¡¡¡¡1 ÒýÑÔ
¡¡¡¡º¬Ç¦·ÏË®¶ÔÈËÌ彡¿µºÍ»·¾³µÄÆÆ»µÐÔÓ°Ïì¾Þ´ó£¬ÆäÖ÷ÒªÀ´Ô´Óڲɿó¡¢Ç¦Ò±Á¶¡¢ÖýÔ졢ǦÐîµç³ØµÄÉú²ú¡¢Ç¦ËáÐîµç³Ø»ØÊÕÀûÓõȹý³ÌÖеĹ¤Òµ·ÏË®.Ŀǰ³£Óù¤ÒÕÖ÷ÒªÓл¯Ñ§³Áµí·¨¡¢Îü¸½·¨¡¢ÉúÎï·¨¡¢Ä¤·ÖÀë·¨µÈ£¬¶à´æÔÚÏûºÄ´óÁ¿µÄ»¯Ñ§Ò©Æ·¡¢Ò×Ôì³É¶þ´ÎÎÛȾ¡¢Ç¦»ØÊÕÔÙÀûÓÃÂʲîµÈÎÊÌâ(¸ßÓÀµÈ£¬2005;ɳê»À׺ͳ½ðæÂ£¬2010;ÕÔÇìÁ¼µÈ£¬2011;³£ÓñµÈ£¬2009;Àõ˧µÈ£¬2011).º¬Ç¦·ÏË®µÄ´¦ÀíÓë×ÊÔ´»¯ÊǽüÄêÀ´¹¤ÒµÎÛË®´¦ÀíµÄÒ»´óÄÑÌâ.
¡¡¡¡¸ßÓ¨Ó¨(2013)²ÉÓú㶨Ħ¶û·¨Ñо¿Á˶þÈÉ»ùÝÁ»ÇËá(¼ò³ÆDNNSA»òHD)ºÍ¶þ-(2-ÒÒ»ù¼º»ù)ì¢Ëá(D2EHPA£¬ÉÌÆ·ÃûP204£¬¼ò³ÆHA)»ìºÏ·´½ºÍÅÌåϵ¶Ôº¬Ç¦·ÏË®µÄÝÍÈ¡¾»»¯£¬Ñо¿½á¹û±íÃ÷DNNSA-P204»ìºÏ·´½ºÍÅÌåϵ¶Ô·ÏË®ÖÐǦÀë×Ó¾ßÓÐÕýÐͬÝÍȡЧ¹û£¬ÝÍÈ¡¹ý³ÌÄܽϿì´ïµ½Æ½ºâ£¬ÓÍË®Ïà·Ö²ã¿ì.µ±ÝÍÈ¡¼Á×ÜŨ¶ÈΪ0.01 mol ¡¤ L-1£¬DNNSAÓëP204µÄĦ¶û±ÈΪ1 ¡Ã 1ʱ£¬ÐÝÍϵÊýR=4.27£¬ÕýÐͬÝÍȡЧ¹û×î¼Ñ£¬Óëµ¥Ò»DNNSA·´½ºÍÅÌåϵ(¸ßÓ¨Ó¨µÈ£¬2013)Ïà±È£¬DNNSA-P204»ìºÏ·´½ºÍÅÌåϵ±íÏÖ³öÒ»¶¨ÓÅÊÆ.È»¶øÄ³ÖÖÝÍÈ¡¼Á»òÝÍÈ¡ÌåϵÊÇ·ñÄÜʵÏÖ¹¤Òµ»¯µÄÒ»¸öÖØÒª±ê×¼£¬¼´ÊÇÝÍÈ¡¼Á±»·´ÝͺóµÄÖØ¸´ÀûÓÃЧ¹û¼°ÆäËðºÄ´óС.Òò´Ë¸ºÔØÓлúÏàµÄ·´ÝÍ£¬¼ÈÊDZ»ÝÍÎïÖʵÄÊͷŹý³Ì£¬ÓÖÊÇÝÍÈ¡¼ÁµÄÔÙÉú¹ý³Ì£¬ÊÇÝÍÈ¡·ÖÀë¼¼ÊõÑо¿Öбز»¿ÉÉÙµÄÒ»²½.
