[拼音]:weifen chafen fangcheng
[外文]:differential-difference equation
常微分方程是含有未知函数及其导数的方程,差分方程中含有未知函数及其差分,但不含有导数,微分差分方程是同时含有未知函数及其导数和差分的方程。它同时具有常微分方程与差分方程的特点,而以二者作为特殊情况。从历史发展看,微分差分方程的产生和发展并不是二者形式上的推广,而是来自许多不同学科的实际问题。
对一个物理或技术系统,往往要考虑时间延迟的作用。例如在火箭控制理论中,燃烧室压力x(t)的运动方程为
,
压力的变化率凧(t)不仅依赖于当时的压力x(t),而且明显地依赖于过去的压力状况 x(t-τ),τ称为时滞,它反映燃料从射入燃烧室加热到即将燃烧的临界状态需要一段时间。这个方程是一种简单的含常数偏差变元的微分方程。
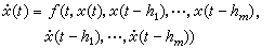
考虑多个时滞的微分差分方程
, (1)
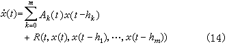
式中时滞hk(k=1,2,…,m)为常数,如果这些常数全为正,称(1)为滞后型方程;如果全为负,称(1)为超前型方程。如果方程右端还有导数的滞后项
称为中立型方程。对于高阶方程或者方程组也有类似的分类。
20世纪30年代起对偏差变元微分方程进行了系统的研究。R.贝尔曼和K.L.库克(1963),Л.Э.埃利斯戈尔茨(1964)总结了1960年以前的成果。50年代末H.H.克拉索夫斯基(1959)把偏差变元微分方程放到函数空间来考虑,如(1)中的偏差满足条件
,则(1)的右端可看为[t-hm ,t]上函数x(·)的泛函,从而微分差分方程成为推动泛函微分方程发展的基本原型。微分差分方程特别是滞后型方程在物理学、力学、控制理论和技术以及生物学、经济学等领域有广泛的应用。
滞后型方程(1)(其中
)在时刻t0的初值问题是在初值条件x(t)=φ(t),-hm≤t≤t0之下求t>t0的解x(t)。通过把这个问题化为常微分方程的分步法,可以讨论解的存在性、惟一性问题,并对简单的方程逐步求解。在区间t0≤t≤t0+hm上等价的常微分方程初值问题为
。
设ƒ(t,x,y1,…,ym)在
连续,且|ƒ|≤M,φ(t)是区间[t0-hm ,t0]上的连续函数,则在区间
上方程(1)存在满足初值条件 x(t)=φ(t),t0-hm≤t≤t0的连续解x(t)呏x(t;t0,φ)。若ƒ(t,x,y1,y2,…,ym)对 [-hm ,0]上每个φ(t),函数ƒ(t,φ(t),φ(t-h1),…,φ(t-hm))是连续的,且ƒ关于x,y1,y2,…,yn在 (t0,φ(t0)φ(t0-h1),…,φ(t0-hm)的小邻域内满足李普希茨条件(见常微分方程初值问题),则上述解是惟一的,并且解关于初值函数φ是连续依赖的。用不动点定理(见不动点理论)和格朗瓦尔不等式可以证明上述存在性和惟一性。对于中立型方程,也可以用分步法求解,但初值函数φ(t)应是可微的。
若ƒ 关于变量有足够多次的连续导数,滞后型方程(1)的解在向右开拓时,光滑度增加,若0<h1<h2<…<hm,
在(t0+(j-1)hm,t0+jhm)上连续,而在t0+(j-1)hm处一般有第一类间断;至于向t0的左方开拓,即使是一阶方程也不一定可能。
若(1)中时滞hi为t的连续函数,0<τ≤hi(t)≤r,τ,r为常数,以上的存在唯一性的结论仍然成立。
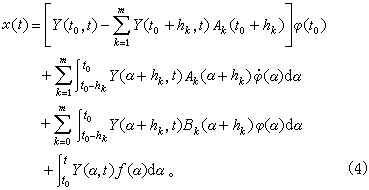
线性微分差分系统设非齐次线性微分差分方程组为
, (2)
式中诸Ak(t),Bk(t)是连续的n×n阵,ƒ(t)是连续的n维向量,hk(k=0,1,…,m)是常数且0=h0<h1< … <hm。它和常微分方程一样,也有常数变易公式。设Y(α ,t)关于α(α ≤t+hm)是(2)的伴随微分方程的矩阵解,即
满足初始条件Y(α,t)呏0,t<α ≤t+hm;Y(t,t)呏I(恒等阵),则方程(2)的具有连续可微初值函数
的解x(t;t0,φ),可表示为
这是系统(2)的常数变易公式。若(2)是滞后方程,Ak(t)呏0(k=1,2,…,m),则(4)中关于Ak的和式不出现,也不要求φ(t)可微。
设线性系统为
只有一个时滞τ,而A,B为n×n常数阵。置
方程detH(s)=0称为(5)的特征方程,它的根称为特征根,特征方程是超越方程,一般有无穷多个根,且全部在某一左半面上,即存在σ0,使一切特征根s的实部小于σ0,若ƒ的增长速度不快于某一指数幂,即有с1>0,с2>0,
,且ƒ在[0,∞)上连续。对任意的初值函数φ(t)∈C 1([-τ,0]),用拉普拉斯变换可以把(5)的解表示为
, (6)
式中с是充分大的实数;
稳定性问题
设x0(t)=x(t;t0,φ)是滞后型方程初值问题
的解;若对任意的ε>0,存在 δ(ε,t0),当模 
时,不等式
成立,则称解x0(t)关于E抝上的扰动为稳定的。由于 (7)的解不一定能向左开拓或只有单侧连续依赖性, 解x0(t)可能关于E掲 上的扰动为稳定,而对某个
,
关于
上的扰动不稳定。因此,方程(7)的解
=x(t;t0,φ)为稳定的是指:对任意 ε>0及任意的
≥t0,存在δ(ε,
),使对任何连续解x(t),当
时,成立|x(t)-x0(t)|<ε,t≥
。如果δ只同ε有关,则称x0(t)是一致稳定的。如果在稳定的情况下,进一步有
, (8)
则称x0(t)为渐近稳定的。如果x0(t)为一致稳定,且对任意η>0,存在δ1(η)及T(η)>0,使当

时,|x(t)-x0(t)|<η,t≥t0+T成立,则称x0(t)为一致渐近稳定的。对中立型方程凧(t)=ƒ(t,x(t),x(t-τ),凧(t-τ))的解x0(t)的稳定性可类似定义,但在估计在E掲上的扰动时,要用一阶模
。
若常系数线性系统
(9)
的特征方程
的一切根有负实部,则(9)的零解一致渐近稳定,这时存在M≥1,γ>0,使下式成立:
, (10)
若有正实部的特征根,则零解不稳定。系统(9)与对应的常微分方程
(11)
在稳定性方面的关系如下:若(11)的零解渐近稳定,则对充分小的hm,(9)的零解渐近稳定;若(11)至少有一特征根具正实部,则对充分小的hm,(9)的零解不稳定;若(11)有单特征根零,其余特征根有负实部,则对充分小的hm,(9)的零解稳定。
因为特征方程
的根都具有负实部的条件很难验证,特别当线性方程有变系数甚至是变时滞的偏差变元方程,特征根法就不适用,这时主要用李亚普诺夫直接法(见常微分方程运动稳定性理论)。
若线性系统
(12)
的零解一致渐近稳定,这时(10)成立。若
, (13)
式中
,则摄动系统
的零解一致渐近稳定。这个结论可以用李亚普诺夫方法得到。