¡¡¡¡1 ÒýÑÔ
¡¡¡¡ÎÛË®Éú»¯´¦Àí¹ý³ÌÖлá²úÉú´óÁ¿µÄÊ£ÓàÎÛË®£¬ÕâЩÎÛÄàµÄº¬Ë®ÂÊͨ³£³¬¹ý99%.ÓÉÓڸߵÄÎÛÄຬˮÂʳ£°éËæ×Å´óµÄÎÛÄàÌå»ý£¬µ¼ÖÂÎÛÄàµÄÔËÊä·ÑÓøߡ¢ÎÛÄàÔËÊäÄѶȴó¡¢Õ¼ÓôóÁ¿µÄ´¦Àí³¡µØ.Òò´Ë£¬ÎÛÄà¸ßЧÍÑË®¼¼ÊõµÄ¿ª·¢³ÉΪÑÛÏÂÎÒ¹ú»·±£¹¤×÷ÕßÑо¿µÄÖØÒª¿ÎÌâÖ®Ò».Ò»°ãÀ´½²£¬ÎÛÄàÖеÄË®·Ö°üÀ¨ÓÎÀëË®(Ô¼Õ¼70%)¡¢¼ä϶ˮ(Ô¼Õ¼20%)¡¢Îü¸½Ë®(Ô¼Õ¼7%)ºÍ½áºÏË®(Ô¼Õ¼3%)µÈ.
¡¡¡¡ÎÛÄàµÄ»¯Ñ§×é³ÉÊǾö¶¨ÆäÍÑË®ÐԵĹؼüÒòËØ.ÆäÖУ¬°ûÍâ¾ÛºÏÎï(Extracellular Polymeric Substances£¬EPS)Õ¼µ½ÎÛÄà×ÜÁ¿µÄ60%¡«80%£¬ÇÒEPS·Ö²¼ºÍ×é³É¶ÔÎÛÄàµÄÍÑË®ÐÔµÄÓ°Ïì×îΪÏÔÖø.J.I. HoughtonµÄÑо¿±íÃ÷£¬ÎÛÄàÖÐEPSµÄº¬Á¿¾ö¶¨×ÅÎÛÄàµÄÍÑË®ÐÔ£¬Ã¿ÖÖÎÛÄàÍÑË®ÐÔ´ïµ½×î¼Ñʱ¶¼ÓÐÆä¶ÔÓ¦µÄ°ûÍâ¾ÛºÏÎﺬÁ¿.ͬʱ£¬EPSº¬Á¿¾ö¶¨×ÅÎÛÄàµÄ´øµçÁ¿¡¢¹ýÂ˺ó¸É¹ÌÌåµÄº¬Á¿ºÍÐõÌåµÄÎȶ¨ÐÔµÈ.Ñо¿ÈÏΪ£¬EPSÖе°°×ÖʺͶàÌǵıÈÀýÓ°Ïì×ÅÎÛÄàµÄÍÑË®ÐÔ.Ïà±È¶àÌÇ£¬ÓÐЩÑо¿ÈÏΪµ°°×ÖʶÔÎÛÄàÍÑË®ÐÔµÄÓ°Ïì¸üΪÏÔÖø£¬¸ß½áºÏµ°°×Öʵĺ¬Á¿²»ÀûÓÚÎÛÄàÍÑË®.ͬʱ£¬MurtgyµÈ(1999)µÄÑо¿Ò²±íÃ÷£¬ÎÛÄàÍÑË®ÐÔËæ×ÅEPSÖе°°×Öʺ¬Á¿µÄÔö¼Ó¶ø¶ñ»¯.
¡¡¡¡´«Í³µÄ»¯Ñ§µ÷ÀíÒ©¼ÁÈçPAC¡¢FeCl3ºÍPAMµÈÖ÷ÒªÊÇͨ¹ýµçÖкͺͼÜÇÅ×÷ÓôÙʹÎÛÄà¿ÅÁ£ÐõÄýÀ´¸ÄÉÆÎÛÄàÍÑË®ÐÔ£¬¶øÆäËüһЩ·½·¨£¬ÖîÈçÑõ»¯¡¢Ëá¼î¡¢ÈÈ´¦ÀíµÈÆÆ»µÎÛÄàÐõÌå½á¹¹£¬Äܹ»´ÙʹEPSÈܽ⣬´Ó¶øÊ¹½áºÏˮת»¯Îª×ÔÓÉË®£¬½µµÍÍÑË®ÎÛÄàµÄº¬Ë®ÂÊ.ÒѾÑо¿µÄ¼¼ÊõÖ÷ÒªÓйâFenton/FentonÑõ»¯¼¼Êõ¡¢Ëá¼î´¦Àí¡¢ÈÈ´¦ÀíµÈ.¸ßÌúËáÑÎÊÇÒ»ÖÖÇ¿Ñõ»¯¼Á£¬Í¬Ê±Æä¿ÉÒÔ±»»¹ÔΪÌúÀë×Ó»òÇâÑõ»¯Ìú£¬´Ó¶øÆðµ½»ìÄý¼ÁµÄ×÷ÓÃ.×÷ΪһÖÖÂÌÉ«µÄË®´¦ÀíÒ©¼Á£¬¸ßÌúËá¼Ø(K2FeO4)±»¹ã·ºÓÃÓÚÒûÓÃË®¡¢Éú»îÎÛË®ºÍ¹¤ÒµË®´¦Àí¹¤³ÌÖÐ.K2FeO4ÔÚÎÛÄàµ÷Àí·½ÃæµÄÑо¿ÒÑÓб¨µÀ·¢ÏÖ£¬Ä¿Ç°£¬ÔÚpHֵΪ3µÄÌõ¼þÏ£¬K2FeO4µ÷Àí¿ÉÒÔÇ¿»¯ÎÛÄàÍÑË®ÐÔ£¬¶øµ±pHֵΪ4¡«8ʱ£¬´¦ÀíºóÎÛÄàÍÑË®ÐÔ·´¶ø¶ñ»¯.ͬʱ£¬ÊèËÉÐÍEPS(LB\|EPS)µÄ×ÜÁ¿¼°Æäµ°°×ÖʺͶàÌǵĺ¬Á¿Ëæ×ÅK2FeO4Ͷ¼ÓÁ¿µÄÉý¸ß¶øÔö¼Ó£¬½ôÃܽáºÏÐÍEPSµÄ±ä»¯ÓëLB\|EPSÏà·´.
