÔüÉϵÄÎü¸½ÈÈÁ¦Ñ§²ÎÊý ¡¡¡¡3.4 Îü¸½¶¯Á¦Ñ§ ¡¡¡¡ÎªÑо¿½Ó´¥Ê±¼ä¶ÔZn2+ÔÚ²»Í¬Ìõ¼þÏÂÎü¸½µÄÓ°Ïì½øÐÐÁËÎü¸½¶¯Á¦Ñ§ÊµÑ飬²»Í¬Å¨¶ÈÏÂZn2+µÄÎü¸½Á¿¼ûͼ 4.½á¹û±íÃ÷£¬ÔÚ298¡¢308¡¢318 KζÈÌõ¼þÏ£¬¸÷Ũ¶ÈZn2+Ëæ×ÅÎü¸½Ê±¼äµÄÑÓ³¤£¬Îü¸½Á¿³ÊÏÖ³öÏÈÔö¼Ó£¬È»ºó´óÔ¼100 minºó£¬·ÏÒºÖÐZn2+µÄÎü¸½Á¿Öð½¥Ç÷ÓÚÆ½ÎÈ£¬×îÖÕ´ïµ½Îü¸½Æ½ºâ.ÕâÊÇÒòΪ³õʼ½×¶Î£¬¸ß¯ˮ´ãÔü±íÃæµÄ»îÐÔλµã½Ï¶à£¬Å¨¶ÈÌݶȽϴ󣬴«ÖʵÄÍÆ¶¯Á¦Ò²ÏàÓ¦½Ï´ó£¬Ëæ×Åʱ¼äµÄÑÓ³¤£¬Zn2+Ũ¶È±äС£¬´«ÖÊÍÆ¶¯Á¦ÏàÓ¦±äС£¬Òò´Ë£¬Îü¸½·´Ó¦Ç÷ÓÚ»ºÂý.´ÓͼÖл¹¿ÉÒÔ¿´³ö£¬Ëæ×Å·ÏË®³õʼŨ¶È´Ó50 mg ¡¤ L-1Ôö¼Óµ½150 mg ¡¤ L-1£¬Zn2+µÄÎü¸½Á¿Ò²ËæÖ®Öð½¥Ôö´ó.Õâ¿ÉÄÜÊÇÒòΪ³õʼŨ¶ÈÔ½¸ß£¬Ô½ÈÝÒ×Âú×ãÎü¸½¶¯Á¦Ñ§Ìõ¼þ£¬Ò²Ô½ÓÐÀûÓÚÎü¸½·´Ó¦µÄ½øÐУ¬´Ó¶øµ¼ÖÂZn2+µÄÎü¸½Á¿Ò²¾ÍÔ½¸ß. ͼ4 ²»Í¬³õʼŨ¶ÈϽӴ¥Ê±¼ä¶ÔZn2+Ôڸ߯ˮ´ãÔüÉÏÎü¸½µÄÓ°Ïì(a.298 K£¬b.308 K£¬c.318 K) ¡¡¡¡Í¼ 5Õ¹ÏÖÁ˳õʼŨ¶È·Ö±ðΪ50¡¢100¡¢150 mg ¡¤ L-1µÄZn2+ÈÜÒºÔÚ²»Í¬Î¶È(298¡¢308ºÍ318 K)ϵÄÎü¸½¹ý³Ì.½á¹û±íÃ÷£¬¸÷ζÈÌõ¼þÏ£¬¸ß¯ˮ´ãÔü¶ÔZn2+µÄÎü¸½Á¿ÔÚ0¡«100 minÄÚÓÐÏà¶Ô½ÏÃ÷ÏÔµÄÉý¸ß£¬100 minÒÔºóÉý¸ß·ù¶È²»´ó£¬Ç÷ÓÚÆ½ºâ.ÔÚ³õʼŨ¶ÈÏàͬµÄÇé¿öÏ£¬Îü¸½Á¿¾ù³ÊÏÖ³öÔÚ318 KʱÏÔÖø¸ßÓÚÆäËüζȵÄÇ÷ÊÆ£¬Õâ±íÃ÷Îü¸½³Ì¶ÈÊÇËæ×ÅζȵÄÉý¸ß¶øÔö¼Ó£¬±íÃ÷¸Ã¹ý³ÌÊÇÎüÈȵÄ. ͼ5 ²»Í¬Î¶ÈϽӴ¥Ê±¼ä¶ÔZn2+Ôڸ߯ˮ´ãÔüÉÏÎü¸½µÄÓ°Ïì(a.50 mg ¡¤ L-1£¬b.100 mg ¡¤ L-1£¬c.150 mg ¡¤ L-1) ¡¡¡¡ÎªÁ˸üºÃµØÌ½¾¿Îü¸½ÌØÕ÷£¬±¾ÎIJÉÓÃαһ¼¶¶¯Á¦Ñ§(Pseudo-first-order)¡¢Î±¶þ¼¶¶¯Á¦Ñ§(Pseudo-second-order)¡¢Ò¶ÅµÎ¬Ææ(Elovich)ºÍÄÚ²¿Á£×ÓÀ©É¢(Intra-particle diffusion)½øÐÐÏßÐÔÄâºÏ£¬ËùµÃ¶¯Á¦Ñ§²ÎÊýÖµ¼û±í 5.µ¥¾ÍÕâЩģÐÍËæ×ÅZn2+Ũ¶È´Ó50 mg ¡¤ L-1µ½150 mg ¡¤ L-1µÄ¿É¾öϵÊý¶øÂÛ£¬¶þ¼¶¶¯Á¦Ñ§Ä£ÐÍÄâºÏЧ¹û×îºÃ£¬¶øÇÒ¼ÆËãµÃµ½µÄQe£¬calÒ²¸ü½Ó½üʵÑéÖвâµÃµÄQe£¬exp.Ö»ÊÇÒòΪα¶þ¼¶¶¯Á¦Ñ§·½³ÌÓëαһ¼¶¶¯Á¦Ñ§·½³ÌÏà±ÈÔÚ×÷ͼÄâºÏ¹ý³ÌÖв»ÐèÒªÏȲâµÃƽºâÎü¸½Á¿£¬ÕâÑù¿ÉÒÔ¼õÉÙÎó²î(ÔÀÇÕÑ޵ȣ¬2007).ÁíÍ⣬α¶þ¼¶¶¯Á¦Ñ§Ä£ÐͰüº¬ÁËZn2+ÓÉÈÜÒº¾ÒºÄ¤À©É¢µ½¸ß¯ˮ´ãÔü±íÃæ£¬È»ºóZn2+ÔÚË®´ãÔüÍâ±íÃæºÍÄÚ±íÃæÎü¸½Î»µã·¢ÉúÎü¸½·´Ó¦£¬ÒÔ¼°Zn2+Ôڸ߯ˮ´ãÔü¿ÅÁ£ÄÚ²¿µÄÀ©É¢·´Ó¦µÄÕû¸ö¹ý³Ì£¬ËùÒÔÄܹ»¸üÎªÕæÊµµØ·´Ó³Zn2+Ôڸ߯ˮ´ãÔüÉϵÄÎü¸½»úÀí.ÒòΪα¶þ¼¶¶¯Á¦Ñ§·½³ÌÈÏΪӰÏìÎü¸½µÄÖ÷ÒªÒòËØÊÇ»¯Ñ§¼üµÄÐγɣ¬ËùÒÔÈÏΪ¸ß¯ˮ´ãÔü¶ÔZn2+µÄÎü¸½ÒÔ»¯Ñ§Îü¸½ÎªÖ÷.´Ó±í 5»¹¿ÉÒÔ¿´³ö£¬Í¬Ò»Î¶ÈÏ£¬Î±¶þ¼¶Îü¸½³£Êýk2Ëæ³õʼŨ¶ÈµÄÔö´ó¶øÖð½¥¼õС£¬ËµÃ÷k2ÖµµÄ´óСȡ¾öÓÚZn2+µÄ³õʼŨ¶ÈÖµ.Òò´Ë£¬Ò²¾ÍÒâζ×ÅZn2+³õʼŨ¶È¸ßµÄ·´Ó¦Ïà¶ÔÓÚµÍŨ¶ÈµÄÐèÒª½Ï³¤Ê±¼äÒÔ´ïµ½·´Ó¦Æ½ºâ. ±í5 Zn2+Ôڸ߯ˮ´ãÔüÉϵÄÎü¸½¶¯Á¦Ñ§²ÎÊý ¡¡¡¡ÒÀ¾Ýα¶þ¼¶¶¯Á¦Ñ§Ä£ÐͼÆËãµÃ³ök2Öµ£¬ÀûÓÃArrhenius¹«Ê½£ºk2=Ae-(Ea/RT)¼ÆËã»î»¯ÄÜEa£¬ÆäÖУ¬RÊÇÀíÏëÆøÌå³£Êý£¬TΪζȣ¬AΪ³£Êý£¬ÒÔlnk2 ¶Ô1/T×÷ͼ£¬¸ù¾ÝбÂʼÆËã»î»¯ÄÜΪ61.85 kJ ¡¤ mol-1.