1 引言
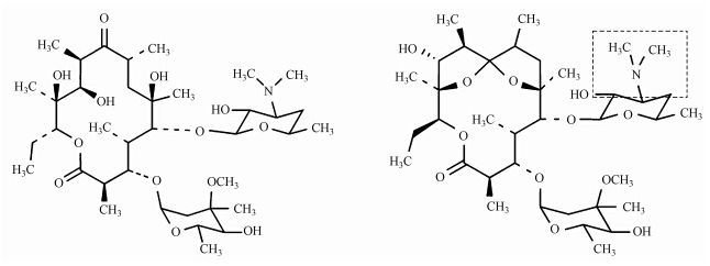
随着抗生素广泛使用,环境中检测到的抗生素种类繁多,其环境残留浓度也逐年升高.另外,由于抗生素对生态平衡的影响和人体健康潜在威胁的暴露,抗生素的环境行为倍受人们关注.目前,国内外学者对抗生素的研究主要集中在其环境残留,对微生物、动植物的毒理作用,以及其抗性基因的检测,而对其在环境中的迁移、转化特征报道较少.红霉素(Erythromycin,ERY)属于大环内酯类抗生素,具有广谱的抗菌作用,被广泛应用于医药行业和畜禽养殖业,是经常使用且环境检出率较高的抗生素之一.环境中检测出的红霉素多以脱水红霉素(Anhydroerythromycin,ERY-H2O)形式存在,红霉素及脱水红霉素的分子结构如图 1所示.据报道,在中国各流域中,如长江、珠江、嘉陵江等都能检测到红霉素的存在,并且浓度呈上升趋势.例如,在香港维多利亚港红霉素浓度在2007年时为3.5~5.2 ng · L-1,2009年上升到4.7~1900 ng · L-1.水环境中广泛检出的红霉素将如何在水生生态系统中迁移并产生怎样的生态效应,无疑是评估红霉素的生态风险所必需了解的.目前,围绕抗生素在水生生态系统中分布特征的研究多基于实际环境采样分析,由于无法控制污染源和实验条件,所得实验结果多存在误差,不利于正确评估抗生素的环境风险.采用微宇宙实验装置建立模拟水生生态系统由于具有体积小、易操作、且可人为控制其各理化性质与自然环境相似的优点,被广泛用于研究污染物在生态系统中迁移和生态效应.本文选用红霉素为代表抗生素,采用微宇宙实验装置建立模拟水生生态系统,研究红霉素在水、沉积物及生物体不同相中的分布特征,以期为正确评价红霉素以及抗生素的环境风险提供科学依据.
图 1 红霉素结构图(a)和脱水红霉素结构图(b)
2 材料与方法
2.1 实验材料
脱水红霉素(纯度> 95%)购自加拿大Toronto Research Chemicals公司,-20 ℃保存;乙腈和甲醇均为色谱纯,购自上海安谱科学仪器有限公司,其他试剂均为分析纯,购自国药试剂有限公司;实验用水为超纯水,由Milli-Q超纯水仪制备(Merck Millipore Advantage A10).
模拟生态系统所用水蕴草(Elodea densa)及斑马鱼(Barchydanioreriovar)购自广州芳村花鸟鱼虫市场.水蕴草平均湿重为6.63 g ·棵-1,含水率为84.24%;斑马鱼平均重量为0.0656 g ·条-1.
2.2 实验设计
微宇宙系统建立:微宇宙实验装置参考美国环保署的标准方法(Acute Dermal Toxicity,1996)采用室内静水养殖系统箱构建.向养殖箱(80 cm×40 cm)内加入约20 kg的沉积物,然后加60 L水.栽入水蕴草,老化运行一段时间后,放入经驯化的斑马鱼,实验期间室内温度控制在(30±2)℃,pH值控制在7.0±0.2、溶氧>4 mg · L-1.系统稳定后,加入脱水红霉素溶液(用3 mol · L-1 H2SO4调节红霉素溶液的pH值到3.0,在室温下搅拌4 h),使系统水相红霉素浓度达到500 μg · L-1.分别在0、0.5、1、4、7、10、14、21、30 d取样,分别检测水、沉积物、水草和鱼中脱水红霉素的含量,每种样品设3个平行样.