¡¡¡¡ÒÔÍùµÄÑо¿²àÖØÓÚK2FeO4¶ÔÎÛÄàÍÑˮЧÂʵÄÓ°Ï죬Ȼ¶ø²¢Î´²ÉÓÃÏȽø·ÖÎö¼¼ÊõÉîÈë̽Ë÷K2FeO4¶ÔÎÛÄàEPS×é³ÉºÍ·Ö²¼µÄÓ°Ïì.Òò´Ë£¬±¾ÎÄÑо¿ÁËpHÖµ¶Ô»îÐÔÎÛÄàÍÑË®ÐÔ¼°EPS×é³ÉºÍ·Ö²¼µÄÓ°Ï죬²¢²ÉÓ󣹿»¯Ñ§·ÖÎö¡¢Èýάӫ¹â¹âÆ×ºÍ¸ßЧÌå»ýÅÅ×èÉ«Æ×µÈ·½·¨·ÖÎöK2FeO4´¦ÀíºóÎÛÄ಻ͬEPS×é·Ö(ÈܽâÐԺͽáºÏÐÍEPS)µÄ±ä»¯ÌØÕ÷£¬´Ó¶øÉîÈëÁ˽âK2FeO4ÎÛÄàµ÷ÀíµÄ×÷ÓûúÖÆ.
¡¡¡¡2 ²ÄÁÏÓë·½·¨
¡¡¡¡2.1 »¯Ñ§ÊÔ¼Á
¡¡¡¡Ê¹Óõ½µÄËùÓл¯Ñ§Ò©Æ·Îª·ÖÎö´¿.ÑÎËáºÍÇâÑõ»¯ÄÆÓÃǰ½«Å¨¶Èµ÷½ÚΪ10%ÈÜÒº.
¡¡¡¡2.2 Ïû»¯ÎÛÄà
¡¡¡¡ÎÛÄàÈ¡×Ô±±¾©Êб±Ð¡ºÓÎÛË®´¦Àí³§µÄÊ£ÓàÎÛÄ࣬¸ÃË®³§´¦Àí¹æÄ£Îª20Íòm3 ¡¤ d-1£¬Ö÷Òª²ÉÓÃĤÉúÎï·´Ó¦Æ÷(MBR)ºÍ³ôÑõÉî¶È´¦ÀíʵÏÖÖÐË®»ØÓã¬ÎÛÄàµÄ»ù±¾ÐÔÖÊÈç±í 1Ëùʾ.
±í1 »îÐÔÎÛÄàµÄ»ù±¾ÐÔÖÊ
¡¡¡¡2.3 K2FeO4Ñõ»¯µ÷ÀíÎÛÄà·½·¨
¡¡¡¡ÊÒÎÂÌõ¼þÏ£¬Í¶¼ÓK2FeO4£¬·´Ó¦1 hºó½«ÎÛÄàpHÖµµ÷½ÚÖÁ7¡«8.
¡¡¡¡2.4 ·ÖÎö·½·¨
¡¡¡¡2.4.1 ÎÛÄàÍÑË®ÐԵIJⶨ
¡¡¡¡ÎÛÄà±È×è(Specific resistance of filtration£¬SRF)ÊÇÒ»ÖÖ¼òµ¥µÄ¡¢ÈÝÒ×ʵÏÖµÄÎÛÄàÍÑË®ÐÔÆÀ¼ÛÖ¸±ê£¬¸Ã²ÎÊý±íʾµ¥Î»ÖØÁ¿µÄÎÛÄàÔÚÒ»¶¨Ñ¹Á¦Ï¹ýÂËʱÔÚµ¥Î»¹ýÂËÃæ»ýÉϵÄ×èÁ¦.¹ýÂË¿ªÊ¼Ê±£¬ÂËÒº½öÐè¿Ë·þ¹ýÂ˽éÖʵÄ×èÁ¦£¬µ±Â˱ýÖð½¥Ðγɺ󣬻¹±ØÐë¿Ë·þÂ˱ý±¾ÉíµÄ×èÁ¦.ÎÛÄà±È×èµÄ¹«Ê½¿ÉÒÔ±í´ïΪ£º
¡¡¡¡
¡¡¡¡Ê½ÖУ¬PΪ¹ýÂËѹÁ¦(g ¡¤ cm-2);AΪ¹ýÂËÃæ»ý(cm2);¦ÌΪÂËÒºµÄ¶¯Á¦Õ³¶È(g ¡¤ s-1 ¡¤ cm-2);¦ØÎªÂ˹ýµ¥Î»Ìå»ýµÄÂËÒºÔÚ¹ýÂ˽éÖÊÉϽØÁôµÄ¸É¹ÌÌåÖØÁ¿(g ¡¤ cm-3)£ºbΪ¹ýÂË·½³Ìt ¡¤ V=bV+aËù´ú±íµÄÖ±ÏßµÄбÂÊ;tΪ¹ýÂËʱ¼ä(s);VΪÂËÒºÌå»ý(cm3).