¡¡¡¡µ÷ÑÐÎÄÏ×·¢ÏÖ²ÉÓüòµ¥·´ÝÍÈ¡·¨¼´µÍËáÝÍÈ¡¸ßËá·´ÝÍ£¬¿ÉʵÏÖ¶Ô¸ºÔØÏ¡ÍÁÔªËØµÄ»ìºÏËáÐÔÁ×ÀàÝÍÈ¡ÌåϵµÄ·´ÝÍ(»ÆÐ¡ÎÀµÈ£¬2008;ÕÅÓÀÆæµÈ£¬2009)£¬ÈôÔÚ·´Ý͹ý³ÌÖÐÌí¼ÓÒ»¶¨Á¿µÄHEH/EHPÓÐÖúÓÚ¸ÄÉÆ¸ºÔØÖØÏ¡ÍÁµÄHDEHPµÄ·´ÝÍÐÔÄÜ£¬½ÏºÃµØÊµÏÖ¶ÔÏ¡ÍÁÔªËØµÄ»ØÊÕÀûÓÃ.Çñº£À˵È(2013)²ÉÓüòµ¥·´ÝÍÈ¡·¨ÊµÏÖÁ˶ԸºÔØÄøµÄµ¥Ò»DNNSA·´½ºÍÅÈÜÒºµÄ·´ÝÍ£¬ËùµÃ·´ÝÍÒº¿É×÷Ϊµç¶ÆÄøµÄÔÁϽøÒ»²½»ØÊÕÀûÓã¬ÊµÏÖÁ˶Ժ¬Äøµç¶Æ·ÏË®µÄ¾»»¯¼°×ÊÔ´»¯.
¡¡¡¡±¾ÎIJÉÓüòµ¥·´ÝÍÈ¡·¨¶Ô¸ºÔØÇ¦µÄDNNSA-P204úÓÍÈÜÒºµÄ·´ÝͽøÐÐÁËÑо¿£¬·Ö±ð¿¼²ìÁË·´ÝͼÁÖÖÀà¡¢·´ÝÍʱ¼ä¡¢·´ÝÍζȡ¢·´ÝÍÓÍË®±È(VO/VA)¡¢·´ÝͼÁŨ¶ÈµÈ¶Ô¸ºÔØÇ¦µÄDNNSA-P204»ìºÏ·´½ºÍÅÌåϵµÄ·´ÝÍÐÔÄܵÄÓ°Ïì.ÒÔÆÚͨ¹ýÝÍÈ¡ºÍ·´Ý͵õ½¸»¼¯Å¨ËõµÄº¬Ç¦Ë®ÈÜÒº£¬ÊµÏÖº¬Ç¦·ÏË®µÄ×ÊÔ´»¯¼°DNNSA-P204»ìºÏÝÍÈ¡¼ÁµÄÑ»·ÀûÓÃ;ʵÏÖÎÞÔü¹¤ÒÕ£¬¼õÉÙ»·¾³ÎÛȾ£¬²¢Îª½øÒ»²½µÄÓ¦ÓÃÑо¿Ìṩ»ù´¡ÀíÂÛÊý¾Ý.
¡¡¡¡2 ʵÑ鲿·Ö
¡¡¡¡2.1 ÊÔ¼Á¡¢²ÄÁϺÍÒÇÆ÷
¡¡¡¡DNNSA(50%(wt)£¬ËÕÖÝ»¯¹¤³§)£¬»Ç»¯ÃºÓÍ(³É¶¼Ê¯ÓÍ»¯¹¤¿Æ¼¼ÓÐÏÞ¹«Ë¾)¾ùΪ¹¤Òµ´¿£¬Î´×÷½øÒ»²½´¿»¯.ÆäÓàÒ©Æ·¾ùΪ·ÖÎö´¿.ʵÑéÒÇÆ÷Ö÷ÒªÓУºGGX-6ÐÍÈüÂü»ðÑæÔ×ÓÎüÊÕ·Ö¹â¹â¶È¼Æ(±±¾©º£¹âÒÇÆ÷¹«Ë¾)£¬ALC-210.4 Ð͵ç×ÓÌìÆ½(±±¾©Èü¶àÀû˹ÒÇÆ÷ϵͳÓÐÏÞ¹«Ë¾)£¬THZ-C-1ÐĮ́ʽÀä¶³ºãÎÂÕñµ´Æ÷(½ËÕÌ«²ÖÊÐʵÑéÉ豸³§)£¬FT-IRºìÍâ¹âÆ×ÒÇ(Nicolet IS10£¬ÃÀ¹úThermo Scientific¹«Ë¾)£¬¹ã½Ç¼¤¹â¹âÉ¢ÉäÒÇ(BI-200SM£¬ÃÀ¹ú²¼Â³¿Ëº£ÎÄÒÇÆ÷¹«Ë¾).
¡¡¡¡2.2 ʵÑé·½·¨
¡¡¡¡½«º¬Ç¦Ä£Äâ·ÏË®ºÍDNNSA-P204úÓÍÈÜÒºÖÃÓŲ́ʽÀä¶³ºãÎÂÕñµ´ÏäÖкãÎÂ30 minÒÔÉÏ£¬°´ÓÍË®±È(VO/VA)1 ¡Ã 2×¼È·ÒÆÈ¡Á½ÏàÓÚ¸ÉÔï½à¾»µÄ×¶ÐÎÆ¿ÖУ¬ÖÃÈę̈ʽºãÎÂÀä¶³Õñµ´ÏäÖнøÐÐÝÍÈ¡;ÝÍÈ¡Íê³Éºó½«»ìºÏÈÜÒºÒÆÈë·ÖҺ©¶·¾²Ö÷ֲ㣬·ÖÀëϲãË®Ï࣬ÉϲãÓлúÏ༴Ϊ·´ÝÍʵÑéËùÐèµÄ¸ºÔØÇ¦µÄÓлúÏà.·ÖÎöË®ÏàÖÐǦÀë×ÓŨ¶È(¹¢Þ±£¬2010)£¬Í¨¹ýÎïÁϺâËãµÃµ½ÓлúÏàÖÐǦÀë×ÓŨ¶È.