空白对照实验:把1 L 500 μg · L-1红霉素溶液倒在烧杯中,放置在与微宇宙系统相同的位置,分别在0、0.5、1、4、7、10、14、21、30 d取样,检测水中红霉素浓度.
2.3 样品预处理
水样预处理参考吴维等(2011)测定饮用水体中抗生素残留的方法:水样过0.45 μm混合纤维树脂滤膜,用3.0 mol · L-1 H2SO4溶液调节水样pH,然后用预先经甲醇、超纯水、Na2EDTA的缓冲溶液活化的HLB小柱进行富集,再以5 mL甲醇淋洗HLB小柱,洗脱液收集于离心管中,在室温下用N2吹至近干,最后用甲醇定容,待测.
沉积物和水草预处理参考徐维海(2007)测定珠江沉积物中抗生素含量的方法:样品经冷冻干燥研磨后,称取适量置于离心管中,加入15 mL乙腈/柠檬酸钾缓冲溶液(按体积比1∶1),超声提取15 min,离心,转移上清液,并重复提取3次;合并上清液,旋转蒸发至近干,加入 Na2EDTA溶液重溶,然后加入预先经甲醇、超纯水、Na2EDTA的缓冲溶液活化的HLB小柱进行净化富集,再以5 mL甲醇淋洗HLB小柱,洗脱液收集于离心管中,在室温下用N2吹扫至近干,最后用甲醇定容,待测.
鱼预处理参考Jo等(Jo et al., 2011)检测鱼体和虾内大环内脂类抗生素残留的方法:样品经冷冻干燥研磨后,称取适量样品置于离心管中,向离心管中加入10 mL乙腈,超声提取15 min,离心,转移上清液,重复提取3次,合并上清液.向提取液中加入正己烷,振荡去脂10 min,离心,除去正己烷层,重复去脂1次;提取液旋蒸至近干,然后加入 Na2EDTA溶液重溶,再加入预先经甲醇、超纯水、Na2EDTA的缓冲溶液活化的HLB小柱进行净化富集,再以5 mL甲醇淋洗HLB小柱,洗脱液收集于离心管中,在室温下用N2吹扫至近干,最后用甲醇定容,待测.
2.4 分析方法
红霉素采用Agilent 1200 高效液相色谱和Agilent 6410 Triple Quad串联质谱仪进行检测.色谱条件:色谱柱,Agilent Eclipse Plus C18(2.1 mm×150 mm,3.5μm),前接ODS Hypersil预柱(2.1 mm×10 mm,5 μm);柱温30 ℃,流动相:乙腈(A)∶0.5% 甲酸溶液(B)=90∶10;流速0.25 mL/min;进样量10 μL.质谱条件:离子源为电喷雾(Electrospray ionization,ESI),正离子扫描;监测方式为多反应监测(Multiple Reaction Monitoring,MRM),电喷雾电压:4000 V;干燥气:N2(11 L · min-1,300 ℃);雾化气压力:15 psi.
2.5 数据分析模型
一级动力学模型:
式中,C0为水相中化合物初始浓度(ng · mL-1);t为时间(d);Ct为时间t时水相中化合物浓度(ng · mL-1).
沉积物-水分配系数Kd:
式中,CS为沉积物中化合物含量(ng · g-1);CW为水相中化合物浓度(ng · mL-1).
生物富集系数BCF:
式中,CB为生物体内化合物含量(ng · g-1);CW为水相中化合物浓度(ng · mL-1).
3 结果与讨论(Results and discussion) 3.1 红霉素在水体和沉积物中的变化
水中红霉素浓度随时间变化如图 2所示.从图中可以看出,红霉素在水相的浓度随着时间的增加逐渐减小.加药12 h后,水中红霉素浓度由初始的503.86 ng · mL-1迅速降到298.56 ng · mL-1,然后平缓降至30 d的188.14 ng · mL-1,水中红霉素消减率为62.66%.从空白对照实验数据可以看出,水相红霉素30 d的消减率为12.96%.由于红霉素属难挥发化合物,系统水相红霉素浓度的减少可能主要是迁移至系统中其他相的缘故.
