1 引言
活性污泥法是污水处理厂最为常用的处理工艺之一,而沉降过程的泥水分离是工艺处理过程中的重要处理单元.研究发现,活性污泥沉降性恶化会造成污泥易流失、出水悬浮物增加、污水处理能力降低等问题,一旦发生污泥沉降性恶化需相当长的时间才能恢复正常.在实际应用中以污泥容积指数(SVI)来表征活性污泥沉降性,但SVI仅能从宏观上评价活性污泥,而对于活性污泥的微观特征却难以表征.一般认为影响活性污泥沉降性的微观因素主要有:丝状菌、胞外多聚物(EPS)、污泥絮体表面性质和形态结构、絮体大小分布特点和污泥浓度等.这些微观因素的综合作用决定了活性污泥的宏观沉降性能.其中,污泥絮体形态学的分析容易转化为工程技术,因此,已有学者提出利用图像分析技术从微观层面对活性污泥沉降性问题进行研究,建立污水处理系统中宏观参数和微观特性的相互联系,从微观角度解释污泥沉降性变化的原因.
由于污泥絮体的结构、形态、大小具有多样性,且用于表征污泥特性的微观参数较为多元化,各参数表示的信息重叠部分较多,故污泥絮体微观表征具有一定的复杂性.应用主成分分析(PCA)方法讨论了絮体形状和污泥沉降性能的关系,结果表明,利用PCA方法可很好地对众多絮体形状参数的数据集进行降维,为解决污泥絮体微观表征问题提供了思路,并可结合多元线性回归方法对污泥沉降性进行预测.Mesquita等应用PCA方法,根据因子得分分布特点识别活性污泥系统运行的异常情况,包括丝状菌膨胀、针状絮体、粘性膨胀,并采用了PCA和偏最小二乘回归(PLS)方法对混合液悬浮固体浓度(MLSS)和SVI进行在线预测,认为污泥沉降性与游离丝状菌含量、聚体大小、聚体形状有较为显著的相关性,明确了以活性污泥微观参数表征宏观特性的可行性.
但目前研究采用的模型较为复杂、结果不够直观,并且没有考虑到絮体密实性和污泥浓度的影响.针对以上存在的问题,本文通过实验室规模反应器采集样本,从絮体形状、大小、密实性等微观特征着手,借助PCA方法对絮体参数进行分类,从而获得用于表征活性污泥絮体微观特征的综合指标.同时,以PCA所得主成分作为判别条件,采用Fisher判别分析对污泥沉降性能进行判别,以期为污泥沉降性能在线自动判别提供技术基础.
2 材料与方法
2.1 试验装置
试验装置为6个内径为100 mm、高度为1100 mm的SBR反应器,反应器有效容积为8 L,装置示意图如图 1所示.反应器底部设有微孔曝气盘,其内设置溶解氧传感器,以监测溶解氧的变化.
图1 试验装置示意图
2.2 污泥絮体培养
按照不同接种污泥来源,将反应器分为两组(R1~R3和R4~R6),R1~R3接种污泥取自马鞍山市某污水处理厂(W1,A2O工艺)二沉池,R4~R6接种污泥取自马鞍山市另一污水处理厂(W2,氧化沟工艺)二沉池.试验以安徽工业大学教职工生活区污水为基质,按照1 ∶ 10比例稀释,再以葡萄糖为碳源,氯化铵为氮源,磷酸二氢钾为磷源,将进水中COD ∶ TN ∶ TP调节为100 ∶ 5 ∶ 1.两组中的3个反应器COD分别控制为200、400、600 mg · L-1左右,目的在于使得驯化后各反应器中污泥性状多元化,以保证模型有较好的适用范围.
反应器采用水浴方式控温,温度保持在(20±1)℃.反应器每天运行2个周期,每个周期为12 h,其中,进水时间为10 min,反应时间为10 h,沉淀时间为30 min,排水时间为20 min,待机时间为1 h.