¡¡¡¡½«Ç¦Àë×ÓŨ¶ÈΪ0.019 mol ¡¤ L-1µÄDNNSA-P204úÓÍÈÜÒººÍÒ»¶¨Å¨¶ÈµÄ·´ÝͼÁ°´Ò»¶¨ÓÍË®±È¼ÓÈë×¶ÐÎÆ¿ÖУ¬ÖÃÓÚÒ»¶¨Î¶ȵĄ̈ʽÀä¶³ºãÎÂÕñµ´Æ÷ÖнøÐз´ÝÍʵÑé.Ò»¶¨Ê±¼äºóÈ¡³ö×¶ÐÎÆ¿£¬¾²Ö÷ֲãºó£¬È¡Ï²ãË®Ï࣬·ÖÎöǦÀë×ÓŨ¶È£¬¼ÇΪ CPb2+(aq).
¡¡¡¡3 ½á¹ûÓëÌÖÂÛ
¡¡¡¡3.1 ·´ÝͼÁÖÖÀà¶Ô·´ÝÍÂʵÄÓ°Ïì
¡¡¡¡Ó°Ïì·´½ºÍÅÝÍÈ¡¹ý³ÌµÄÖ÷ÒªÒòËØÓбíÃæ»îÐÔ¼ÁµÄÖÖÀࡢŨ¶È¡¢Ë®ÏàpHÖµ¡¢Ë®ÏàÀë×ÓÇ¿¶ÈºÍζȵȣ¬³ý¿ØÖÆË®ÏàpHÖµÍ⣬»¹¿ÉÒÔ²ÉÓõ÷½ÚË®ÏàÀë×ÓÇ¿¶ÈÀ´ÊµÏÖ·´ÝÍÈ¡(Ð챦²ÆµÈ£¬2004).ʵÑéËùÑ¡·´ÝͼÁ·Ö±ðÑ¡ÔñÕôÁóË®ÒÔ¼°0.1 mol ¡¤ L-1µÄNaOH¡¢NaCl¡¢KCl¡¢HCl¡¢HNO3.
±í 1 ²»Í¬·´ÝͼÁ¶ÔǦ·´Ý͵ÄÓ°Ïì
¡¡¡¡ÓÉÉϱí¿ÉÖª£¬NaOHÓëǦÀë×Ó·´Ó¦Éú³ÉPb(OH)2³Áµí£¬µ«ÊÇÔÚpH¡Ý12ʱ£¬Pb(OH)2ÈÜÓÚÇ¿¼îʱÐγÉÑÇǦËáÑΣ¬ËùÒÔNaOHÈÜÒº¶ÔDNNSA-P204¸ºÔØÇ¦µÄúÓÍÈÜÒºÓÐÒ»¶¨µÄ·´ÝÍЧ¹û.¼ÓÈëÏõËáºÍÑÎËáʱ·´ÝÍȡЧ¹û¶¼±È½ÏºÃ.ÓÉÓÚÏõËáǦˮÈÜÐÔ×îºÃ£¬Æä¹¤ÒµÓÃ;½Ï¹ã£¬ÒÔÏÂʵÑé¾ù²ÉÓÃÏõËá×ö·´ÝͼÁ£¬ÒÔÏõËáǦµÄÐÎʽ»ØÊÕǦ.
¡¡¡¡3.2 ·´ÝÍʱ¼ä¶ÔǦ·´Ý͵ÄÓ°Ïì
¡¡¡¡·´ÝÍʱ¼äÊÇÓ°ÏìǦ·´Ý͵ÄÒ»¸öÖØÒªÒòËØ£¬¿¼²ì²»Í¬·´ÝÍʱ¼ä¶ÔǦ·´Ý͵ÄÓ°Ïì.ÓÉͼ 1¿ÉÖª£¬´Ë·´Ý͹ý³ÌËÙÂʽϿ죬µ±·´ÝÍʱ¼ä³¬¹ý5 minºó£¬Ë®ÏàÖÐǦÀë×ÓŨ¶È»ù±¾±£³Ö²»±ä£¬¿ÉÊÓΪ´ïµ½·´ÝÍÆ½ºâ£¬ÒÔÏÂʵÑé·´ÝÍʱ¼ä¾ù²ÉÓÃ5 min.