图 2 水中红霉素浓度随时间变化
红霉素在沉积物中的含量随时间的变化如图 3所示.从图中可以看出,红霉素在沉积物中的含量持续上升. 30 d时沉积物中红霉素含量升至973.95 ng · g-1,这可能是与沉积物对红霉素的吸附有关.这与文献报道相符,土壤和沉积物对抗生素表现出较强的吸附能力,且主要受沉积物的有机物含量影响(Liang et al., 2013).沉积物中富含的有机质可提供阳离子交换位点,促进红霉素在沉积物上的吸附.
3.2 红霉素在生物体中的含量变化
图 4说明了红霉素在水草和斑马鱼体内含量随时间的变化情况.从图中可以看出,水草中红霉素的含量在3 d时达到最高值12581.27 ng · g-1,然后维持在一个稳定值,在15 d时水草中红霉素含量开始下降,于30 d时降至6745.96 ng · g-1,这可能与水草的生理特性有关.水生植物的表皮薄,可直接从水中吸收水分和养分.初始红霉素在水相的浓度较高,水中的红霉素在浓度梯度作用下自由扩散被吸收进入水草体内,并在体内积累;由于水生植物对红霉素有代谢降解作用(Pomati et al., 2004),进入水草体内的红霉素存在吸收和降解的平衡,故水草中红霉素含量维持相对稳定;之后,随着水相红霉素浓度的降低,水草从水中吸收红霉素速度减慢,慢于其代谢红霉素的速率,水草内红霉素浓度开始下降.
图 4 生物体中红霉素随时间变化
斑马鱼体内红霉素含量随时间的变化大致相同,呈现先增加后下降的规律.在3 d时达到最高值1285.42 ng · g-1,不同之处在于,斑马鱼体内没有吸收与降解的平衡过程.3 d后即开始减少,30 d时斑马鱼体内红霉素浓度降到308.52 ng · g-1,这可能是与水生鱼类与水生植物对污染物的吸收代谢作用存在差别有关.鱼类通过腮呼吸、皮肤接触或摄食水中微生物和悬浮颗粒吸收水中红霉素;同时,可通过新陈代谢或排泄作用将红霉素转化或排出.这与文献报道结果相一致,Vendrell等(Vendrell et al., 2012)研究了红霉素在虹鳟鱼体内富集与代谢动力学特性发现:虹鳟鱼对红霉素有代谢降解作用,在实验初始时虹鳟鱼体内红霉素浓度为1173.83 ng · g-1,在第8 d时虹鳟鱼体内红霉素浓度低于检测限.
3.3 红霉素在水生生态系统中的分布规律
图 5为红霉素在模拟生态系统各相的分布情况.从图中可以看出,水中红霉素逐渐减少.用一级动力学方程对红霉素在空白试验和模拟生态系统水相中的消减数据进行拟合,拟合参数如表 2所示.从拟合结果可以看出,红霉素在空白实验中的半衰期为113 d,而在模拟生态系统水相中的半衰期为42 d,这主要是由于模拟生态系统中其它相的存在促进了水相中红霉素的消减.Carstens等(Carstens et al., 2013)曾研究磺胺在水-底泥模拟生态系统中的转化,结果发现:磺胺在不同水-底泥模拟生态系统水相中半衰期为2.7~17.8 d,与之相比,红霉素的残留时间更长,应当考虑其对水生生态系统的影响.