Ò»°ãÎïÀíÎü¸½µÄ»î»¯ÄÜΪ5¡«40 kJ ¡¤ mol-1£¬¶ø»¯Ñ§Îü¸½µÄ»î»¯ÄÜÒ»°ãΪ40¡«800 kJ ¡¤ mol-1£¬ÓɼÆËã½á¹û¿ÉÖª£¬¸ß¯ˮ´ãÔüÎü¸½Zn2+ÊôÓÚ»¯Ñ§Îü¸½.¼Ó¶øÖð½¥±ä´ó£¬±íÃ÷Zn2+³õʼŨ¶ÈÔ½´ó£¬ÆäÔڸ߯ˮ´ãÔü¿ÅÁ£ÄÚ²¿Ô½ÈÝÒ×À©É¢£¬Õâ¿ÉÄÜÊÇÒòΪŨ¶ÈÔ½´ó£¬ÓÉŨ¶ÈÌݶÈÒýÆðµÄÍÆ¶¯Á¦Ô½´óÔì³ÉµÄ.ÓÉÊý¾ÝµÄ·ÖÎöµÃÖª£¬½Ø¾àC¶¼²»ÎªÁ㣬Õâ˵Ã÷ÄâºÏÇúÏß¶¼Ã»Óо¹ýԵ㣬Ҳ¾ÍÊÇ˵¿ÅÁ£ÄÚÀ©É¢ËÙÂʲ»ÊÇ¿ØÖƸ߯ˮ´ãÔüÎü¸½Zn2+µÄΨһËÙÂÊ£¬¶øÊÇÓÉĤÀ©É¢ºÍ¿ÅÁ£ÄÚÀ©É¢µÄËÙÂʹ²Í¬¾ö¶¨µÄ.Elovich·½³ÌµÄ¿É¾öϵÊýÔÚ0.9162¡«0.9828Ö®¼ä£¬ÄâºÏ³Ì¶È½Ï¸ß£¬Ëæ×ÅŨ¶ÈºÍζȵı仯£¬ÄâºÏ³£Êý¶¼Óв¨¶¯£¬µ«±ä»¯²»ÊǺܹæÂÉ. ¡¡¡¡4 ½áÂÛ ¡¡¡¡1)¸ß¯ˮ´ãÔüÎü¸½Zn2+µÄÎü¸½µÈÎÂÏß·ûºÏLangmuirÄ£ÐÍ£¬Ö÷ҪΪµ¥·Ö×Ó²ãÎü¸½.D-RÎü¸½Ä£Ðͽá¹û±íÃ÷£¬¸ß¯ˮ´ãÔü¶ÔZn2+µÄÎü¸½»úÖÆÒÔ»¯Ñ§·´Ó¦ÖеÄÀë×Ó½»»»ÎªÖ÷. ¡¡¡¡2)ÈÈÁ¦Ñ§Ñо¿±íÃ÷£¬¸ß¯ˮ´ãÔü¶ÔZn2+Îü¸½µÄ×Ô·¢ÐÔÓëζȳÉÕý±È£¬ÊÇÒ»¸öÎüÈÈìØÔö¹ý³Ì£¬¶øÇÒ|H|>42 kJ ¡¤ mol-1£¬¹ÊÊôÓÚ»¯Ñ§Îü¸½. ¡¡¡¡3)Ëæ×ŽӴ¥Ê±¼äµÄÑÓ³¤£¬³õʼŨ¶ÈÔ½´ó£¬·´Ó¦Î¶ÈÔ½¸ß£¬¸ß¯ˮ´ãÔü¶ÔZn2+µÄÎü¸½Á¿Ô½´ó.Îü¸½¶¯Á¦Ñ§·ûºÏα¶þ¼¶¶¯Á¦Ñ§Ä£ÐÍ£¬·´Ó¦»î»¯ÄÜΪ61.85 kJ ¡¤ mol-1£¬ÊôÓÚ»¯Ñ§Îü¸½. ¡¡¡¡ÒÔÉÏÑо¿±íÃ÷£¬¸ß¯ˮ´ãÔü×÷ΪÁ¶Ìú³§µÄ·ÏÆúÎ¿ÉÒÔ×÷ΪһÖֵͳɱ¾Îü¸½¼Á£¬ÔÚ´¦Àí·ÏË®ÖеÄÖØ½ðÊôÎÛȾÎï·½Ãæ¾ßÓнϺõÄÈ¥³ýЧ¹û£¬²¢¾ßÓÐDZÔÚµÄÑо¿¼ÛÖµ.µ«»¹ÐèÒª½øÒ»²½µÄÑо¿À´»ñµÃ¸ü¶à¹ØÓڸ߯ˮ´ãÔüºÍÖØ½ðÊôÎÛȾÎïÏ໥×÷ÓõÄÀíÂÛ»ù´¡ÖªÊ¶.
