2.3 图像采集与分析
在曝气条件下,每隔1~2 d对6根反应器采样1次.从反应器液面下20 cm处采集150 mL泥水混合样品于锥形瓶中,混匀后用量筒取其中100 mL测SV,余下50 mL样品用于显微图像采集.事先将移液枪头部切去一段,以便絮体顺利通过,用移液枪从50 mL样品中取25 μL置于载玻片上,再覆上24 mm×24 mm的盖玻片,置于奥林巴斯BX53显微镜(奥林巴斯,日本)载物台上.显微镜接Mshot DC30数码相机(明美,中国),并采用配套的MShot Digital Imaging System软件(明美,中国)进行显微图像采集,将盖玻片分为3个区域,在40×放大倍数下对每个区域不重叠抽样拍摄20张照片,共60张,并保存为1024×768像素的JPEG格式图像.每隔1~2 d在两个污水厂(W1和W2)的好氧池采集污泥样本1次,图像采集和分析方法同6根反应器,检测期间近3个月.
使用Image-Pro Plus 6.0(Media Cybernetics,美国)软件对每个样品的60张图像依次进行消除拍摄时背景亮度、噪音、杂质等影响的处理,测量得到软件内置参数数据.数字图像的分析流程如图 2所示.其中,在进行图像分割时,采用阈值处理的方法,将图像转化为二值图像,根据拍摄图像灰度分布特点,调整灰度阈值范围,在0~200灰度阈值范围内与絮体基本重合,为目标部分,其余阈值范围为背景部分.最后,将软件内置参数计算结果导出至Excel(Microsoft,美国)文件中,并在Excel中计算出各导出参数的值,各导出参数的计算公式具体如表 1所示,这些参数的定义参照文献,其中,微观浓度(Cmicro)定义为单位体积样品絮体投影面积总和,其可从微观角度表征污泥浓度.
图2 图像处理流程图
2.4 图像数据分析
2.4.1 主成分分析
主成分分析方法是通过线性组合的方式实现降维的思想,在较少损失信息的前提下,把多个指标转化为几个综合指标的统计方法.在进行主成分分析前,需对图像分析数据进行相应整理.对于1个污泥样本(1个载玻片)可采集60张絮体图像,每张图像都可提取20个微观参数信息(表 1),除絮体数量N取60张图像的总和外,其余参数均为60张图像的平均值,从而获得单个污泥样本的微观数据.
将经过上述数据处理所得絮体微观数据集(表 1)由Excel文件导入至SPSS 19(IBM,美国)中进行主成分分析,需要注意的是,SPSS中没有现成的主成分分析模块,故需基于因子分析模块,以初始因子载荷矩阵除以主成分特征值的平方根,可得到相应的主成分特征向量,即主成分综合评价函数的系数矩阵.主成分分析具体步骤如下:①利用20个絮体微观参数建立原始变量矩阵X,并对X进行标准化处理;②计算相关系数矩阵,检验所选的20个变量是否适合进行主成分分析;③求相关矩阵的特征根和对应的标准化特征向量;④确定用于表征污泥絮体微观特性的主成分个数m,选取m个主成分使得累计贡献率达到85%以上;⑤写出主成分的表达式,确定污泥絮体微观特性的综合评价函数,获得污泥絮体特征综合指标.
2.4.2 Fisher污泥沉降性判别
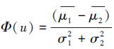
以SVI等于150 mL · g-1为界线,将样本分为两个总体“正常”和“膨胀”.以上文所得污泥絮体特征综合指标作为Fisher判别分析的判别条件,采用SPSS软件对样本数据进行Fisher判别分析建模.Fisher判别分析思路是投影分析,将这两类数据投影到某个方向,使得投影后“正常”类与“膨胀”类之间离散程度最大化,即两个总体的均值差
尽可能的大;并使得这两类内部离散程度最小,即两个样本的方差和σ21+σ22尽可能小,则建立目标函数为:
.由此,问题可转化为找到使得目标函数Φ(u)达到最大的投影向量,进而构造出判别函数.将两个总体的样本微观参数观测值分别带入判别函数中求和,再分别除以各自的样本个数,求得两组样本的“重心”得分.