图 5 红霉素在模拟系统中的分布规律(a)和生物体中所占投加量百分比
表 2 红霉素在水相中的一级动力学拟合参数
红霉素进入模拟生态系统后将发生迁移.沉积物是红霉素的主要富集场所.为了评价其在沉积物中的积累能力,这里用沉积物-水分配系数来进行评估.Kd值越大,则积累能力越强.通过计算得出,红霉素的最高Kd值为5.18 L · kg-1,与文献报道数据相一致.Zhang等(Zhang et al., 2011)报道了泰乐菌素在不同农业土壤上的Kd在1.7到12 L · kg-1之间;Thiele和Tolls(Thiele,2000; Tolls,2001)报道,磺胺类抗生素在不同pH和有机质含量的土壤上Kd为2.4和3 L · kg-1.而Liang等(Liang et al., 2013)采集实际沉积物样品计算得出,脱水红霉素在珠江口沉积物中的Kd为105 L · kg-1,Kim等(Kim and Carlson,2007)算得红霉素在Cache La Poudre河中的采集的实际样品的分配系数Kd为211 L · kg-1.可见根据实际样品计算的分配系数显著高于实验所得,这可能是由于实际环境中沉积物中的红霉素是长期积累的结果,因此并不能真实反映沉积物对抗生素的实际积累能力.因此,仅通过对实际环境样品进行采样分析得出的沉积物-水分配系数,可能会高估沉积物的积累能力.
同时,水草和斑马鱼对红霉素也表现出一定的富集作用.生物富集系数BCF是评估化合物在水生生物体内富集情况,以及评估化合物对生物体毒性的重要参数.通过计算红霉素在斑马鱼和水草体内的生物富集系数BCF,对红霉素在斑马鱼和水草体内的富集情况进行比较,发现:红霉素在水草中的富集能力高于斑马鱼.计算所得红霉素在水草中的富集系数BCF最高值达到46.05 L · kg-1,而在斑马鱼体内则仅为4.40 L · kg-1,相差一个数量级.化合物在生物体的富集除了和生物体的脂肪含量相关外,还与化合物在生物体代谢速率有关.红霉素在水草中的富集能力比在斑马鱼体内高,可能是与红霉素在斑马鱼体内的代谢速率较快有关.Liu等(Liu et al., 2013)研究罗红霉素在鲫鱼体内的富集、代谢发现:罗红霉素在鲫鱼肝、血液、腮和肌肉的BCFs分别为2.15~38.0、0.950~20.7、0.0506~19.7和0.0439~13.8 L · kg-1,同时研究指出鱼体血液中罗红霉素的代谢产物与人体血液罗红霉素的代谢产物一致.根据国际的生物蓄积性标准BCF > 5000 L · kg-1判断,红霉素属于非生物累积性物质.但需要注意的是,尽管红霉素属于非生物累积性物质,却依然可对水生生物产生一定的毒性作用.红霉素在水草中富集量少,但其含量已达到6000 ng · g-1以上,显著高于文献报道的最大半数有效浓度0.036 mg · L-1,而且据Eguchi等(Eguchi et al., 2004)的研究发现,低浓度红霉素即可对水生植物的生长产生影响,Vannini等(Vannini et al., 2011)的研究指出抗生素被水生植物吸收后主要富集叶绿体及光合器内,进而抑制其的光合作用,而光合作用是生态系统的基础.对于鱼类而言,Kiryu等(Kiryu and Moffitt, 2002)研究红霉素对4种不同鲑鱼半数致死剂量LD50为350~1041 mg · kg-1.虽然本研究中鱼体内的红霉素浓度低于文献报道的半数致死剂量,但根据美国科学院的毒性物质危险划分标准,从斑马鱼对红霉素的富集能力看,红霉素对鱼类的毒性依然表现出轻度毒性.由于红霉素在水生植物体内的代谢能力低于鱼类,同时又表现出一定的毒性和敏感性,因此,在评估红霉素的生态环境风险时,应注意其对水生植物的影响.
4 结论
红霉素进入模拟水生生态系统后,水相的半衰期为42 d,沉积物为主要富集场所,可积累56.46%的红霉素;同时,水草和斑马鱼对红霉素亦有一定的吸收富集能力,水草和斑马鱼可分别吸收和富集1.04%和0.0402%的红霉素;水草对红霉素的富集能力高于斑马鱼,其最高富集系数在水草和斑马鱼内分别为46.05 L · kg-1和4.40 L · kg-1,在考虑评估红霉素的生态环境风险时,应注意其对水生动植物的影响.