¡¡¡¡È¡´ý²âÎÛÄàÑùÆ·100 mLÓÚÁ¿Í²ÖУ¬ÔÚºã¶¨ÆøÑ¹(P=0.6 MPa)µÄÌõ¼þϹýÂË£¬Ã¿¸ô10 s¼Ç¼һ´ÎÂËÒºÌå»ý£¬Ö±µ½Â©¶·ÖÐÂ˱ý²ã³öÏÖÁÑ·ìΪֹ£¬Í£Ö¹³éÂË£¬ÀûÓòîÁ¿·¨²â¶¨Â˱ýº¬Ë®ÂÊ£¬È»ºó½øÐÐÎÛÄà±È×è²â¶¨.
¡¡¡¡2.4.2 EPSÌáÈ¡
¡¡¡¡È¡50 mLÎÛÄà»ìºÏÒºÔÚ5000 r ¡¤ min-1ÏÂÀëÐÄ10 min£¬ÊÕ¼¯ÎÛÄàÉÏÇåÒº¼´ÎªÈܽâÐÔEPS(Soluble EPS£¬SEPS). È»ºóÔÚ¼ÓÈë0.05% NaClÈÜÒº£¬×îÖÕÌå»ýΪ50 mL;½Á°èʹµÃÎÛÄàÖØÐÂÐü¸¡ºó£¬ÔÚ80 ¡æË®Ô¡ÖзÅÖÃ45 min;ÔÚ5000 r ¡¤ min-1ÏÂÀëÐÄ10min£¬ÊÕ¼¯ÉÏÇåÒº¼´Îª½áºÏÐÍEPS(Bound EPS£¬BEPS).¶øºó½øÐÐSEPSºÍBEPSµÄCOD¡¢Èýάӫ¹âºÍ·Ö×ÓÁ¿µÈ·ÖÎö. 2.4.3 EPS·ÖÎö ¶àÌǺ͵°°×Öʲⶨ£ºËùÓл¯Ñ§·ÖÎö¾ù½øÐÐ2´Î.µ°°×ÖʺͶàÌǵķÖÎö°´ÕÕËùÌá³öµÄ·½·¨£º¶àÌDzÉÓÃÝìͪ·¨²â¶¨£¬ÒÔÆÏÌÑÌÇ(Sinopharm)Ϊ±ê×¼;µ°°×ÖʲÉÓÃLowry·¨²â¶¨£¬Å£ÑªÇåµ°°×(Sigma)Ϊ±ê×¼ÎïÖÊ.
¡¡¡¡Èýάӫ¹â£ºÈýάӫ¹â¹âÆ×²ÉÓÃÓ«¹â¹â¶È¼Æ(Hitachi F\|4500£¬Japan)²â¶¨£¬¼¤·¢²¨³¤Çø¼äΪ200¡«400 nm£¬²¨³¤¼ä¾àΪ10 nm£¬·¢É䲨³¤Çø¼äΪ220¡«550 nm£¬²¨³¤¼ä¾àÒàΪ10 nm£¬¹âÆ×µÄɨÃèËÙ¶ÈΪ12000 nm ¡¤ min-1.ShengµÈ(2006)µÄÑо¿ÏÔʾ£¬Ó«¹â·åµÄλÖá¢Ç¿¶ÈºÍ²»Í¬Ó«¹â·åµÄÇ¿¶È±ÈÀý¾ù²»»áÊܵ½Àë×ÓÇ¿¶ÈµÄÓ°Ïì.
¡¡¡¡¸ßЧÌå»ýÅÅ×èÉ«Æ×£º¸ßЧÌå»ýÅÅ×èÉ«Æ×(HPSEC)²ÉÓÃWatersÒºÏàÉ«Æ×ϵͳ£¬ÓÉWaters 2487Ë«²¨³¤ÎüÊÕ¼ì²âÆ÷¡¢Waters 1525±Ã×é³É.·ÖÀëËùÓÃÉ«Æ×ÖùΪShodex KW 802.5 Öù(Shoko co.£¬Japan).Á÷¶¯ÏàΪÓÃMilli QË®ÅäÖÆµÄ5 mmol ¡¤ L-1 Á×ËáÑλº³åÒººÍ0.01 mol ¡¤ L-1 NaClÈÜÒº£¬ÅäÖÆºóÓÃ0.22 ¦ÌmµÄĤ¹ýÂË£¬È»ºó³¬Éù²¨ÍÑÆø15 min.Á÷¶¯ÏàÁ÷ËÙΪ0.8 mL ¡¤ min-1£¬½øÑùÁ¿Îª200 ¦ÌL.¾Û±½ÒÒÏ©»ÇËáÄÆ(PSS)×÷Ϊ·Ö×ÓÁ¿µÄ±ê×¼ÎïÖÊ£¬±êÏßÖÐËùÓõÄPSS·Ö×ÓÁ¿·Ö±ðΪ1.8¡¢4.2¡¢6.5ºÍ32 kDa(Sigma£¬Aldrich). 2.4.4 ÆäËüÖ¸±ê COD²ÉÓÃÖØ¸õËá¼ØÑõ»¯·¨²â¶¨£¬pH²ÉÓÃpHS\|3C(Shanghai£¬China)pH ¼Æ²â¶¨.