构造出污泥沉降性判别函数后,还要确定判别临界值c.在两个总体先验概率相等的假设下,取c为两组样本“重心”的加权平均值.对于一个新样本,计算其判别函数得分F.若F>c,则判定为“正常”;若F 为了对判别模型的可靠性进行验证,将取自6根反应器的训练样本回代到模型中,求得回判正确率;再将取自2座污水厂的测试样本代入模型,求得判别正确率. 3 结果 3.1 反应器和污水厂运行的沉降性状况 整个试验过程共采集到163个训练样本,其中“正常”污泥样本105个,“膨胀”污泥样本58个.如图 3所示,R1中SVI分布范围为47~121 mL · g-1,R2中SVI分布范围为112~292 mL · g-1,R3中SVI范围为157~636 mL · g-1,R4中SVI分布范围为35~85 mL · g-1,R5中SVI分布范围为59~159 mL · g-1,R6中SVI分布范围为65~188 mL · g-1.6个反应器的污泥沉降性状况各不相同,整体SVI分布范围较广泛,为建立模型提供了充分的数据基础.两座污水厂共采集测试样本67个,二者的运行状态也不同,W1在监测期间内沉降性均为“正常”,W2在监测期间内均为“膨胀”. 3.2 絮体微观参数间的相关分析 主成分分析适用于所选变量之间存在较强相关关系的数据,如原始数据相关性较弱,则起不到很好的降维作用,所得主成分浓缩原始变量信息的能力差别不大.故在进行主成分分析前,对絮体微观参数间的相关关系进行计算,求得变量间相关系数的绝对值,结果如图 4所示. 由图 4可知,用于表征污泥絮体特征的不同类型参数间具有一定的相关关系.表征絮体数量的参数N与用于表征絮体大小的参数Amean、Rec、Pconv、P、Fmax、L、W、Deq呈负相关关系,相关系数绝对值大于0.5(p<0.05).由此可以看出,絮体大小和数量的变化是大致同步的,絮体间存在“聚集”和“解体”现象.絮体密实性参数、伸长性参数和规则性参数间相关性也较高.密实性参数HR,其物理意义为孔面积与絮体面积的比,与伸长性参数和规则性参数显著相关(r>0.420,p<0.05).而伸长性参数与规则性参数间除Ro、Comp、Ext和FF外都具有显著的相关关系(r>0.800,p<0.05).由此来看,絮体在客观条件不同的情况下,絮体密实性、伸长性和规则性的变化较为同步.在伸长性参数和规则性参数中,较为特别的有Ro、FF,二者与大小参数间的相关系数能达到0.5以上,在其后的主成分分析中可以发现,Ro、FF作为表征絮体形态学特征的参数,这两个参数在大小因子上也占有较高的载荷.可以推断Ro和FF会受到絮体大小的影响,对絮体大小也有一定的解释能力,通常认为小絮体的投影更接近于边界光滑的圆形,此时Ro和FF趋近于1. 用于表征污泥絮体特征的同类型参数间的相关性大多较显著,说明同类型参数对絮体特性的表示结果具有一致性.8个大小参数(Amean、Rec、Pconv、P、Fmax、L、W、Deq)间有显著的相关关系(r>0.969,p<0.05),絮体的面积、周长、长、宽等特征的变化趋势基本一致.6个伸长性参数可分为两组,Ro、Comp和Ext都显著相关(r>0.571,p<0.05),AR、Asp和BR间相关系数均大于0.872(p<0.05).分析各参数计算公式可以发现,Ro、Comp和Ext对伸长性的表征是基于二维的面积,而AR、Asp和BR是基于一维的长度,面积和长度变化的不同步性导致两组间的相关性不显著.3个规则性参数间显著相关(r>0.344,p<0.05),其中,FD和Conv间的相关系数为0.944.较为特别的是FF与FD的相关系数仅0.344,而其与Ro的相关系数为0.983,与Comp和Ext的相关系数也均大于0.670,与Jenné等(2006)的观点不同,这说明将FF定义为规则性参数有失妥当,作为伸长性参数更为合适.用于表示絮体密实性的HR则与除Ro、FF之外的其它伸长性参数和规则性参数都有显著的相关关系.