近年来,随着石油化工的发展,含油废水的污染严重,成为量大面广的污染源。传统的含油废水处理方法包括机械分离、凝聚沉降、活性污泥处理等。这些传统方法能部分地除去含油废水中的游离油和乳化油,但其对溶解油的净化不彻底,且其成本高,回收利用困难。膜技术作为一门新的污水处理技术,因其能重复循环利用,易于规模化,且能净化处理溶解油,因此在含油废水的深度处理中得到广泛的应用。
由于膜的亲水性差,在含油废水的净化处理过程中,膜容易受含油废水中有机物的污染,且在运行中,膜容易被压实,从而导致膜通量的下降。因此,提高膜的亲水性能、抗压实性能和抗污染性能是解决膜在深度处理含油废水应用中的关键因素。目前,由于无机氧化粒子具有良好的亲水性能,且粒子强度大,很多的研究者们将无机氧化粒子填充到有机膜中,从而制备出无机/有机杂化膜,使其拥有无机膜和有机膜的共同优点,从而对有机膜进行改性,提高其亲水性能、抗压实性能和抗污染性能。因此,实验首先以十六烷基三甲基溴化铵(CTAB)为模板剂,通过溶胶凝胶法制备介孔Al2O3;然后将其添加到PVDF中,通过溶液纺丝制备介孔Al2O3/PVDF复合中空纤维膜;最后研究其亲水性能,抗压实性能及抗污染性能。
1实验部分
1.1实验材料
所有试剂都是分析纯级别并且使用前没有进行任何处理。无水乙醇、硝酸铝〔Al(NO3)3•9H2O〕、碳酸铵〔(NH3)2CO3〕购自天津市光复科技发展有限公司;十六烷基三甲基溴化铵(CTAB)购自天津市光复精细化工研究所;聚偏氟乙烯(PVDF)购自美国苏威公司;聚乙烯吡咯烷酮(PVP-K30)购自天津天泰精细化学品公司;N,N-二甲基乙酰胺(DMAC)购自天津市大茂化学仪器供应站。
1.2介孔Al2O3的制备
介孔Al2O3的制备采用溶胶-凝胶法〔4〕。以硝酸铝为铝源,CTAB为模板剂,碳酸铵为沉淀剂,简略的实验步骤如下:(1)加入0.46g的CTAB于60mL的去离子水中,在温度为25℃下强力搅拌1h;(2)加入2.82g硝酸铝,继续搅拌30min;(3)以一定的速度加入碳酸铵沉淀剂至pH为9~10,加入结束后,继续搅拌1h,得到白色透明的溶胶;(4)恒温静置10h,离心,洗涤,干燥;(5)在550℃温度下煅烧,即得到介孔Al2O3纳米粒子。
1.3介孔Al2O3/PVDF复合中空纤维膜的制备
介孔Al2O3/PVDF复合中空纤维膜以PVDF为聚合物,PVP-K30为致孔剂,DMAC为溶剂,介孔Al2O3为无机添加粒子,采用溶液纺丝法制备。简略的实验步骤如下:(1)将0.8g的介孔Al2O3加入到32mL的DMAC中,60℃恒温超声搅拌1h;(2)将6g的PVDF粉末加入到上述混合液中,继续恒温超声搅拌2h;(3)将1.8g的致孔剂PVP-K30加入到上述混合液中,超声搅拌1h;(4)停止搅拌,静止脱泡24h,得到铸膜液;(5)将铸膜液倒入干-湿法纺丝装置中,利用压力使其从喷丝头挤出,经过凝胶槽,沉淀凝胶,淋洗和水浸泡一段时间后,即得到复合中空纤维膜。采用同样的方法制备出纯PVDF中空纤维膜。
1.4含油废水的配制
将一定量的机油(SJ10W-30)溶于少量的乙醇中,然后将其转移到含有去离子水的烧杯中,以300r/min的搅拌速度机械搅拌60min,使其形成稳定均一的混合液,即得到一定浓度的含油废水。实验采用150mg/L的含油废水来测试介孔Al2O3/PVDF复合中空纤维膜的通量和截留率。
1.5油浓度的测定
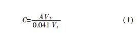
量取一定体积的含油废水,转移至分液漏斗中,向分液漏斗中滴加少量浓盐酸调节待测液的pH至酸性。量取一定体积的环己烷倒入分液漏斗中,充分振荡使萃取充分,取下层清液进行测试。以环己烷作为参比液,在262nm波长下,用紫外分光光度计测试环己烷萃取液的吸光度,计算其含油质量浓度:
式中:C——待测液油的质量浓度,mg/L;
A——环己烷萃取液的吸光度;
V1——待测液的体积,L;
V2——环己烷萃取液的体积,L。
1.6膜的表征
1.6.1SEM表征