ͼ 1 ²»Í¬·´ÝÍʱ¼ä¶ÔǦ·´Ý͵ÄÓ°Ïì(·´ÝͼÁΪÏõËá¡¢·´ÝͼÁŨ¶ÈΪ0.5 mol ¡¤ L-1¡¢·´ÝÍζÈΪ298 K¡¢ÓÍË®±È(VO/VA)Ϊ1 ¡Ã 1¡¢×ªËÙ200 r ¡¤ min-1)
¡¡¡¡3.3 ·´ÝÍζȶÔǦ·´Ý͵ÄÓ°Ïì
¡¡¡¡Î¶ÈÊÇ·´Ý͹ý³ÌµÄÒ»¸öÖØÒª²ÎÊý£¬¿¼²ì²»Í¬·´ÝÍζȶÔǦ·´Ý͵ÄÓ°Ï죬ʵÑé½á¹ûÈç±í 2.
±í 2 ²»Í¬·´ÝÍζȶÔǦ·´Ý͵ÄÓ°Ïì
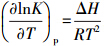
¡¡¡¡ÔÚÒ»¶¨ÊµÑéÌõ¼þÏ£¬·ÖÅä±ÈDÓ뷴Ӧƽºâ³£ÊýK³ÊÏßÐÔ¹ØÏµ(ÀîÒԹ磬1988)£¬¸ù¾ÝVan¡ät Hoff·½³Ì£º
£¬¿ÉµÃlgD=lgD0-
£¬ÆäÖУ¬RΪͨÓÃÆøÌå³£Êý£¬ÆäֵΪ8.314 J ¡¤ mol-1 ¡¤ K-1; DΪ·ÖÅä±È;¦¤HΪ·´Ó¦µÄìʱä(J ¡¤ mol-1);TΪζÈ(K).×÷²»Í¬Î¶ÈÏÂlgDÓë1/T¹ØÏµÍ¼(ͼ 2)£¬¸ÃÖ±ÏßбÂÊ-
Ϊ49.24£¬¹Ê¼ÆËã¿ÉµÃ¸Ã·´ÝÍ·´Ó¦µÄìʱäΪ£º¦¤H=-942.7 J ¡¤ mol-1£¬¸Ã·´Ý͹ý³ÌΪ·ÅÈȹý³Ì£¬½µµÍζÈÓÐÀûÓÚǦÀë×ӵķ´ÝÍ.Óɱí 2Ò²¿É¿´³ö£¬Ëæ×ÅζÈÉý¸ß£¬·´ÝÍÂÊËäÓнµµÍµ«±ä»¯²»ºÜ´ó£¬ÁíÒ»·½ÃæËäÈ»µÍÎÂÓÐÀûÓÚ·´Ý͵«ÊÇζȹýµÍÓлúÏàÕ³¶ÈÔö¼Ó£¬»á¼Ó´ó¶¯Á¦ÏûºÄ.¹Ê×ۺϿ¼ÂÇ£¬·´ÝÍζȿÉÑ¡Ôñ298¡«303 K.
ͼ 2 lgDÓë1/T¹ØÏµÍ¼
¡¡¡¡3.4 ·´ÝͼÁŨ¶È¶ÔǦ·´Ý͵ÄÓ°Ïì
¡¡¡¡¿¼²ì²»Í¬Å¨¶ÈµÄ·´ÝͼÁÏõËá¶ÔǦ·´Ý͵ÄÓ°Ï죬ʵÑé½á¹ûÈçͼ 3Ëùʾ.ÓÉͼ 3¿ÉÖª£¬Ëæ·´ÝͼÁÏõËáŨ¶ÈÔö¼Ó£¬Ç¦µÄ·´ÝÍÂÊÌá¸ß£¬·´ÝͼÁÏõËáŨ¶ÈÔ½¸ßÔ½ÓÐÀûÓÚ·´ÝÍ;µ±·´ÝͼÁŨ¶ÈΪ³¬¹ý0.6 mol ¡¤ L-1Ë®ÏàÖÐǦÀë×ÓŨ¶È±ä»¯²»´ó£¬¹Ê·´ÝͼÁÏõËáµÄŨ¶È¿ÉÑ¡Ôñ0.6 mol ¡¤ L-1.
ͼ 3 ²»Í¬ÏõËáŨ¶È¶ÔǦ·´Ý͵ÄÓ°Ïì(·´ÝͼÁΪÏõËá¡¢ÝÍȡζÈΪ298 K¡¢·´ÝÍʱ¼äΪ5 min¡¢ÓÍË®±È(VO/VA)Ϊ1 ¡Ã 1¡¢×ªËÙ200 r ¡¤ min-1)
¡¡¡¡3.5 ·´ÝÍÓÍË®±È¶ÔǦ·´Ý͵ÄÓ°Ïì
¡¡¡¡¿¼²ìÁ˲»Í¬ÓÍË®±È¶ÔǦ·´Ý͵ÄÓ°Ï죬ʵÑé½á¹ûÈç±í 3Ëùʾ.