伸长性参数与规则性参数间大都具有较强的相关关系,只有Ro、FF与AR、Asp、BR、FD的相关关系不显著. 尽管污泥絮体的微观浓度Cmicro仅与大小参数间具有较为一般的相关关系(r>0.317,p<0.05),和其它参数相关性不显著,但其与MLSS的相关系数为0.709(p<0.05),有显著的相关性,可以用作污泥浓度的微观表现形式.总之,絮体微观参数间均存在较为理想的相关关系,适合进行主成分分析. 3.3 构建污泥絮体微观特性综合指标 163组样本数据包含20个变量,对其进行主成分分析的结果如表 2所示,前3个成分可累计解释原始数据总信息量的89.068%(大于85%),基本上可较完整地保留原始信息,故选取前3个成分为主成分.以初始因子载荷矩阵除以主成分特征值的平方根,可得到相应的主成分特征向量,即主成分评价函数的系数矩阵. 表2 絮体微观特征的主成分信息提取 由图 5可知,参数N、Amean、Rec、Pconv、P、Fmax、L、W、Deq在主成分1(PC1)上载荷较高,絮体数量和大小间存在负相关关系,可将PC1归纳为污泥絮体大小因子,提取原始变量信息的46.684%,其综合评价函数为:
式中,Z表示对原始变量进行标准化后的值. 图5 各微观参数的因子载荷 PC1函数中,Amean、Rec、Pcon等大小参数对PC1的贡献较大,因为大小参数在PC1上载荷较高,即相关系数较大,说明大小因子与絮体面积、周长、长宽等参数的变化具有同步性. 参数HR、Ro、AR、Asp、Conv、Ext、BR、FF、FD、Conv在主成分2(PC2)载荷较高,絮体密实性参数、伸长性参数和规则性参数间相关关系显著,可归纳为污泥絮体形态因子,提取原始变量信息的35.303%,其综合评价函数为:
PC2函数中,AR、Comp、BR等形态参数对PC2 的贡献较大,因为形态参数在PC2上载荷较高,说明絮体的密实性、伸长性、规则性与形态因子的变化具有同步性;相反,Amean、Rec、Pcon等大小参数却对PC2起相反作用,因为大小参数在PC2上载荷为负,说明面积、周长、长宽等参数与形态因子呈负相关关系. 参数Cmicro在主成分3(PC3)上载荷较大,故归纳为浓度因子,提取原始变量信息的7.081%,其综合评价函数为:
PC3函数中,Cmicro对PC3贡献最大,因为浓度参数在PC3上载荷较高,说明微观浓度与浓度因子的变化具有同步性. 3.4 基于污泥絮体微观综合指标的污泥状态分析 按照上文所述Fisher判别分析方法进行计算,求得判别函数为:
将实测的样品微观参数经过PCA计算后得到的主成分函数值,代入判别函数求出判别得分.判别函数F在“正常”分类组的“重心”得分为0.526,在“膨胀”分类组的“重心”得分为-0.952,求得判别临界值c为0.0000859. 如表 3所示,将163个训练样本代入已建立的判别模型中进行回判,总体的回判正确率为79.8%,其中“正常”样本被误判为“膨胀”的占总数的14.3%,“膨胀”样本被误判为“正常”的占总数的31%.采用同样的方法,将67个污水处理厂检测样本代入模型进行判别,总体的判别正确率为80.6%,其中,“正常”样本被误判为“膨胀”的占总数的18.9%,“膨胀”样本被误判为“正常”的占总数的20.0%.由此来看,在仅考虑污泥絮体特征的情况下,该模型已有较好的判别能力. 表3 Fisher判别分析结果 4 讨论 4.1 污泥絮体微观特性对沉降性的作用 其他学者研究结果大多认为污泥絮体特征对沉降性有影响,该主成分-判别分析模型也是建立在絮体微观特征对沉降性作用原理的基础上.模型的判别结果同时也验证了污泥絮体特征对沉降性的影响.污泥絮体20个微观参数通过主成分分析归纳为大小因子、形态因子和浓度因子.大小因子反映系统中絮体大小的平均水平;形态因子则包含絮体密实性、伸长性、规则性等方面内容,通常认为个体较大、结构密实、形状规则的絮体具有良好的沉降性能,且沉淀后上清液浊度较低;浓度因子从微观角度来看是絮体分布紧密程度的体现,通常认为污泥浓度大,絮体分布紧密,则絮体沉降过程中相互干扰强度高,不利于絮体沉降. 