¡¡¡¡3 ½á¹ûÓëÌÖÂÛ
¡¡¡¡3.1 ²»Í¬pHÌõ¼þÏÂK2FeO4¶ÔÎÛÄàµÄÓ°Ïì
¡¡¡¡3.1.1 ²»Í¬pHÌõ¼þÏÂK2FeO4¶ÔÎÛÄà¹ýÂËÍÑË®ÐÔÄܵÄÓ°Ïì
¡¡¡¡²»Í¬pHÌõ¼þÏ£¬K2FeO4(Ͷ¼ÓÁ¿0.1 g ¡¤ g-1£¬ÒÔTSS¼Æ)´¦Àíºó¶ÔÎÛÄà±È×è(SRF)ºÍÄà±ýº¬Ë®ÂʵÄÓ°ÏìÈçͼ 1Ëùʾ.pHÖµ²»½ö±¾Éí»áÓ°Ïì»îÐÔÎÛÄàµÄSRF£¬Í¬Ê±pHÖµ»áͨ¹ýÓ°ÏìK2FeO4µÄ»¯Ñ§ÐÎ̬ºÍ·´Ó¦»îÐÔÓ°ÏìÆäµ÷ÀíЧÂÊ.¿ÉÒÔ¿´³ö£¬Ëæ×ÅpHÖµµÄ½µµÍ£¬K2FeO4µÄµ÷ÀíЧ¹ûÖ𽥸ÄÉÆ.ÔÚpHÖµ´Ó11ϽµÖÁ2µÄ¹ý³ÌÖУ¬SRFºÍÄà±ýº¬Ë®ÂÊ´Ó1.00¡Á109 s2 ¡¤ g-1ºÍ82.2%·Ö±ðϽµÖÁ3.1 ¡Á108 s2 ¡¤ g-1ºÍ76.8%.
ͼ1 ²»Í¬pHֵ϶ÔK2FeO4´¦ÀíºóÎÛÄàSRFºÍÄà±ýº¬Ë®ÂʵÄÓ°Ïì
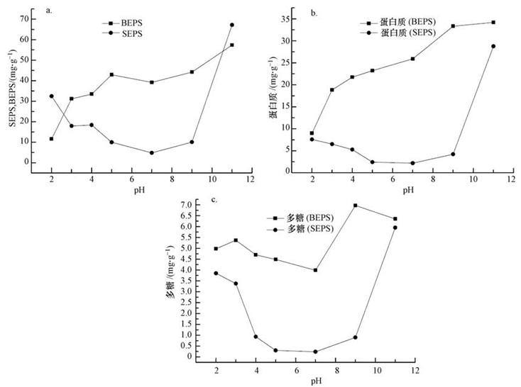
¡¡¡¡3.1.2 ²»Í¬pHÖµÏÂK2FeO4´¦ÀíºóÎÛÄàEPS·Ö²¼ºÍ×é³ÉµÄÓ°Ïì
¡¡¡¡²»Í¬pHÖµÌõ¼þÏ£¬K2FeO4(Ͷ¼ÓÁ¿0.1 g ¡¤ g-1£¬ÒÔTSS¼Æ)´¦Àí¶ÔSEPSºÍBEPSº¬Á¿(ÒÔTSS¼Æ)µÄÓ°ÏìÈçͼ 2aËùʾ.Ëæ×ÅpHµÄÉý¸ß£¬BEPSµÄº¬Á¿Ö®¼äÉý¸ß£¬¶øSEPSµÄº¬Á¿ÏÈϽµºóÉÏÉý£¬ÔÚpHֵΪÖÐÐÔʱ½µÖÁ×îµÍ.pHÖµ»áÓ°ÏìK2FeO4ÔÚË®ÈÜÒºÖеĻ¯Ñ§ÐÎ̬.ÔÚÖÐÐԺͼîÐÔÈÜÒºÖУ¬HFeO4-ºÍFeO42-ÊÇÖ÷ÒªÐÎ̬£¬Æä»¯Ñ§ÐÔÖʱȽÏÎȶ¨£¬»á»ºÂý×Ô·¢Ë®½â;ÔÚÖÐÐÔÌõ¼þÏ£¬FeO42-ΪÓÅÊÆÐÎ̬;µ±pHֵСÓÚ4ʱ£¬¸ßÌúËá¸ùÖ÷ÒªÒÔHFeO4-ºÍH2FeO4´æÔÚ.HFeO4-ºÍH2FeO4µÄ·´Ó¦»îÐÔÃ÷ÏÔ¸ßÓÚΪ·¢ÉúÖÊ×Ó»¯µÄFeO42-.¸ù¾Ý·´Ó¦·½³Ìʽ(2)ºÍ(3)£¬¸ßÌúËá¸ùÔÚËáÐÔÌõ¼þϵÄÑõ»¯»¹ÔµçλҪÃ÷ÏÔ¸ßÓÚÖÐÐԺͼîÐÔÌõ¼þÏÂ.