±í 3 ²»Í¬ÓÍË®±È¶ÔǦ·´Ý͵ÄÓ°Ïì
¡¡¡¡ÔÚ·´Ý͸ºÔØÓлúÏàʱ£¬µÃµ½¸»¼¯Å¨ËõµÄº¬Ç¦ÈÜÒºÓÐÀûÓÚ»ØÊÕÀûÓÃǦ£¬Òò´ËÏ£Íû²ÉÓþ¡¿ÉÄÜ´óµÄÓÍË®±È(VO/VA)½øÐз´ÝÍ£¬µ«½Ï´óµÄÓÍË®±È»á½µµÍ·´ÝÍÂÊ.ÔÚʵ¼Ê·´Ý͹ý³ÌÖÐͨ³£²ÉÓö༶ÝÍÈ¡²Ù×÷£¬Êʵ±µÄµ¥¼¶·´ÝÍЧÂʼ´¿É»ñµÃÀíÏëµÄ·´ÝÍЧ¹û;ͬʱ£¬Êµ¼Ê·´Ý͹ý³ÌÑ¡ÔñÓÍË®±Èʱ£¬Ó¦½áºÏʵ¼Ê·ÏˮŨ¶ÈÒÔ¼°¸ºÔØÓлúÏàµÄŨ¶È£¬×ۺϿ¼ÂÇ·´ÝÍЧ¹û¡¢¸»¼¯ÄÜÁ¦ÒÔ¼°¾¼ÃÐ§ÒæµÈÒòËØ.ÔÚ±¾ÊµÑéÖУ¬ÒÔÏÂʵÑé·´ÝÍÓÍË®±È(VO/VA)Ñ¡ÓÃ2 ¡Ã 1.
¡¡¡¡3.6 DNNSA-P204»ìºÏÝÍÈ¡¼ÁµÄÑ»·ÀûÓÃ
¡¡¡¡ÝÍÈ¡Ìõ¼þ£ºÄ£Ä⺬Ǧ·ÏˮŨ¶ÈΪ0.0003 mol ¡¤ L-1£¬ÓÍË®±È(VO/VA)Ϊ1 ¡Ã 10£¬×ªËÙ200 r ¡¤ min-1£¬ÝÍȡʱ¼ä15 min£¬ÝÍÈ¡¼ÁŨ¶ÈΪ0.01 mol ¡¤ L-1µÄDNNSAºÍP204úÓÍÈÜÒº(Ħ¶û±ÈΪ1 ¡Ã 1)£¬Î¶È303 K£¬µÃµ½¸ºÔØÇ¦µÄÓлúÏàDNNSA-P204úÓÍÈÜÒº.
¡¡¡¡·´ÝÍÌõ¼þ£ºÏõËáΪ·´ÝͼÁ£¬·´ÝͼÁŨ¶ÈΪ0.6 mol ¡¤ L-1£¬·´ÝÍζÈ298 K£¬ÓÍË®±È(VO/VA)Ϊ2 ¡Ã 1£¬·´ÝÍʱ¼ä5 min£¬×ªËÙ200 r ¡¤ min-1£¬½«ÉÏÊöËùµÃ¸ºÔØÇ¦µÄÓлúÏàDNNSA-P204úÓÍÈÜÒº·´Ýͺó£¬Öظ´ÉÏÒ»²½µÄÝÍȡʵÑé.ʵÑé½á¹ûÈç±í 4Ëùʾ.
±í 4 DNNSA-P204úÓÍÈÜҺѻ·ÀûÓÃ
¡¡¡¡Óɱí 4¿ÉÖª£¬Ñ»·ÝÍÈ¡¹ý³ÌÖз¢ÏÖ£¬¸Ã»ìºÏ·´½ºÍÅËðʧ½ÏС£¬¾¹ý·´Ýͺ󣬸ûìºÏ·´½ºÍŵÄÝÍÈ¡ÐÔÄÜ»ù±¾±£³Ö²»±ä£¬¸ÃÝÍÈ¡¼Á¿ÉʵÏÖÑ»·ÀûÓÃ.
¡¡¡¡3.7 DNNSA-P204»ìºÏ·´½ºÍÅÌåϵ·´ÝÍ»úÀí³õ̽
¡¡¡¡Óë¸ºÔØÇ¦µÄµ¥Ò»DNNSA·´½ºÍÅÌåϵµÄ·´ÝÍÏà±È½Ï£¬DNNSA-P204»ìºÏ·´½ºÍÅÌåϵµÄ·´ÝÍÉÔÄÑ£¬Õâ¿ÉÄܺ͸ûìºÏ·´½ºÍÅÌåϵµÄÝÍÈ¡»úÀí·¢Éú¸Ä±äÓйØ.