对判别模型进行分析,可以发现“正常”分类的“重心”得分为0.526,“膨胀”分类的“重心”得分为-0.952,故判别得分偏小会使得判别结果趋向于“膨胀”.通常,在污水处理系统向“膨胀”发展时,丝状菌增多的同时,污泥絮体也会变得更加细小、伸长、粗糙、松散.从模型本身来看,污水处理系统向“膨胀”发展时,对应的PC1函数值减小,PC2函数值增加,PC3函数值减小;即数量减小、体积减小、浓度降低、结构松散、絮体伸长、外表粗糙.其中,数量减小和浓度降低与其他学者观点不同,其通常认为絮体数量增加、污泥浓度增高对沉降性不利.但实际上,由于污泥沉降性变差,会导致活性污泥流失、絮体数量减少、污泥浓度减小. 4.2 判别模型的误差分析 在对误判的样本数据进行研究时发现,33个误判样本可分为两种类型,一是将“正常”样本判别为“膨胀”,此类型有5个来自R1,1个来自R2,3个来自R5,9个来自R6;二是将“膨胀”样本判别为“正常”,此类型有9个来自R2,3个来自R3,2个来自R5,1个来自R6.影响判别正确率的因素很多,但主要因素来自污泥本身的特征,在6个反应器运行过程中,污泥特征较为典型的有R2和R6. R2中活性污泥为分散生长状态,宏观上表现为上清液浑浊,不能形成成层沉降,无泥水分界面,微观上主要表现絮体体积较小、结构松散,具体如图 6a和6b所示.絮体体积虽小,但由于结构松散会导致絮体会有“微弱”的连接,图像分析时可能会将这些絮体当成一个整体处理,增大F值,导致将“膨胀”误判别为“正常”. 图6 絮体显微图片(a.R2,40×;b.R2,100×;c.R6,40×;d.R6,100×) R6中污泥絮体如图 6c和6d所示,污泥絮体核心处颜色较深,即较为密实,污泥本身沉降性较好.误判样本测得的絮体数量大都低于平均水平,即Z(N)小于0,大小参数在标准化后的值也大都小于0,Z(Cmicro)也大都小于0,使得F值较小.从而最终导致将大量的“正常”样本误判为“膨胀”. 对于体积小、结构松散却相互“微弱”连接的絮体,可在图像分析操作中增加“开运算”的程度而消除误差.对于絮体核心处较密实,沉降性能较好,但其它特征表现的类似于“膨胀”的情况,可考虑引入参数“灰度比”来表征絮体核心处的密实性,其定义为目标部分(絮体)与背景部分灰度平均值的比.此外,在大多数情况下,絮体与絮体间主要是通过丝状菌连接,适量的丝状菌可构成絮体的骨架结构.所以,在以后的研究当中可考虑将絮体内部和外部的丝状菌量加入到数据集中,将絮体内部和外部丝状菌参数与絮体参数联合起来建立模型.通常游离丝状菌对污泥沉降性影响较大,而内部丝状菌可影响絮体的结构形态,二者结合可提高判别的正确率. 5 结论 1)对20个活性污泥絮体微观变量进行相关分析发现,絮体微观参数变化具有同步性,这种同步性表现在两个方面,即同种类型参数间与不同类型参数间.结果同时表明,该20个参数间相关关系较为理想,适合进行主成分分析. 2)由主成分分析可将20个活性污泥絮体微观参数浓缩为3个综合指标,这3个综合指标分别为表征絮体微观特征的大小因子、形状因子和浓度因子.大小因子主要反映絮体数量和大小特征,形状因子主要反映絮体密实性,伸长性和规则性;浓度因子主要反映污泥浓度的大小. 3)利用3个综合参数作为判别指标建立Fisher判别分析模型,得到一个判别函数,应用模型可判别污水处理系统是处于“正常”状态或是“膨胀”状态,该模型的回判正确率为79.8%,以污水厂监测数据作为测试样本的判别正确率为80.6%. 4)采用主成分-判别模型对污泥沉降性进行判别,判别结果较为直观,直接表现为“正常”或“膨胀”,从而为利用图像分析技术配合图像采集的自动化,实现污泥沉降性的在线判别提供了技术基础.
图3 6根反应器和2座污水厂污泥样本的SVI箱体图
图4 絮体微观参数相关矩阵图