¡¡¡¡
¡¡¡¡K2FeO4²»½öÓÐÑõ»¯×÷Óã¬Í¬Ê±Æä»¹Ô²úÎïÈý¼ÛÌúÀë×Ó¼æ¾ß»ìÄý¹¦Ð§£¬Äܹ»Í¨¹ýµçÖкÍÓë½çÃæÎü¸½È¥³ý²¿·ÖSEPS£¬Í¬Ê±Ñ¹ËõEPS½á¹¹£¬µ¼ÖÂ×ܵĿÉÌáÈ¡EPSº¬Á¿Ï½µ.ͼ 2bºÍ2cÏÔʾ£¬SEPSÖе°°×ÖʺͶàÌDZíÏÖ³öÏàͬµÄ±ä»¯Ç÷ÊÆ.Ëæ×ÅpHÖµÉý¸ß£¬Á½ÖÖÎïÖʺ¬Á¿(ÒÔTSS¼Æ)¾ùÏÈϽµºóÉÏÉý£¬ÔÚÖÐÐÔÌõ¼þÏ´ﵽ×îµÍ;BEPSÖе°°×Öʺ¬Á¿Öð½¥ÉÏÉý£¬¶àÌǺ¬Á¿±ä»¯²»Ã÷ÏÔ.Ïà±È¶àÌÇ£¬ÌúÀë×ÓÓëµ°°×ÖÊÖ®¼äÓнÏÇ¿µÄ×÷ÓÃÁ¦£¬ÌúÀë×ӵĻìÄý×÷ÓôÙʹµ°°×ÖÊ´ÓSEPS×ªÒÆÖÁBEPSÖÐ.
ͼ2 pHÖµ¶ÔK2FeO4´¦Àíºó²»Í¬EPS(a)¼°Æäµ°°×ÖÊ(b)ºÍ¶àÌÇ(c)º¬Á¿µÄÓ°Ïì(K2FeO4Ͷ¼ÓÁ¿Îª0.1 g ¡¤ g-1£¬ÒÔTSS¼Æ)
¡¡¡¡Èýάӫ¹â¹âÆ×ÊÇÒ»ÖÖ¸ßÁéÃô¶ÈºÍÑ¡ÔñÐԵķÖÎö¹¤¾ß£¬±»¹ã·ºÓÃÓÚÌìȻˮÌåÖÐÓлúÎïµÄ·ÖÎöÖУ¬ÓÈÆäÔÚÉúÎïÔ´ÎïÖʵıíÕ÷·½Ãæ¾ßÓжÀÌØµÄÓÅÊÆ.²»Í¬pHÖµÌõ¼þÏÂÎÛÄàSEPSºÍBEPSµÄÈýάӫ¹â¹âÆ×ºÍÓ«¹â·åÇ¿¶È·Ö±ðÈçͼ 3ºÍ±í 2Ëùʾ.Ê×ÏÈ£¬ÎÛÄàSEPS¹âÆ×ÖÐÓÐPeak A(¦Ëex/¦Ëem=280 nm/335 nm)¡ªÉ«°±ËáÀ൰°×¡¢Peak B(¦Ëex/¦Ëem=225 nm /340 nm)¡ª·¼ÏãÀ൰°×¡¢Peaks C(¦Ëex/¦Ëem=330 nm /410 nm)¡ª¸¯Ö³ËáºÍPeak D(¦Ëex/¦Ëem=275 nm /425 nm)¡ª¸»ÀïËá4¸öÓ«¹â·å;BEPSÖнöÓÐPeak AºÍPeak BÁ½¸ö·å.Ñо¿ÏÔʾ£¬µ±ÑùÆ·µÄDOCŨ¶ÈСÓÚ10 mg ¡¤ L-1ʱ£¬EEM¹âÆ×ÖеÄÓ«¹âÇ¿¶È¿ÉÒÔÓÃÀ´¶¨Á¿EPSµÄŨ¶È.ÔÚSEPSÖУ¬¼îÐÔÌõ¼þµ¼ÖÂSEPSÖÐ4¸öÓ«¹â·åÏìÓ¦Ã÷ÏÔÔöÇ¿£¬¶øËữ´¦Àíºó£¬Á½¸öµ°°×Ó«¹â·åÇ¿¶È±ä»¯²»´ó£¬µ«¸¯Ö³ËáºÍ¸»ÀïËáÓ«¹â·åÇ¿¶ÈÔÚpHΪ2ʱÃ÷ÏÔÔöÇ¿;¶ÔÓÚBEPS£¬Ëæ×ÅpHÖµ´Ó2ÉÏÉýÖÁ11£¬Peak AºÍPeak BµÄÓ«¹âÇ¿¶È·Ö±ð´Ó48.9ºÍ76.8Ôö¼ÓÖÁ744.7ºÍ797.6£¬¸¯Ö³ËáºÍ¸»ÀïËáÇ¿¶ÈÎÞÃ÷ÏԱ仯.
