随着城市污水处理厂数量的增加和处理效率的不断提高,污水厂污泥产量也随之迅猛增长.截止到2010年底,全国城镇污水处理厂数量达2496座,建成投运的城镇污水处理厂日处理能力已达1.25亿m3,含水率为80%的湿污泥产量超过2000万t,其中,60%是典型生物工艺处理后的有机污泥.厌氧消化可有效减少污泥体积、降低含水率、消灭病菌,同时产生可利用生物质气体,满足减量化、无害化和资源化的污泥处理处置原则.厌氧消化时,污泥在微生物作用下主要经历水解、产酸、产甲烷3个阶段.传统的厌氧消化存在消化速率低、停留时间长、处理效率低等特点(王治军等,2005),因为水解阶段是厌氧消化过程的速度控制步骤,污泥大部分的有机物存在于微生物细胞内,微生物半刚性细胞壁的保护作用使得其他微生物所分泌的水解酶对这部分有机物进行水解的速率低,而厌氧消化的第一步水解阶段的缓慢进行影响了整个厌氧消化进程.因此,要对污泥进行强化预处理以破除污泥细胞壁的保护,释放其中的有机物,进而可达到提高污泥厌氧消化速度及性能的目的.
未经任何预处理的污泥厌氧消化的生物降解率低,且对病原微生物的灭活作用不明显.热解可有效提高污泥的厌氧消化性能和微生物降解率.其中,高温(130~210℃)、短时(15~60min)预处理是一种常用的预处理方法,对污泥破坏程度大,但高温作业缺点甚多,如能耗大、对设备要求高、操作运行危险等;低温(50~100℃)热解也是一种提升产气及有机物降解性能的有效方式.低温处理对污泥的破坏程度虽不如高温处理,但有研究人员采用长时间(3~10h)的处理也能达到不错的破胞效果,而长时间的预处理同样会大大增加污泥热解装置体积,使能耗剧增.权衡利弊,在实际工程中,低温短时水热预处理将更适合推广,因此,该预处理方式对厌氧消化性能的提高更值得深入研究.
基于此,本文以低温短时水热预处理后的城市污水处理厂初沉污泥和混合污泥(剩余污泥+初沉污泥)为研究对象,在实验室进行高温厌氧消化试验研究.通过对不同类型的污泥在相同预处理(90℃、30min)及高温厌氧消化((55±1)℃,HRT=20d)条件下的研究,分析低温短时水热预处理污泥的高温厌氧消化的产气状况、有机物分解率及其稳定性等特性.
2材料与方法
2.1污泥
接种污泥取自西安市邓家村污水处理厂厌氧消化后的污泥均质池,其pH为7.1,总固体(TS)为29.3g·L-1,挥发性固体(VS)为12.6g·L-1.原始污泥取自西安市第四污水处理厂初沉池(作为试验用初沉污泥)和二沉池(剩余污泥),试验用的混合污泥由初沉污泥与剩余污泥经沉降24h后按体积比1∶1混合获得.
根据前期对低温短时水热预处理条件的研究结果,当90℃、处理时间达到30min后,细胞破裂比例大幅提高,SCOD/TCOD和产气量也显著增加,因此,选择90℃、30min为污泥低温短时水热预处理条件.混合污泥和初沉污泥经低温短时水热预处理后,加水稀释到总固体TS为35g·L-1左右作为高温厌氧消化试验用泥(基质),于4℃冰箱保存待用.原始污泥与基质特性如表1所示.
表1原始污泥与基质特性
2.2试验装置污泥厌氧消化采用完全混合式反应器(CompletelyStirredTankReactors,CSTRs),试验装置如图1所示.反应器总容积为5L,有效容积为4L.进泥的投加与消化液的排出由时间控制器控制投料-排液蠕动泵(BT100-2J,保定兰格)完成,每天进泥排泥各1次,每次200mL;循环加热装置控制消化罐内温度为(55±1)℃,循环加热装置为外循环温控水浴加热,采用冷却泵外循环保持进泥槽温度为4℃,进泥槽和各消化罐采用机械搅拌方式进行连续搅拌.产气量经气液分离装置后用湿式气体流量计测定.

