1 引言
污泥是污水处理过程中产生的副产物,具有多种微生物形成的菌胶团及其吸附的多种有机物和无机物(Smith,2009).同时,污泥中还含有大量的病原菌、寄生虫、致病微生物,以及砷、铜、铬、汞等重金属和二噁英等难降解的有毒有害物质(周立祥等,2000).目前,污泥如何处理与处置已成为我国突出的环境问题之一,其处理处置方式主要有:卫生填埋、污泥农用、污泥干化和热处理、污泥焚烧及海洋倾倒.由于污泥焚烧具有使剩余污泥减量化到最小,污泥处理速度快,可就地焚烧及可以回收能量用于发电和供热等优点而被广泛采用(刘敬勇,2010).
初始污泥含水率一般在97%~99%,目前国内污水处理厂多采用聚丙烯酰胺(PAM)高分子絮凝剂作为调理剂,经离心或带式压滤机脱水后获得的泥饼含水率仍达75%~85%,且残留在污泥中的高分子有机物具有二次污染风险(张强等,2013).在国家“十二五”规划中规定,城市污水处理厂污泥含水率必须低于60%才能外运(Deng et al., 2009),因此,需在污泥处理过程中加入调理剂进行深度脱水.目前,关于调理剂对污泥深度脱水的影响和应用,国内外学者展开了大量的工作.例如,吴幼权等(2009)采用复合絮凝剂 CAM-CPAM 调理污泥,以脱水率及沉降速率为主要评价指标,获得了较好的脱水效果.李恺等(2010)研究了表面活性剂对改善污泥脱水性能的影响,结果表明,加调理剂后的泥饼含水率可降至68.73%.刘欢等(2011)采用FeCl3与生石灰、粉煤灰两种骨架构建体为主要成分的无机复合调理剂对市政污泥进行处理,脱水率可降至73%左右.
可见,调理剂的应用可以有效地降低污泥的含水率,这意味着未来处理的对象多为深度处理污泥.Xu 等(2008)研究发现,CaO的添加能固定CO2,并且使H2的产量增加.Virginie等(2012)在污泥热解中加入铁盐,发现其具有催化作用,能促进焦油和挥发分的裂解.Folgueras等(2010)研究表明,不同的调理剂会不同程度地改变矿质元素含量及存在形态,从而影响污泥的热物化性质.但目前有关调理剂对污泥燃烧特性影响的研究还鲜见报道.
热重分析是目前固体热分析的重要手段之一,国内外有许多学者利用热分析法对不同类型污泥及其与煤燃烧的行为进行了研究. 如Fullana等(2001)分析比较了7种污泥的热重曲线,指出具有不同理化性质的污泥在燃烧过程中表现出很大的差异. Otero等(2002)分析了3种不同类型污泥的燃烧过程,并对它们与煤混烧时燃烧特性参数的变化规律进行了研究.温俊明等(2004)从污泥的热重分析曲线中得出了由3个独立的、连续的平行反应组成的动力学模型,求出了热解动力学参数和方程.王兴润等(2007)利用热重分析研究了3种不同来源的污泥燃烧特性,指出水处理工艺和污泥处理工艺对污泥中有机物分布和燃烧特性的影响.胡勤海等(2008a)通过热重实验,分析了水煤浆中掺混不同比例城市污泥后的燃烧特性.因此,可以利用TG-DTG来研究FeCl3/CaO对深度脱水污泥的燃烧特性影响.
基于此,本文主要利用热重分析法研究调理剂FeCl3/CaO深度脱水后的市政污泥的燃烧特性,重点研究调理剂FeCl3/CaO不同添加量及不同升温速率对污泥燃烧特性的影响.同时,通过实验数据求出试样的动力学参数,以摸清此调理剂处理对污泥燃烧特性的影响,以期为深度处理污泥的处理处置及污泥燃烧设备的优化设计、运行及燃烧工况的组织提供理论参考.
2 材料和方法
2.1 实验设备与条件
实验采用北京恒久科学仪器厂生产的综合热分析仪HCT-3,从中可以获得TG、DTA、DTG及温度曲线. 其他主要技术参数如下:热天平精度 0.1 mg;温度范围为室温~1500 ℃;升温速率范围为0~30 ℃ · min-1;实验气氛为空气.
实验条件:样品粒径小于80目,试样质量10 mg左右,实验氛围为空气,流量为50 mL · min-1.
2.2 样品采集
试样为取自广州某大型城市污水处理厂二沉池入口的污泥,3种试样的调理与制备过程如表 1所示,样品分析结果如表 2所示.