±í2 ²»Í¬pHÖµÌõ¼þÏÂK2FeO4´¦ÀíºóEPSÓ«¹âÇ¿¶È
¡¡¡¡»ùÓÚÏ´ÍÑʱ¼äºÍ¾Û±½ÒÒÏ©»ÇËáÄÆµÄ±í¹Û·Ö×ÓÁ¿µÄ¹ØÏµ£¬¶ÔÓÐ×ÏÍâÎüÊÕµÄÓлúÎïµÄ·Ö×ÓÁ¿½øÐÐÁË·ÖÀà.ÓÉÓÚ¶àÌÇ·Ö×ÓÖв»º¬Óй²éîË«¼ü£¬¹ÊÆäÖ»ÓÐÒÔÌǵ°°×»òÌÇÖ¬µÄÐÎʽ´æÔÚʱ²ÅÄܱ»×ÏÍâ²â³ö.Èçͼ 4Ëùʾ£¬ÔʼÎÛÄàÉÏÇåÒº¿ÉÒÔ¼ì²âµ½5¸ö·å£º41 kDa¡¢2500 Da¡¢1900 Da¡¢900 DaºÍ780 Da.¸ù¾ÝLykoµÈ(2007)µÄ·ÖÀà·½·¨£¬EPSµÄ·Ö×ÓÁ¿¿ÉÒÔ´óÖ·ÖΪ3¸ö²¿·Ö£º´ó·Ö×ÓÓлúÎï´ó·Ö×Ó×é·Ö(>5000 Da)¡ªµ°°×ÖʺͶàÌÇ¡¢ÖзÖ×ÓÁ¿×é·Ö(1000¡«5000 Da)¡ªÖ÷ҪΪ¸¯Ö³ËáºÍµÍ·Ö×ÓÁ¿×é·Ö(<1000 Da)¡ª·Ö×ӹǼÜÎïÖÊ.µ±pHֵСÓÚ5ʱ£¬K2FeO4´¦ÀíºóSEPSÖеĴó·Ö×ÓÓлúÎïÈ«²¿È¥³ý;ÔÚ¼îÐÔÌõ¼þÏ£¬¸÷¸ö·Ö×ÓÁ¿µÄÓлúÎïÒà´óÁ¿Èܳö.ÁíÍâ£¬Ëæ×ÅpH½µµÍ£¬K2FeO4¶ÔÖи߷Ö×Ó·Ö×ÓÁ¿(800 Da¡«20 kDa)µÄÓлúÎïÈ¥³ýЧÂʾùÓÐËùÌáÉý.µ±pHֵΪ2ʱ£¬½öÓÐ310 DaºÍ130 Da·Ö×ÓÁ¿¿ÉÒÔ¼ì³ö£¬ÆäÓà¸÷¸ö·Ö×ÓÁ¿·å¾ùÏûʧ.ÈçǰËùÊö£¬K2FeO4µÄÑõ»¯ÄÜÁ¦Ëæ×ÅpHÖµµÄ½µµÍ¶øÇ¿»¯£¬¹ÊÆä¶Ô¸÷ÖÖÓлúÎïµÄÈ¥³ýЧÂÊÒ²ËæÖ®ÌáÉý.ÁíÍ⣬ÔÚËáÐÔÌõ¼þÏ£¬K2FeO4¾ßÓиüÇ¿µÄ·´Ó¦»îÐÔ£¬ÔÚpHµ÷½ÚÖÁÖÐÐԵĹý³ÌÖУ¬ÌúÀë×ÓµÄË®½âÒ²¸ü¼Ó³¹µ×£¬¹Ê¶ø¾ßÓиü¸ßµÄ»ìÄýЧÄÜ.
ͼ4 pHÖµ¶ÔK2FeO4µ÷ÀíºóSEPS·Ö×ÓÁ¿·Ö²¼µÄÓ°Ïì(ÑùÆ·Ï¡ÊÍ10±¶)
¡¡¡¡3.2 K2FeO4Ͷ¼ÓÁ¿¶ÔÎÛÄàÌØÐÔµÄÓ°Ïì
¡¡¡¡3.2.1 K2FeO4Ͷ¼ÓÁ¿¶ÔÎÛÄàÍÑË®ÐÔµÄÓ°Ïì
¡¡¡¡K2FeO4Ͷ¼ÓÁ¿¶ÔÎÛÄàSRFºÍÄà±ýº¬Ë®ÂʵÄÓ°Ïì¼ûͼ 5.¿ÉÒÔ¿´³ö£¬¾¹ýK2FeO4´¦Àíºó£¬ÎÛÄà¹ýÂËÌØÐÔ(SRF)ºÍÍÑË®ºóÄà±ýº¬Ë®ÂʾùµÍÓÚÔʼÎÛÄà.È»¶ø£¬YeµÈ(2012)µÄÑо¿½á¹ûÏÔʾ£¬K2FeO4´¦ÀíºóÎÛÄà¹ýÂËÌØÐÔ(ÒÔSRF±íÕ÷)¶ñ»¯£¬ÍÑË®³Ì¶ÈÓÐËùÌá¸ß.K2FeO4Ͷ¼ÓÁ¿µÍÓÚ0.005 g ¡¤ g-1(ÒÔTSS¼Æ)ʱ£¬ÎÛÄàSRF½µÖÁ8¡Á108 s2 ¡¤ g-1;¶øµ±ÆäͶ¼ÓÁ¿´ÓÉÏÉýÖÁ0.02 g ¡¤ g-1µÄ¹ý³ÌÖÐSRFºÍÄà±ýº¬Ë®ÂʾùÓÐËùÉÏÉý;µ±K2FeO4Ͷ¼ÓÁ¿¼ÌÐøÔö¼ÓÖÁ0.1 g ¡¤ g-1ʱ£¬ÎÛÄàSRFºÍÄà±ýº¬Ë®Âʾù´ïµ½×îµÍ£¬¼´ÍÑË®ÐÔ×î¼Ñ.