图1试验装置示意图 两种不同类型的污泥分别在两个相同的反应器内进行,R1为混合污泥,R2为初沉污泥.反应器启动成功后分别进行HRT=20d的高温((55±1)℃)厌氧消化试验.
2.3测试项目与分析方法
pH采用雷磁PHs-3CpH计测定;TS、VS、SS、VSS采用称重法测定;碳水化合物采用苯酚-硫酸比色法测定,以葡萄糖为标准样品(Sponza,2002);蛋白质采用Folin-酚法,以牛血清蛋白为标准蛋白(Sawasakietal.,2002);VFA采用气相色谱法(BEIFENCorp.3420A)测定,FID检测器、BB-WAX123-7033毛细柱(30m×0.25mm×0.15mm),进样口温度150℃,柱箱温度230℃,检测器温度250℃;气体组分(H2、N2、CH4、CO2)采用气相色谱法(BEIFENCorp.3420A)测定,TCD检测器、TDX-01填充柱,进样口温度130℃,柱箱温度140℃,检测器温度150℃;H2S采用美国PE600气相色谱仪测定,FPD检测器、PoraPakQ填充柱,柱箱温度120℃,检测器温度350℃;气量由湿式气体流量计(LML-2)测定;其他指标测定参考《水和废水监测分析方法(第4版)》(国家环境保护局,2002).
3结果
3.1反应器运行
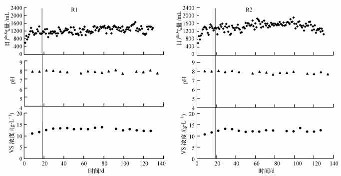
试验是利用已经运行稳定的高温厌氧消化反应器开展的,直接投加预处理后的基质,每日进、排泥各一次(200mL),保持反应器在HRT=20d条件下运行.18d后日产气量达到稳定状态,系统启动成功,系统运行稳定状态达120d以上.图2所示为反应器运行阶段的日产气量、消化液pH及VS情况,可看出R1和R2两个反应器的日产气量均在稳定范围内波动,pH稳定在7.6~8.0之间,消化液VS也较稳定,说明反应器已处于稳定运行状态.

图2R1、R2运行阶段的日产气量、pH及VS变化 表2为稳定状态下各反应器的产气状况.从表2可明显看出,在HRT=20d的条件下,不管是日产气量、产气速率,还是投加单位质量VS的产气量,初沉污泥(R2)的数值均高于混合污泥(R1),这与污泥类型有较大关系.R2为未经降解的初沉污泥,其中含有大量的易被微生物利用的有机物,而R1中有一半的污泥是经过生物降解的剩余污泥,因此,R2的VS投加产气量要高于R1.各反应器的CH4含量均在70%左右,H2S含量则在0.003%~0.025%之间.
表2不同基质的产气状况
3.2消化液特性消化液的pH、碱度、氨氮及VFA浓度是表征厌氧反应器是否稳定运行的重要指标.厌氧微生物可在pH=4.0~8.5内发挥作用(Hwangetal.,2004),由于试验系统具有一定的缓冲能力,当反应器运行出现较大波动时,pH有时也只会出现较小范围的波动(Bpronssonetal.,2000).在测定pH的同时,结合碱度、氨氮、VFA等则可较准确地判断出反应器的运行状况,同时,消化液VFA浓度越低则说明其生物降解进行的越彻底.表3和表4所列数据为反应器运行稳定后R1、R2消化液的各种指标及去除率情况.
表3R1、R2的消化液特性