表1 试样的调理与制备
3 实验结果与讨论
3.1 FeCl3/CaO用量对污泥燃烧特性的影响
从工业分析结果来看(表 2),此污泥挥发分高,难燃烧的固定碳少,因此,污泥易于着火燃烧.3种试样在升温速率为10 ℃ · min-1时的势量(TG)、微商势量(DTG)和差热分析(DTA)特性曲线如图 1所示.由TG特性曲线可以发现,失重率为试样S1最高,试样S2次之,试样S3失重率最低,这是由于随着调理剂添加量的增大,试样中的灰分增多,可燃质比重减小.
图 1 3个试样的TG、DTG和DTA曲线
从燃烧特性曲线发现,试样在燃烧过程可分为4个阶段(蒋光旭等,1999;贾相如等,2005):第1阶段(室温~173.53 ℃)为水分的析出,这主要是由污泥中自由水和结合水损失引起的;第2阶段为挥发分1燃烧阶段,第3阶段为挥发分2及固定碳的燃烧阶段,此两个阶段为污泥燃烧的主要阶段,失重最大,占总失重77%以上.从DTG特性曲线中发现,市政污泥的最大燃烧速率随FeCl3/CaO添加量的增加而增大,且试样S1在失重第2阶段(173.53~372.84 ℃)、第3阶段(372.84~568.76 ℃)各有1个峰,而加了调理剂FeCl3/CaO后的试样S2、S3只有在第2阶段(180.24 ℃到353.57~382.43 ℃)有1个明显的失重峰,而第3阶段(353.57~382.43 ℃到610 ℃)为1个侧峰;且第2阶段的失重峰峰值随着调理剂添加量的增大而增大,而第3阶段的失重峰与之正好相反.而从DTA特性曲线也可以看出,随着添加量的增多,第2阶段的DTA峰面积增大,则此阶段的放热量增大.这是由于试样S2、S3加入FeCl3/CaO调理后,CaO能分解污泥中的部分有机物,使难燃烧的有机物分解为易于燃烧有机物(张永发等,2010);同时,CaO对挥发分的析出有一定的催化作用.这与许多学者的研究结果吻合(周宏仓等,2013; 张强等,2014).调理剂的加入对于固定碳的燃烧及挥发分的燃烧起到了一定的催化作用,同时挥发分含量提高,使得第3阶段反应提前,在低升温速率下形成侧峰.第4阶段(568.76 ℃~反应结束)为无机物分解阶段.从曲线中发现,试样S1在600 ℃以后基本没有明显的失重峰,但调理剂深度脱水后的泥样,在失重第4阶段出现了1个小峰,且试样S3尤为明显.由于泥样S3加入了大量的FeCl3和CaO,试样中无机成分增加,同时CaO会固定CO2生成CaCO3;谭中欣等(2006)研究发现,在空气气氛下,CaCO3在600 ℃ 时开始分解,其化学方程式为:CaCO3→CaO + CO2.因此,此阶段主要应为碳酸钙的分解阶段.
3.2 升温速率对泥样燃烧特性的影响
试样S3的TG、DTG和DTA特性曲线如图 2所示.由图 2可以看出,随着升温速率的增大,试样的TG曲线向高温区偏移,产生了燃烧滞后现象,但总燃尽率基本一致.这是由于污泥在燃烧中,升温速率过快,影响了试样内外层之间的传热温差和温度梯度,部分有机物来不及分解燃烧而产生滞后现象(刘敬勇,2010). 从DTG特性曲线来看,试样S3在燃烧时出现了4个失重峰,其中,前3个峰较为明显. 随着升温速率的提高,失重峰越来越明显,峰值与峰面积变大,并且向高温区偏移. 随着升温速率的增加,第3个失重峰由1个侧峰变成1个小失重峰. 这是由于低升温速率下,挥发分的析出速度慢,第2阶段和第3阶段的挥发分反应温度区重叠.当升温速率上升,挥发分析出速度快,反应区重叠部分减少,从而导致第3阶段的失重峰在低升温速率为侧峰,高升温速率为一小峰. 由DTA特性曲线可知,水分析出过程中,DTA处于负峰,则说明此为吸热过程;而第1阶段以后的都处于放热过程.试样燃烧中热量的释放主要集中在第2、第3阶段,且随着升温速率的提高,反应越激烈,放出的热量越多.
图 2 不同升温速率下试样S3燃烧的 TG、DTG和DTA曲线
3.3 燃烧特性参数分析
在燃烧特性实验中,污泥的燃烧特性以TG、DTG及DTA 3种曲线来反映.从3种曲线的数据可以得出相关的燃烧特性参数,包括着火温度Ti、着火时间te、最大燃烧速率(dw/dτ)max和对应的峰值温度Tmax及时间tp、平均燃烧速率(dw/dτ)mean、燃尽温度Th、(dw/dτ)/(dw/dτ)max=1/3、1/2所对应的温度区间ΔT1/3、ΔT1/2及ΔT1/2所对应的时间Δt1/2. 其中,着火温度利用TG-DTG(聂其红等,2001)联合定义法来确定.试样的燃烧特性参数如表 3所示.