¡¡¡¡µ¥Ò»DNNSA·´½ºÍÅÝÍÈ¡·ÏË®ÖеÄǦΪÑôÀë×Ó½»»»»úÀí£¬±»ÝÍÈ¡µÄǦÀë×Ó²»ÊǼòµ¥µØÔöÈܽøÈë·´½ºÍÅÖУ¬ºìÍâ¹âÆ×±íÃ÷È·ÐγɻÇËáÑÎ(¸ßÓ¨Ó¨µÈ£¬2013);ÀûÓõÍËáÝÍÈ¡¸ßËá·´ÝͽøÐз´Ó¦Ê½(1)µÄÄæ·´Ó¦¼´¿ÉʵÏÖ¸ºÔØÇ¦µÄµ¥Ò»DNNSA·´½ºÍŵķ´ÝÍ£º
¡¡¡¡
¡¡¡¡µ±ÔÚDNNSAÖÐÌí¼ÓHAʱ£¬ÔÚÒ»¶¨Å¨¶È·¶Î§ÄÚ£¬¶þÕßÐγɻìºÏ·´½ºÍÅ£¬ÇÒ¶ÔijЩ½ðÊôÓÐÕýÐͬ×÷ÓÃ(Miki et al., 1997)£¬¸ßÓ¨Ó¨(2013)²ÉÓú㶨Ħ¶û·¨Ñо¿ÁËDNNSA-P204»ìºÏ·´½ºÍÅÌåϵ¶ÔǦµÄÐͬÝÍÈ¡£¬Ïà±È½Ïµ¥Ò»DNNSA·´½ºÍÅÌåϵ£¬DNNSA-P204»ìºÏ·´½ºÍÅÌåϵµÄÝÍÈ¡ÐÔÄܱíÏÖ³öÓÅÊÆ.
¡¡¡¡ÔÚÄܹ»²úÉúÕýÐͬÝÍȡЧӦµÄDNNSA-P204»ìºÏ·´½ºÍÅÌåϵÖУ¬ÓÉÓÚHAµÄ´æÔÚ£¬·ÏË®ÖÐǦÀë×ÓµÄÝÍÈ¡»úÀí¿ÉÄÜ·¢Éú¸Ä±ä£ºÓÉÓÚHAË®ÈÜÐÔ±ÈHD´ó£¬µ±Ë®ÏàºÍÓлúÏà½Ó´¥Ê±£¬ÓлúÏàÖеÄHAºÍË®ÏàÖеÄHA»òÕßA-¿ìËÙ½¨Á¢Æ½ºâ£¬µ±½ðÊôÀë×ÓÓëHA½áºÏºó£¬½ÏÒ×½øÈëÓлúÏà;ÔÚÓÍË®½çÃæÊÇHDµ¥·Ö×Ӳ㣬ÔÚÓлúÏàÖÐHDÓëHAÒÀ¿¿·Ö×Ó¼äÇâ¼üÐγÉÁË»ìºÏ·´½ºÍÅ£¬´Ëʱ£º
¡¡¡¡(1)ǦÀë×ÓÊ×ÏȺÍÈÜÈëË®ÏàµÄHA·´Ó¦£¬·´Ó¦²úÎïΪÂçÀë×Ó£¬¸ÃÂçÀë×ÓµÄÇ×ÓÍÐÔ±ÈǦÀë×ÓÇ¿;
¡¡¡¡
¡¡¡¡(2)¸ÃÂçÀë×ӺͽçÃæÉϵÄHD½øÐÐÑôÀë×Ó½»»»·´Ó¦£¬Éú³ÉÖÐÐÔÂçºÏÎï;
¡¡¡¡
¡¡¡¡(3)DNNSAÖÐÌí¼ÓP204ʱ£¬ËùÐγɵĻìºÏ·´½ºÍÅ¿ÕÇ»¿ÉÄÜ»á±ä´ó£¬µ±¸ÃÂçºÏÎïPbADi(½çÃæ²úÎï)´óСºÍ»ìºÏ·´½ºÍÅ¿ÕÇ»´óСÏàÆ¥Åäʱ£¬±íÏÖΪÕýÐͬÝÍÈ¡£¬¸Ã½çÃæÂçºÏ²úÎïÔöÈܽøÈë»ìºÏ·´½ºÍÅÖУ¬µÃµ½PbAD ¡¤(HD)8 ¡¤ nHA.
¡¡¡¡
¡¡¡¡µ±¸ºÔØÇ¦µÄDNNSA-P204úÓÍÈÜÒº½øÐз´ÝÍʱ£¬ÔöÈܽøÈë»ìºÏ·´½ºÍÅÄÚ²¿µÄPbADÒÀ´Î½øÐз´Ó¦Ê½(4)¡¢(3)ºÍ(2)µÄÄæ·´Ó¦£¬¹ÊDNNSA-P204»ìºÏ·´½ºÍÅÌåϵËäÈ»ÔÚÝÍÈ¡ÐÔÄÜ·½Ãæ¾ßÓÐÓÅÊÆ£¬µ«ÊÇÓÉÓÚÝÍÈ¡»úÀí·¢Éú¸Ä±ä£¬Óëµ¥Ò»DNNSA·´½ºÍÅÌåϵÏà±È£¬¸ºÔØÇ¦µÄDNNSA-P204»ìºÏ·´½ºÍÅÌåϵµÄ·´ÝͱäÄÑ£¬ÊµÑé½á¹ûÒ²Óë´ËÍÆÂÛÏàÎǺÏ.
