[拼音]:pingmian yuanxing xianzhixing santi wenti
[外文]:plane circular restricted three-body problem
限制性三体问题中比较简单的、也是研究得最多的一种类型。它研究无限小质量体在两个有限质量体的万有引力作用下的运动规律,并假定两个有限质量体在相互引力作用下绕其质量中心作圆周运动。如无限小质量体的初始位置和初始速度在两个有限质量体的轨道平面内,则无限小质量体永远在该轨道面内运动,这样就成为平面圆型限制性三体问题,它是三体问题中最简单的情况。
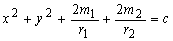
取两个有限质量体P1、P2的联线为x轴(图1)。设无限小质量体到P1、P2的距离分别为r1、r2,则相应于旋转坐标系的运动方程有一个首次积分:
,
式中v为无限小质量体的速度,x、y为其坐标,c为积分常数,m1、m2为P1、P2的质量。这就是著名的雅可比积分。
当无限小质量体的速度为零时,上式就成为:
。
这是一个曲线方程,称为零速度线,在空间情况下便是曲面,称希尔曲面。根据小天体的初始位置和初始速度,可以确定积分常数c,也就确定了零速度线在旋转坐标系中的位置。当c的数值非常大时,它描绘出一条远离原点的近于圆形的闭曲线S姈以及分别围绕P1和P2的两条很小的闭曲线S1;当c值逐渐减小时,外面的闭曲线也逐渐缩小,P1、P2附近的两条小闭曲线则逐渐扩大;c值减小到一定程度时,两条小闭曲线相遇,相遇的点L1称为自交点。显然,在自交点曲线的法线方向不确定,也就是奇点的情况。相遇时,里面的曲线记为S2,外面的曲线记为S娦;当c继续减小到一定程度时,里面的曲线相遇后继续扩大为一个闭曲线S3,并与不断缩小的外面曲线S婭相遇于L2点;c再继续减小,里外两曲线变成一条闭曲线S4,在L3处自己相交;最后,当c再减小时曲线分裂成上下两半,即S5;c再继续减小到一定程度,S5就收缩成为两个点,即L4和L5(图2)。
以上五个点代表平面圆型限制性三体问题的运动方程的五个特解。这五个特解是由拉格朗日首先求得的,所以称为拉格朗日特解,又称平动解。它们都在两个有限质量体所在的平面上,并与有限质量体保持固定的相对位置,这五个点称为平动点。五个平动点中有两个点对称于x轴,并分别与P1、P2组成等边三角形,习惯上表示为L4(y>0)和L5(y<0)。若无限小质量体的初始位置在L4或L5,而且相对于坐标系的初速为零,则小天体在两个有限质量体的吸引下,随着有限质量体一起作圆周运动,而且与P1、P2组成等边三角形,永远保持不变,因此,这两个特解又称为等边三角形解。另外三个平动点在x轴上,L1位于P1和P2之间,L2位于P2的右边,L3位于P1的左边,它们相对于P1、P2都是固定点,具体位置与质量有关。由于L1、L2、L3与P1、P2在同一直线上,故称为直线解。这些结果在空间情况中也同样成立。
在椭圆型限制性三体问题和更一般的三体问题中,也存在等边三角形解和直线解,而且在太阳系中,已找到实际的例子。脱罗央群小行星的运动就是一个例子。这群小行星位于太阳、木星等边三角形解附近,已经发现了15颗,其中10颗在平动点L4附近,5颗在平动点L5附近。直线解的例子还不可靠,有人认为,对日照就是聚集在太阳、地球的平动点L2附近的尘埃反射太阳光形成的。
1957年以后,平面圆型限制性三体问题在讨论月球火箭运动理论中得到了应用,利用零速度面可以确定火箭飞向月球的最小速度。零速度面在讨论运动区域时有重要意义,近年来还被用来研究双星的演化。