表3 实验污泥的燃烧特征参数
这些特性参数在一定程度上反映了污泥燃烧时的特性,而单纯只靠燃烧特性参数并不能较为全面地反映污泥的燃烧特性. 因此,本文同时借助了燃烧特性指数进一步分析污泥的燃烧情况. 试样的燃烧特性参数如表 4所示.
表4 实验污泥的综合燃烧特性参数
3.3.1 可燃性指数
对于可燃性指数C(式(1))而言,其值越大,则试样的着火稳定性越好(胡勤海等,2008b).由表 4可知,调理剂FeCl3/CaO的加入有助于试样着火稳定性的提高. 随着调理剂添加量的增加,可燃性指数C增大,试样的燃烧稳定性越好. 这由于加入调理剂后催化了挥发分的析出速度(从表 3的最大燃烧速率可以看出),使试样在燃烧时能迅速补充可燃物,保证了试样着火的稳定性.
对比不同升温速率的可燃性指数C可以发现,升温速率的提高也有助于试样燃烧稳定性的提高.这是由于升温速率快,保证了试样在燃烧时有足够的热量,同时也加快了挥发分析出速度,从而提高了试样的着火稳定性.
3.3.2 挥发分特性指数
燃料燃烧过程中,挥发分的析出直接影响燃烧的着火温度,挥发分特性指数D(陈建原等,1987)可对试样燃烧挥发分析出情况进行描述,D越大,试样的挥发析出特性越好,燃烧反应越易进行,越有利于污泥的燃烧,其公式如下:
由表 4可以看出,随着调理剂FeCl3/CaO添加量的增加,试样的挥发分析出速率在不断的提高,说明这种调理剂有助于试样的燃烧进行.这是由于CaO分解了部分难燃烧的有机物,使低温区有机物增多,同时在燃烧过程中加快了氧的扩散速度,使挥发分析出速率加快(刘敬勇等,2009).
对于调理后深度脱水的污泥,升温速率的提高也有助于试样挥发分析出性的提高.相比于添加量,升温速率对于试样的挥发分析出性影响更大.这是由于升温速率的提高,为试样燃烧提供了更多的热量,提高了分子的热运动,能更好地提升挥发分析出速度.
3.3.3 燃尽指数
试样在燃烧过程中失重占总失重的98%时所对应的温度为燃尽温度Th. 燃尽特性是表征可燃物燃烧性能的一个重要指标,可用燃尽指数Cb(聂其红等,2001)来描述市政污泥的燃烧特性,其定义如下:
式中,τ0为燃尽时间,即试样从燃烧开始到燃烧98%可燃质的时间;f1为初期燃尽率,即着火点对应的试样失重量与试样中可燃质含量的比值,其值大小反映了挥发分相对含量对污泥着火特性的影响;f为总燃尽率,其值为τ0时刻所对应的试样失重量与试样中可燃质含量的比值;后期燃尽率f2= f -f1,其值大小反映了污泥中碳的燃尽性能;其中,f1反映了挥发分相对含量、污泥着火特性的影响,f1越大,污泥可燃性越佳;f2反映了污泥中碳的燃尽性能,与含碳量、碳的存在形态等特性有关,f2越大,污泥的燃尽性能越佳. Cb综合考虑了污泥的着火和燃烧稳定性等因素对燃尽的影响,其值越大表明市政污泥的燃尽性能越好.
由表 4可以看出,初期燃尽率f1随着调理剂添加量的增加,先增加后减少,而后期燃尽率f2与之相反.通过燃尽指数Cb发现,S2>S3>S1,说明适量的调理剂添加量能略微提高试样燃尽性能,但过量添加会降低其燃尽性能.对比试样S3不同升温速率下的Cb可以发现,升温速率越高,其燃尽性能越好,则高升温速率有利于试样燃尽性能的提高.
3.3.4 综合燃烧特性指数
为全面评价试样的燃烧情况,采用综合燃烧特性指数S(Shen et al., 2000)来表征试样的整体燃烧特性,S全面反映了试样的着火和燃尽性能,其值越大说明试样的综合燃烧性能越佳,具体公式如下:
由表 4可以看出,不同试样的综合燃烧指数由大到小依次为:S2、S1、S3.少量的药量能略微提高污泥的综合燃烧指数,但过多的药量却会降低试样的综合燃烧性能.说明适量的调理剂有助于污泥燃烧,过量添加不利于污泥燃烧. 这是由于一定量调理剂的加入可以较好地提高挥发最大燃烧速率,综合燃烧性能有小幅度提升;而超过此添加量后,挥发最大燃烧速率提高不大,而随着添加量的增大,无机物增多,燃尽温度延后及平均燃烧速率降低,从而导致过多的添加量会降低试样的综合燃烧性能.