从表3可以看出,各反应器pH均在7.8左右.厌氧消化过程中,NH+4-N浓度和碱度过高会对厌氧微生物产生抑制作),高温消化时NH+4-N浓度超过2000mg·L-1会导致VFA积累和产甲烷活性降).本试验过程中NH+4-N浓度均维持在1000mg·L-1以下,即在反应器运行过程中没有发生NH+4-N抑制.研究表明,消化液碱度(以CaCO3计)在1000~5000mg·L-1之间时厌氧反应可以稳定进),R1、R2消化液碱度在3400~3650mg·L-1之间,说明反应器在稳定范围内运行.
厌氧消化的主要目的是降低污泥的有机物含量,稳定污泥的同时获得资源性气体.混合和初沉污泥经低温短时水热预处理再高温厌氧消化后主要有机物的去除率见表4.从表中数据可看出,R2的有机物去除率普遍高于R1.与同类研究对比,严媛媛等(2012)用VS/TS小于0.5的混合污泥经100℃、30min预处理再高温消化后的VS去除率为34%,董滨等(2013)通过对VS/TS=0.54的剩余污泥经90℃、20min预处理后,发现VS去除率为33%,本试验中混合污泥的VS去除率为38.9%.针对初沉污泥,本试验VS去除率为45.8%,与王素春(2013)所研究的未经任何预处理的初沉污泥经同条件的高温厌氧消化后的结果相比要高出18.5%,说明低温短时水热预处理可有效提高污泥的高温厌氧消化性能.
3.3VFA特性
消化液测定的挥发性脂肪酸为C2~C6,包括乙酸、丙酸、异丁酸、正丁酸、异戊酸、正戊酸、异己酸.表5为各基质与消化液VFA各组分浓度情况.由表可知,消化过程中消耗了大部分的VFA,消化液中VFA浓度均小于300mg·L-1,说明基质消化较彻底(朱明权等,1997).进泥组分的VFA浓度大小为C2>C3>C4>C5>C6,且异酸盐浓度大于正酸盐.该结果与韩芸等(2007)和Wang等(1999)的报道相符.
表5消化液中VFA浓度
4讨论4.1国内外污泥泥质及消化效果比较
污泥中有机物含量的多少是影响污泥厌氧消化工艺的直接因素之一.不同地区由于气候、环境、生活习惯不同使得不同城市的污水和污泥性质会有较大差异,尤其是其有机物含量.表6列出了国内外一些污水处理厂的污泥泥质(VS/TS)及经预处理消化后VS的去除率情况.从表6可以看出,研究者采用的热解预处理条件不同,预处理温度在70~170℃内变化,时间在20min~9h范围内变化.一般来说,温度越低所需预处理时间越长,低温处理数小时可达到高温短时预处理的效果,100℃以上的预处理效果明显,但属于高温高压操作,处理成本增大,对设备的要求提高.与国外相比较,国内污泥的VS/TS比值较低(普遍低于60%),无机物含量高,可生物降解的有机物含量则相对较少,这可能是造成国内厌氧消化产气量低、有机物去除率低的主要原因之一.
表6部分国内外污泥热解预处理研究结果
4.2COD物料平衡COD的物料平衡计算可以了解厌氧污泥反应器内的固态、溶解态(溶解性蛋白质、碳水化合物、VFA等有机物)、气态(CH4)之间的转化关系,其表述污泥减量化效果更直观.为进行准确分析,将原始污泥(预处理前)、基质(预处理后)及消化液中有机物的存在形式分为固态、溶解态和气态3大类进行污泥厌氧消化物料平衡计算,均以COD来计.以投入量为100%算,按照公式(1)~(7)的计算方法得出R1和R2的COD物料平衡关系(表7).
4.2COD物料平衡
COD的物料平衡计算可以了解厌氧污泥反应器内的固态、溶解态(溶解性蛋白质、碳水化合物、VFA等有机物)、气态(CH4)之间的转化关系,其表述污泥减量化效果更直观.为进行准确分析,将原始污泥(预处理前)、基质(预处理后)及消化液中有机物的存在形式分为固态、溶解态和气态3大类进行污泥厌氧消化物料平衡计算,均以COD来计.以投入量为100%算,按照公式(1)~(7)的计算方法得出R1和R2的COD物料平衡关系(表7).

表7COD物料平衡计算

式中,TCOD为进泥总COD(mg·L-1),SCOD为进泥溶解性COD(mg·L-1),T′COD为消化液总COD(mg·L-1),S′COD为消化液溶解性COD(mg·L-1),Q′COD为生物气转化成COD的当量(Q′COD=2.857QCH4). 表7所示为R1、R2的COD物料平衡关系,各消化液COD的回收率在100%左右,误差小于10%.预处理可明显增加污泥中溶解态有机物含量,R1和R2分别比原始污泥增加了4.1和2.1倍.预处理和高温厌氧消化过程均可大大降低污泥中的固态物质含量,R1和R2中的固态物质分别由原始污泥的96.6%和94.6%降到55.4%和46.3%;消化液中溶解态物质分别为7.6%和6.5%;投入COD的甲烷转化率为39.0%和40.3%.原始污泥中固态物质实现不同程度的转化,达到了污泥减量化目的.
5结论
将混合污泥与初沉污泥分别经低温短时(90℃、30min)水热预处理后作为基质,TS维持在35g·L-1左右,进行高温((55±1)℃)厌氧消化研究,得出以下结论:
1)预处理后的混合污泥与初沉污泥经HRT=20d的高温厌氧消化后,其产气速率分别是(312.0±37.5)mL·L-1·d-1和(365.0±30.0)mL·L-1·d-1;投加单位VS的产气量分别为(343.00±9.86)mL·g-1和(365.00±7.61)mL·g-1,VS去除率分别为38.9%和45.8%.与国外数据相比,导致我国污泥厌氧消化降解效率较低的原因与污泥泥质中有机物含量少(VS/TS比值低)有关.
2)COD物料平衡计算结果表明,R1和R2进泥中有33.6%和43.9%的固体有机物被分解转化,可以达到污泥减量化目的;两个反应器所产生物气中CH4含量均达70%左右.
3)初沉污泥(R2)的有机物去除率总体上高于混合污泥(R1),初沉污泥的TCOD去除率高出混合污泥21%,VS去除率高出混合污泥15%.