ͼ5 K2FeO4Ͷ¼ÓÁ¿¶ÔSRFºÍÄà±ýº¬Ë®ÂʵÄÓ°Ïì(pH=3)
¡¡¡¡3.2.2 K2FeO4Ͷ¼ÓÁ¿¶ÔÎÛÄàEPSÌØÐÔµÄÓ°Ïì
¡¡¡¡´Óͼ 6a¿ÉÒÔ¿´³ö£¬Ëæ×ÅK2FeO4Ͷ¼ÓÁ¿µÄÌá¸ß£¬SEPSºÍBEPS³ÊÏÖ³öÏàͬµÄ±ä)»¯Ç÷ÊÆ£¬ÇÒºÍSRF±ä»¯±£³ÖÒ»Ö£¬Õâ˵Ã÷ÎÛÄà±È×èÓë¿ÉÌáÈ¡EPSµÄº¬Á¿³ÊÏÖÁ¼ºÃµÄÏà¹ØÐÔ.SEPSºÍBEPSÖе°°×ÖʳÊÏÖ³ö²»Í¬µÄ±ä»¯¹æÂÉ£¬SEPSÖе°°×Öʺ¬Á¿Ëæ×ÅK2FeO4Ͷ¼ÓÁ¿µÄÌá¸ß¶øÂÔÓÐÔö¼Ó£¬¶øBEPSÖе°°×ÖÊÏȺ¬Á¿Ôö¼Óºó¼õС£»¶àÌǺ¬Á¿¾ùËæÑõ»¯¼ÁͶ¼ÓÁ¿µÄÉý¸ßÏÈÔö¼Óºó½µµÍ.K2FeO4¼æÓÐÑõ»¯ºÍ»ìÄýµÄ×÷Óã¬ÔÚµÍͶ¼ÓÁ¿(£¼0.05 g ¡¤ g-1£¬ÒÔTSS¼Æ)Ìõ¼þÏ£¬Ñõ»¯×÷ÓÃÕ¼Ö÷µ¼µØÎ»£¬µ¼ÖÂÎÛÄàEPSÊÍ·Å£»ÔÚÖеÈͶ¼ÓÁ¿(0.05¡«0.1 g ¡¤ g-1)ʱ£¬»ìÄý×÷ÓÃÕ¼ÓÅ£¬Ë®½âµÄÔλ²úÉúµÄÇâÑõ»¯Ìú¿ÉÒÔͨ¹ýµçÖкÍ×÷ÓÃѹËõÎÛÄàµÄEPS½á¹¹£¬Ê¹µÃ×Ü¿ÉÌáÈ¡µÄEPSº¬Á¿½µµÍ£»Ôڸ߼ÁÁ¿(>0.1 g ¡¤ g-1)Ìõ¼þÏ£¬K2FeO4Ñõ»¯¹ý³Ì½«´ó·Ö×ӵĵ°°×ÖÊÁѽâΪС·Ö×ÓÎïÖÊ£¬ÆäÄÑÒÔͨ¹ýÌúÀë×ӵĻìÄý¹ý³Ì¶ø×ªÈë¹ÌÏàÖÐ.
ͼ6 K2FeO4²»Í¬Í¶¼ÓÁ¿¶Ô´¦ÀíºóÎÛÄàSEPSºÍBEPSº¬Á¿(a)¼°Æäµ°°×ÖÊ(b)ºÍ¶àÌÇ(c)º¬Á¿µÄÓ°Ïì
¡¡¡¡K2FeO4Ͷ¼ÓÁ¿¶ÔÎÛÄàEPSÓ«¹â¹âÆ×ÌØÐÔµÄÓ°Ïì¼ûͼ 7ºÍ±í 3.Ïà±ÈÔÄ࣬¾¹ýK2FeO4´¦Àíºó£¬SEPSÖеĸ¯Ö³ËáºÍ¸»ÀïËá·åµÄÓ«¹âÇ¿¶ÈÃ÷ÏÔ¼õÈõ£¬Õâ¿ÉÄÜÊÇÓÉÓÚ¸¯Ö³ËáºÍ¸»ÀïËá¾ßÓнÏÇ¿µÄÊèË®ÐÔ£¬ÈÝÒ×ͨ¹ý»ìÄýÎü¸½×ªÈë¹ÌÏà.SEPSÖеÄÁ½¸öµ°°×·åµÄÓ«¹âÇ¿¶ÈËæ×ÅK2FeO4Ͷ¼ÓÁ¿Éý¸ß£¬±íÏÖ³ö½µµÍ\|Éý¸ßºÍÔÙ½µµÍµÄ¸´ÔÓÌØµã£¬ÕâÓ뻯ѧ·ÖÎöµÄ½á¹ûÓÐËù²»Í¬.ÁíÒ»·½Ã棬BEPSÖÐÉ«°±ËáºÍ·¼ÏãÀ൰°×Ó«¹â·åÇ¿¶ÈÔÚK2FeO4´¦ÀíÃ÷ÏÔ½µµÍ£¬µ«Í¶¼ÓÁ¿¶ÔÆäÓ°Ïì²»´ó.Õâ¿ÉÄÜÊÇÓÉÓÚK2FeO4µÄÑõ»¯ÄÜÁ¦ÓÐÏÞ£¬Ñõ»¯¹ý³ÌÄܹ»µ¼ÖÂÎÛÄàEPSÖе°°×ÖÊÀàÓлúÎï±»Áѽ⣬ʧȥÁËÔÀ´µÄ»¯Ñ§½á¹¹£¬µ«ÈÔÈ»±£Óа±»ùËáµÄ»ù´¡·Ö×ӽṹ£¬Ôì³ÉÁËSEPSÓ«¹âºÍLowry·¨·ÖÎöµÄ²îÒì.