采用喷金法对介孔Al2O3进行制样,用日本日立公司的S-4800型扫描电镜观察其形貌结构。取干燥好的中空纤维膜置于液氮中脆断,将其固定在粘有导电胶的样品台上,喷金干燥后,用日本日立公司的S-4800型扫描电镜观察膜表面及断面的形貌。
1.6.2傅里叶红外光谱(FT-IR)表征
采用美国Nicolet公司的Avatar370型的傅里叶红外光谱仪对中空纤维膜进行测试,设定扫描波数范围为4000~400cm-1。
1.6.3接触角表征
采用德国Dataphysics公司的OCA20型接触角测量仪测量膜外表面的水接触角,测试条件为:室温(25±1)℃,水滴体积为1μL。
1.7膜的性能测试
1.7.1膜通量的测试
在压力0.1MPa和温度25℃下,采用实验室自制的通量测试仪测试PVDF中空纤维膜的纯水(或含油废水)通量,计算公式如下:
式中:J——膜的通量,L/(m2•h);
V——透过膜的料液体积,L;
A——膜的有效面积,m2;
t——测试时间,h。
1.7.2膜的抗压实性能
通过计算膜的纯水通量下降率来反映膜的抗压实性能〔6〕,因为纯水可以排除膜的污染对通量下降造成的影响,其计算公式如下:
式中:FD——膜的纯水通量下降率,%;
J0——膜的纯水初始通量,L/(m2•h);
Jt——膜的纯水稳定通量,L/(m2•h)。
1.7.3膜的抗污染性能
通过对比膜处理纯水和含油废水的通量,计算含油废水的稳定通量下降率来反映膜的抗污染性能〔7〕,其计算公式如下:
式中:M——膜的含油废水稳定通量下降率,%;
Jt′——膜的含油废水稳定通量,L/(m2•h)。
1.7.4膜的纯水稳定通量恢复率测定
膜的纯水稳定通量恢复率〔8〕的计算公式如下:
式中:Hν——膜的纯水稳定通量恢复率,%;
Jtc——污染的膜被反冲洗后(反冲洗时间为15min)的纯水稳定通量,L/(m2•h)。
1.7.5膜截留率的测定
介孔Al2O3/PVDF复合中空纤维膜处理含油废水的截留率的计算公式如下(测试条件:压力为0.1MPa,温度为25℃):
式中:R——膜的含油废水截留率,%;
C0——进料液油的质量浓度,mg/L;
C——透过液油的质量浓度,mg/L。
2结果与讨论
2.1介孔Al2O3的SEM表征
通过观察制备出的介孔Al2O3的SEM图发现:介孔Al2O3具有良好的球形度,介孔Al2O3的粒径为100nm左右,粒径比较小,具有很大的比表面积,从而能够在PVDF膜中均匀地分散,提高与PVDF链的相容性,因此可以很好地改性介孔Al2O3/PVDF复合中空纤维膜的性能,包括亲水性能,抗压实性能和抗污染性能。
2.2介孔Al2O3/PVDF复合中空纤维膜的SEM
通过观察介孔Al2O3/PVDF复合中空纤维膜的表面和断面的SEM发现:膜的断面比较疏松,这是水传输的通道,且可以看出中空纤维的内径为400μm左右,外径为620μm左右。中空纤维的表面很光滑,该层对含油废水中的油分子具有截留作用。因此,成功地制备介孔Al2O3/PVDF复合中空纤维膜。
2.3中空纤维膜的FT-IR表征
介孔Al2O3/PVDF复合中空纤维膜和纯PVDF中空纤维膜的傅里叶红外光谱(FT-IR)如图1所示。
由图1可见,膜材料PVDF中,存在大量的F—C—F键,因此在1230cm-1都出现了比较宽的强吸收峰。在波数为3400、1650cm-1处都出现了吸收峰,这是—OH的伸缩振动峰。同时在波数为2968、2930cm-1为—CH2—的伸缩振动峰;在波数为1395cm-1处为C—H的变形振动峰;在波数为840cm-1处为PVDF的特征吸收峰〔9〕。此外,介孔Al2O3/PVDF复合中空纤维膜在波数为778、621cm-1处出现了吸收峰,这个为Al—O的振动峰〔10〕,而纯PVDF中空纤维膜在这个波数处没有出现此吸收峰。因此介孔Al2O3成功地添加到PVDF中,制备出介孔Al2O3/PVDF复合中空纤维膜。
2.4介孔Al2O3/PVDF复合中空纤维膜的亲水性分析
通过研究纯PVDF膜和介孔Al2O3/PVDF复合中空纤维膜的接触角发现:纯PVDF膜的接触角为67.4°,而介孔Al2O3/PVDF复合中空纤维膜的接触角为33.9°。与纯PVDF膜相比,介孔Al2O3/PVDF复合中空纤维膜的接触角减小了,其亲水性能提高了,这是因为介孔Al2O3是亲水性的无机粒子,表面含有大量的羟基,并均匀分散在PVDF膜中,从而提高了复合中空纤维膜的亲水性能。