3.4 反应动力学参数的确定
污泥失重过程中的热解反应可以简写为式(5),忽略温度对活化能的影响,根据质量作用定律可以得到试样燃烧速率方程(6).
式中,τ为反应时间(min),k为速率常数(min-1),n为反应级数,a为转化率,W0是试样初始质量(mg),WT为试样在温度T时的质量(mg),W∞为实验燃烧最终质量(mg).
由Arrhenius公式可得:
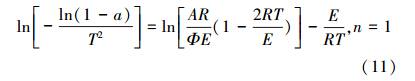
式中,R为气体常数,取值为8.314 J · mol-1 · K-1;E为表观活化能(J · mol-1);A为频率因子(min-1或s-1). 定义升温速率:φ= dT/dτ,联合以上各式,根据热重曲线,利用积分法(Coats-Redfern 方程)求解试样的燃烧动力学参数(陈镜泓等,1985):
根据Doyle关系(取前两项近似),积分移项得到:
令
,对本实验中反应温区及大部分E值、a值近似看成常数,令
. 则有Y=a+bX.
以不同的反应级数n代入式中求解,并进行线性拟合,比较数据的线性,线性越好则说明所选择的反应机理函数越适合,并由此直线的斜率求得活化能E.
污泥燃烧失重过程4个失重阶段(水分析出、挥发分1燃烧、挥发分2及固定碳燃烧、无机物分解)的反应是相互独立又连续平行的(温俊明等,2004).笔者在研究中将试样DTG曲线中燃烧速率较大的第2、第3阶段的失重峰峰值前后采用不同的燃烧机理模型来描述.
以试样S3(升温速率为10 ℃ · min-1)燃烧为例,分别在不同的反应机理下将峰前峰后横、纵坐标数据代入,并进行线性拟合(n分别取0.5、1、1.5和2),得出大多数情况下,峰前取反应级数n=0.5,峰后取n = 2 时,可决系数R2最大,各阶段的可决系数在0.9460~0.9999之间,线性比较好,说明此反应级数确定较为合理. 同时,通过确定反应级数进而确定反应曲线方程和活化能E,其图解见图 3.
图 3 试样S3挥发分第1个失重峰前后动力学参数图解
在燃烧动力学参数中,活化能代表反应物的分子由初始稳定状态变为活化分子所需要吸收的能量,活化能比着火温度更能从本质上表现试样的着火性能.从表 5来看,挥发分1前峰的活化能随升温速率的增大而有略微的增大.这是由于升温速率过快,导致试样颗粒内外温差大,颗粒外层热解气没及时扩散,影响到内部热解的进行.王辉等(2007)研究还指出,升温速率过快会导致水分析出后无法迅速被吹走,而在样品四周形成一种水蒸气幕屏蔽的效果,阻碍挥发分析出和热量的进入;同时,升温速率大对样品有热冲击,能使低升温速率下难断裂的侧链和官能团开始断裂,从而导致活化能增大.


表5 试样燃烧动力学参数
从不同试样的各个阶段活化能来看,调理剂FeCl3/CaO的加入使得挥发分1前峰的活化能增大,这与前述的着火点规律一致.而第3阶段的总失重峰的活化能随添加量的增加而减少. 这可能由于加入调理剂后,调理剂中的CaO能分解部分有机物,使原在高温下才能燃烧的有机物发生分解,使第2阶段挥发分含量增加,则第2阶段所需的活化能增大.
4 结论
1)试样在燃烧中有4个失重阶段:水分析出阶段、挥发分1燃烧阶段、挥发分2和固定碳燃烧阶段、以碳酸钙分解为主的无机物分解阶段,而没经调理剂处理的污泥,其第4阶段失重不明显.
2)随着调理剂添加量的增加,可燃性指数和挥发分特征指数得到提升,有利于污泥初期的燃烧;而市政污泥的燃尽指数和综合燃烧性能先略微上升后降低,说明适量的FeCl3/CaO添加有助于污泥燃烧,添加过多则对污泥燃烧不利.
3)通过对污泥燃烧动力学分析发现,大多数情况下,峰前取反应级数n=0.5,峰后取n=2. 表观活化能随FeCl3/CaO添加量的增加而升高.
4)随着升温速度的增加,泥样在燃烧过程中的特性曲线向高温区偏移,产生燃烧滞后现象,但对总燃尽率的影响不大;随升温速度的增大,试样的挥发分释放特性指数及综合燃烧指数的值变大,挥发分1燃烧所需活化能有略微的增大.