¡¡¡¡Îª½øÒ»²½ÑéÖ¤ÉÏÊöÍÆÂÛ£¬ÊµÑé¶ÔÝÍȡǰºÍ¸ºÔØÇ¦µÄDNNSA-P204úÓÍÈÜÒº½øÐÐÁ˺ìÍâ¹âÆ×·ÖÎö£¬½á¹ûÈçͼ 4Ëùʾ.
ͼ 4 ¸ºÔØÇ¦µÄDNNSA-P204úÓÍÈÜÒºÝÍȡǰºóµÄºìÍâÆ×ͼ(a. DNNSA-P204úÓÍÈÜÒºÝÍȡǰ£»b. ¸ºÔØÇ¦µÄDNNSA-P204úÓÍÈÜÒº)
¡¡¡¡Í¼ 4aÆ×ÏßΪÝÍȡǰDNNSA-P204»ìºÏ·´½º ÍÅúÓÍÈÜÒºµÄºìÍâ¹âÆ×ͼ.´Óͼ 4aÖпÉÒÔ¿´³ö1380 cm-1ÊÇÝÁµÄÌØÕ÷·å.P204µÄP OÉìËõÕñ¶¯·å´Ó1105 cm-1ÒÆÖÁ½Ï¸ßµÄλÖÃ1210 cm-1£¬Í¬Ê±ÔڸûìºÏ·´½ºÍÅÖУ¬1210 cm-1·å½ÏÇ¿ÇÒ¿í£¬ÓпÉÄÜÑÚ¸ÇÁË·¼»ÇËáµÄSO2·´¶Ô³ÆÉìËõÕñ¶¯ÎüÊշ壬·¼»ÇËáµÄSO2·´¶Ô³ÆÉìËõÕñ¶¯ÎüÊÕ·å´ËʱΪ1210 cm-1ÓÒ²àµÄ¼ç·å£¬SO2¶Ô³ÆÉìËõÕñ¶¯ÎüÊÕ·åÔòÒÆ¶¯µ½²¨Êý½ÏµÍµÄλÖÃ1040 cm-1£¬¹À¼ÆÊÇDNNSAÖлÇËá»ùÉϵÄÑõÔ×ÓÓëP204Ö®¼äÐγɷÖ×Ó¼äÇâ¼ü£¬Á½ÕßÐγɻìºÏ·´½ºÍÅ.ͬʱ C¡ªS¡ªOµÄ·´¶Ô³ÆºÍ¶Ô³ÆÉìËõÕñ¶¯ÆµÂÊ·Ö±ðλÓÚ890 cm-1ºÍ728 cm-1£¬Óëµ¥Ò»DNNSA·´½ºÍÅúÓÍÈÜÒºÏà±È£¬¾ùÍùµÍÆµÒÆ¶¯£¬Í¬Ê±Ò²ËµÃ÷ÕýÊÇÓÉÓÚDNNSA»ÇËá»ùÉϵÄÑõÔ×ÓÓëP204Ö®¼äÐγɵķÖ×Ó¼äÇâ¼ü£¬Ê¹µÃ¸ÃÕñ¶¯ÆµÂÊÍùµÍÆµÒÆ¶¯.
¡¡¡¡Í¼ 4bΪ¸ºÔØÇ¦µÄDNNSA-P204»ìºÏ·´½ºÍÅÈÜÒºµÄºìÍâ¹âÆ×ͼ.´Óͼ 4b¿ÉÒÔ¿´³ö£¬¸Ã»ìºÏ·´½ºÍÅÈÜÒºÝÍȡǦÀë×Ӻ󣬲¢Î´³öÏÖ»ÇËáÑεÄÌØÕ÷ÎüÊշ壬ÕâÊÇÓÉÓÚ£ººìÍâ¹âÆ×ÊǶԷÖ×ÓÍŴؽøÐзÖÎö£¬ºìÍâ²»ÄÜ·´Ó³Ò»¸öÍÅ´Ø(ÕâÀïµÄ»ìºÏ·´½ºÍÅ)ÀïÃæ°ü¹üµÄÿһ¸ö¾ßÌå·Ö×ÓµÄÇé¿ö.ÕâÓëǰÊöµÄÍÆÂÛÏàÎǺϣºÇ¦Àë×ÓÊÇÒԳʵçÖÐÐÔµÄÂçºÏÎïµÄÐÎʽ½øÈë»ìºÏ·´½ºÍÅÖУ¬¹ÊÝÍÈ¡ºó²¢Î´³öÏÖ»ÇËáÑεÄÌØÕ÷ÎüÊÕ·å.ͬʱÆ×ͼ±íÃ÷ÝÍÈ¡ºó£¬DNNSA»ÇËá»ùÉϵÄÑõÔ×ÓÓëP204Ö®¼äÐγɵķÖ×Ó¼äÇâ¼üÔöÇ¿£¬Òò´ËP204µÄP OÉìËõÕñ¶¯·å´Ó1210 cm-1ÒÆÖÁ½Ï¸ßµÄλÖÃ1220 cm-1.ÆäÓà·åµÄλÖÃÔÚÝÍÈ¡ºó¾ùÎÞ´óµÄ±ä»¯.
