一般规定
1、生物接触氧化池每个(格)平面形状宜采用矩形,沿水流方向池长不宜大于10m。其长宽比宜采用 1:2~1:1,有效面积不宜大于100m2 。
2、 生物接触氧化池由下至上应包括构造层、填料层、稳水层和超高。其中,构造层层高宜采用 0.6~1.2m,填料层高宜采用 2.5~3.5m,稳水层高宜采用0.4~0.5m,超高不宜小于 0.5m。
3、 生物接触氧化池进水端宜设导流槽,其宽度不宜小于 0.8m。导流槽与生物接触氧化池应采用导流墙分隔。导流墙下缘至填料底面的距离宜为0.3~0.5m,至池底的距离宜不小于 0.4m。
4、生物接触氧化池应在填料下方满平面均匀曝气。
5、当采用穿孔管曝气时,每根穿孔管的水平长度不宜大于 5m;水平误差每根不宜大于±2mm,全池不宜大于±3mm,且应有调节气量和方便维修的设施。
6、生物接触氧化池应设集水槽均匀出水。集水槽过堰负荷宜为 2.0~3.0L/(s•m) 。
7、生物接触氧化池底部应有放空设施。
8、当生物接触氧化池水面可能产生大量泡沫时,应有消除泡沫措施。
9、生物接触氧化池应有检测溶解氧的设施。
填料
1、 生物接触氧化池的填料应采用对微生物无毒害、易挂膜、比表面积较大、空隙率较高、氧转移性能较好、机械强度较大、经久耐用、价格低廉的材料。
2、当采用炉渣等粒状填料时, 填料层下部 0.5m 高度范围内的填料粒径宜采用 50~80mm,其上部填料粒径宜采用 20~50mm(常用炉渣填料的理化性能见附录 B) 。
3、当采用蜂窝填料时,孔径宜采用 25~30mm。材料宜为玻璃钢、聚氯乙烯等。
4、不同类型的填料可组合应用。
设计计算
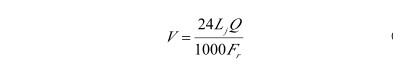
1、生物接触氧化池的填料容积应按下式计算:
式中 V ——生物接触氧化池的填料容积(m 3 ) ;
L j ——生物接触氧化系统进水五日生化需氧量 BOD 5 (mg/L) ;
Q ——生物接触氧化池设计流量(m 3 /h) ;
F r ——生物接触氧化池 BOD 5 填料容积负荷(kg/ m 3 •d) 。
2 、生物接触氧化池 BOD 5 填料容积负荷宜通过试验确定。当无试验资料且采用二段式系统,进入生物接触氧化系统的污水 BOD 5 为 60~80 mg/L 时,可按下列公式计算系统的填料容积负荷:
L ——生物接触氧化系统出水 BOD 5 (mg/L) 。
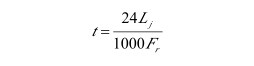
3 、生物接触氧化池中,污水与填料的接触时间可由下列公式计算或按表 采用:
式中 t——污水与填料的接触时间(h) ,不得小于 0.5h。
当采用二段式时, 污水在第一生物接触氧化池内与填料接触的时间宜为总接触时间的 55%~60%。
4、 生物接触氧化池的气水比宜通过试验或参照相似条件的运行资料确定。 当进水 BOD 5 为 60~180 mg/L, 且采用穿孔管在填料下方满平面均匀曝气时 ,二段式系统的总气水比可采用 3:1~7:1,其中,一氧池的气水比为 2:1~4:1 ,二氧池的气水比为 1:1~3:1.
5、生物接触氧化池曝气强度宜采用 10~20m 3 /(m 2 •h)。
6、 生物接触氧化系统产生的污泥量可按去除每公斤 BOD 5 产生0.35~0.4kg 干污泥计算。