ͼ7 ¸ßÌúËá¼ØÍ¶¼ÓÁ¿¶ÔÎÛÄàSEPSºÍBEPSµÄÓ«¹â¹âÆ×µÄÓ°Ïì(SEPSºÍBEPSÑùÆ··Ö±ðÏ¡ÊÍ20ºÍ100±¶)
¡¡¡¡²»Í¬K2FeO4Ͷ¼ÓÁ¿Ìõ¼þÏ£¬ÎÛÄàSEPS·Ö×ÓÁ¿·Ö²¼Çé¿ö¼ûͼ 8Ëùʾ.²»ÄÑ¿´³ö£¬K2FeO4´¦Àíºóµ¼ÖÂ210 Da·Ö×ÓÁ¿·åµÄ³öÏÖ£¬ÕâÇ¡ºÃ֤ʵÁËEEM·ÖÎö½á¹û£¬K2FeO4´¦Àíºóȷʵ³öÏÖÁËС·Ö×ÓÓлúÎï.µ±K2FeO4Ͷ¼ÓÁ¿Ð¡ÓÚ0.1 g ¡¤ g-1(ÒÔTSS¼Æ)ʱ£¬Ëæ×ŸßÌúÑÎͶ¼ÓÁ¿µÄÌá¸ß£¬¸ß·Ö×ÓÁ¿ÓлúÎï(1900 Da¡«40 kDa)ÎÞÃ÷ÏԱ仯£¬Ð¡·Ö×ÓÁ¿ÓлúÎïÖÐ900 DaºÍ210 DaÁ½¸ö·åÇ¿¶ÈÃ÷ÏÔÌá¸ß.K2FeO4µÄÑõ»¯×÷Óõ¼ÖÂÎÛÄà½áºÏÐÍEPS·¢ÉúÈܽ⣬Êͷŵ½ÇåÒºÖУ¬ÆäÖдó·Ö×Ó×é·Ö¸üÒ×ÓÚͨ¹ýÔλ²úÉúË®½âÌúµÄ»ìÄý×÷ÓÃתÈë¹ÌÏ࣬¶øµÍ·Ö×ÓÁ¿ÓлúÎïÄÑÒÔ±»Îü¸½È¥³ý.ÁíÒ»·½ Ãæ£¬ÔÚ¸ßͶ¼ÓÁ¿(0.2 g ¡¤ g-1£¬ÒÔTSS¼Æ)Ìõ¼þÏ£¬³ýÁË40 kDa·Ö×ÓÁ¿·å±ä»¯²»´óÍ⣬ÆäÓà¸÷·Ö×ÓÁ¿·å¾ùÃ÷ÏÔ¼ÓÇ¿£¬ËµÃ÷¸ß¼ÁÁ¿µÄ¸ßÌúËáÑÎÑõ»¯¹ý³Ìµ¼Ö½áºÏÐÍEPS´óÁ¿ÊÍ·Å£¬¶ø»ìÄý¹ý³Ì²»×ãÒÔÈ¥³ýÑõ»¯ÁѽâµÄÓлúÎï.ÐèÒªÖ¸³öµÄÊÇ£¬´ËʱÎÛÄàSRFÒ²ËæÖ®ÉÏÉý£¬ÕâÒ²¾Í˵Ã÷¹ýÁ¿K2FeO4µÄͶ¼ÓºóÎÛÄàÍÑË®ÐÔ¶ñ»¯Ö÷ÒªÊÇÓÉÓÚEPS´óÁ¿ÊÍ·ÅÒýÆðµÄ.
ͼ8 ¸ßÌúËá¼ØÍ¶¼ÓÁ¿¶ÔSEPS·Ö×ÓÁ¿·Ö²¼µÄÓ°Ïì(ÑùÆ·Ï¡ÊÍ10±¶)
¡¡¡¡4 ½áÂÛ
¡¡¡¡1)¸ßÌúËá¼Ø´¦Àí¿ÉÒÔ¸ÄÉÆÎÛÄàÍÑË®ÐÔ£¬Æäµ÷ÀíЧ¹ûËæpHÖµ½µµÍ¶ø¸ÄÉÆ.ͬʱ£¬¸ßÌúËá¼Ø¼æÓÐÑõ»¯ºÍ»ìÄýµÄË«ÖØ×÷Óã¬Æä²»½öÓÐÑõ»¯Áѽâ×÷Óõ¼ÖÂBEPSÊÍ·Å£¬Í¬Ê±Æä»¹Ô²úÎïÈý¼ÛÌúÀë×Ó¼æ¾ß»ìÄý¹¦Ð§£¬Äܹ»Í¨¹ýµçÖкͺͽçÃæÎü¸½¹ý³ÌÈ¥³ý²¿·ÖSEPS¡¢Ñ¹ËõEPS½á¹¹£¬¹Ê¶ø¸ßÌúËá¼Ø´¦Àíºó×ܵĿÉÌáÈ¡EPSº¬Á¿Ï½µ.
¡¡¡¡2)µ±pHÖµºÍ¸ßÌúËá¼ØÍ¶¼ÓÁ¿·Ö±ðΪ3ºÍ0.1 g ¡¤ g-1(ÒÔTSS¼Æ)ʱ£¬ÎÛÄà¹ýÂËÍÑË®ËÙÂʺͳ̶Ⱦù´ïµ½×î¼Ñ.¹ýÁ¿¸ßÌúËá¼Ø(>0.2 g ¡¤ g-1£¬ÒÔTSS¼Æ)µ¼ÖÂÎÛÄàEPSÊÍ·Å£¬ÎÛÄàµÄ¹ýÂËÍÑË®ÐÔÄܶñ»¯.