¡¡¡¡ºìÍâ¹âÆ×½á¹û±íÃ÷£¬ÔÚDNNSAÖÐÌí¼ÓP204ȷʵÄܹ»ÐγɻìºÏ·´½ºÍÅ£¬ÄÇô¸Ã»ìºÏ·´½ºÍÅ¿ÕÇ»ÊÇ·ñ»áÓÉÓÚP204µÄ¼ÓÈë¶ø·¢Éú¸Ä±ä?¶øÕâÒ²ÊÇÄܹ»²úÉúÕýÐͬÝÍÈ¡µÄ¹Ø¼üËùÔÚ.ʵÑé²ÉÓÃBI-200SM¹ã½Ç¼¤¹â¹âÉ¢ÉäÒǶÔÝÍÈ¡¼Á19.4%(wt)DNNSAÖÐÌí¼Ó²»Í¬Á¿P204(wt)ʱµÄ»ìºÏÝÍÈ¡¼ÁúÓÍÈÜÒºµÄÁ£¾¶½øÐÐÁ˲ⶨ£¬²âÊÔ½á¹ûÈç±í 5Ëùʾ.
±í 5 ÈÜÒºÁ£¾¶µÄ×ÔÏà¹Ø²âÊÔ±¨¸æ
¡¡¡¡´Ó±í 5¿ÉÒÔ¿´³ö£¬ÔÚDNNSAº¬Á¿Ò»¶¨Ê±£¬Ëæ×ÅP204º¬Á¿Ôö¼Ó£¬»ìºÏ·´½ºÍÅÁ£¾¶Öð½¥Ôö¼Ó.ÉÏÊö±íÕ÷½á¹ûÓëǰÊö¼ÙÉèÏàÒ»Ö£¬ËµÃ÷DNNSA-P204»ìºÏ·´½ºÍÅÌåϵÝÍȡǦÀë×ӵĻúÀíÈ·Óëµ¥Ò»DNNSA·´½ºÍÅÌåϵ²»Í¬£¬¸Ã»ìºÏ·´½ºÍÅÌåϵµÄÝÍȡЧ¹û³ýÓëÓÎÀëÝÍÈ¡¼Á¶àÉÙÓйØÍ⣬»¹ÓëËùÐγɵĻìºÏ·´½ºÍÅ¿ÕÇ»´óСÓйأ¬¶øÝÍÈ¡»úÀíµÄ¸Ä±äʹµÃ¸Ã»ìºÏ·´½ºÍŵķ´Ýͽϵ¥Ò»DNNSA·´½ºÍŵķ´ÝÍÄÑ.
¡¡¡¡4 ½áÂÛ
¡¡¡¡1)Ñ¡ÓÃÏõËá×÷Ϊ·´ÝͼÁʵÏÖÁ˶ԸºÔØÇ¦µÄDNNSA-P204úÓÍÈÜÒºµÄ·´ÝÍ.·´ÝÍʱ¼äΪ5 min£¬·´ÝÍζÈΪ298 K£¬·´ÝÍÓÍË®±È(VO/VA)Ϊ2 ¡Ã 1£¬·´ÝͼÁÏõËáŨ¶ÈΪ0.6 mol ¡¤ L-1ʱ£¬·´ÝÍÂʿɴï70%;¾¹ý·´Ý͵ÄDNNSA-P204úÓÍÈÜÒº¿ÉÑ»·Ê¹ÓÃÓÚº¬Ç¦·ÏË®µÄÝÍÈ¡¾»»¯£¬ÆäÝÍÈ¡ÐÔÄÜ»ù±¾±£³Ö²»±ä.
¡¡¡¡2)DNNSAÓëP204ÒÀ¿¿·Ö×Ó¼äÇâ¼üÐγɻìºÏ·´½ºÍÅ£¬¸Ã»ìºÏ·´½ºÍÅ´óÐ¡Ëæ×ÅP204º¬Á¿Ôö¼Ó¶øÔö´ó;ÓÉÓÚHAµÄ´æÔÚ£¬·ÏË®ÖÐǦÀë×ÓÒÔPbADÐÎʽÔöÈܽøÈë»ìºÏ·´½ºÍÅ£¬Òò´ËDNNSA-P204»ìºÏ·´½ºÍÅÌåϵµÄ·´Ýͱȵ¥Ò»DNNSA·´½ºÍÅÌåϵµÄ·´ÝÍÄÑ.