2.5中空纤维膜的抗压实性能分析
通过测试中空纤维膜的纯水的通量下降率作为评价中空纤维膜的抗压实性能的指标。介孔Al2O3/PVDF复合中空纤维膜和纯PVDF中空纤维膜的纯水通量如图2所示。
由图2可见,随着时间的延长,两种膜的通量都会出现下降,并在0.5h后通量达到稳定,这是因为随着时间的推移,膜发生机械变形而逐渐被压实,由此导致过膜阻力的增加,其渐渐抵消了压力差产生的推动力,所以膜通量最终达到稳定。而介孔Al2O3/PVDF复合中空纤维膜的纯水通量大于纯PVDF中空纤维膜的通量,这是因为介孔Al2O3的添加,提高了复合膜的亲水性能。
研究中空纤维膜的纯水通量下降率发现,纯PVDF膜的纯水通量下降率为31.2%,而介孔Al2O3/PVDF复合中空纤维膜的纯水通量下降率为24.7%,这说明介孔Al2O3的添加,提高了PVDF复合中空纤维膜的抗压实性能。
2.6中空纤维膜的抗污染性能分析
通过测试中空纤维膜在处理含油废水的稳定通量下降率作为评价中空纤维膜的抗污染性能的指标,中空纤维膜处理含油废水的通量如图3所示。
由图3可见,在0~0.5h时,介孔Al2O3/PVDF中空纤维膜的含油废水的通量与时间关系曲线的斜率(负值)要大,表明其通量下降要缓慢,这是因为介孔Al2O3提高了介孔Al2O3/PVDF中空纤维膜的抗污染性能。研究中空纤维膜处理含油废水的通量下降率发现:与纯水的稳定通量相比较,介孔Al2O3/PVDF中空纤维膜的含油废水的稳定通量下降率为27.51%,而纯PVDF中空纤维膜的含油废水的稳定通量下降率为47.05%,这是因为介孔Al2O3的添加,提高了PVDF复合膜的亲水性,使油类有机污染物不易附着在膜的表面和堵塞膜的孔道,从而提高了其抗污染性能,减小了PVDF膜处理含油废水的稳定通量下降率。。
2.7中空纤维膜的纯水稳定通量恢复率
为了进一步考察介孔Al2O3/PVDF复合中空纤维膜的抗污染性能,考察中空纤维膜在处理含油废水后经过反冲洗后纯水的稳定通量恢复率,反冲洗时间为15min,结果如表1所示。
由表1可见,介孔Al2O3的添加,使中空纤维膜的纯水稳定通量恢复率提高了15.8%,这再次验证了介孔Al2O3的添加,提高了PVDF复合中空纤维膜的抗污染性能,既可以使膜的使用寿命延长,又可以达到PVDF复合中空纤维膜循环使用的目的。
2.8中空纤维膜的截留率
介孔Al2O3/PVDF复合中空纤维膜和纯PVDF中空纤维膜对含油废水的截留率如图4所示。
由图4可见,0~0.5h时,两者的截留率逐渐增大,在0.5h之后达到稳定,其变化趋势与膜的通量趋势一样。这是因为膜在运行的过程中,含油废水中的油会吸附在膜表面,虽然增加的一层传质阻力,减小膜的通量;但是,这些污染物会在膜表面形成一层很好的过滤介质,从而使得膜的截留率提高。同时还可以看出,介孔Al2O3/PVDF复合中空纤维膜在稳定时候的截留率为92.5%,纯PVDF中空纤维膜的截留率为85.6%,由此可知,介孔Al2O3的添加,在提高膜的亲水性和膜通量的同时,也提高了复合中空纤维膜对油的截留率。
3结论
在以CTAB为模板剂,硝酸铝为铝源,碳酸铵为沉淀剂,通过溶胶凝胶法制备了介孔Al2O3。以PVDF为聚合物,PVP-K30为致孔剂,DMAC为溶剂,介孔Al2O3为无机添加粒子,采用溶液纺丝法制备出介孔Al2O3/PVDF复合中空纤维膜。通过对介孔Al2O3/PVDF复合中空纤维膜SEM和FT-IR的表征,其结果表明成功地制备出介孔Al2O3/PVDF复合中空纤维膜。通过测试介孔Al2O3/PVDF复合中空纤维膜的接触角以及处理纯水和含油废水的通量,结果显示其具有良好的亲水性,抗压实性能和抗污染性能。最后还测试了介孔Al2O3/PVDF复合中空纤维膜处理含油废水的截留率,表明具有很高的截留率及不错的净化效果。因此,介孔Al2O3/PVDF复合中空纤维膜将在水处理和净化领域具有广阔的应用前景。














