气体的输运现象

浏览

在非平衡状态下,气体各部分之间动量、能量、质量等物理量传递、交换过程中的现象。有时又称为迁移现象。

一个孤立系统,经过足够长的时间,最后总要达到平衡态。在趋向平衡态的过程中,由于动量的传递,气体各部分间的宏观相对运动将消失;由于能量的传递,气体各部分间的温度差异将消失;由于质量的传递,气体各部分间的密度差异也将消失。这些过程统称为输运过程。

气体的输运现象来源于分子间的碰撞,因而与气体分子的平均自由程有密切关系。在有限的容器中,平均自由程与容器线度相比的相对大小决定了输运过程的具体性质。平均自由程的大小由气体的压强决定,因而在不同压强下,有限容器如管道内气体的输运机理有很大差别。通常分以下三种情况:

(1)较高压强下,气体分子的平均自由程l较小,即远小于管道的直径d(ld)时,分子间的碰撞频率就远大于分子对器壁的碰撞频率,物理量的输运主要靠气体分子之间的碰撞。

(2)较低压强下,气体分子的平均自由程l较大,即大于管道直径 d(l>d)时,分子对器壁的碰撞频率大于分子间的碰撞频率,物理量的输运主要靠气体分子对器壁的碰撞。

(3)压强介于以上两种情况之间,即气体分子的平均自由程l接近管道直径d(ld)时,则需要综合考虑。

气体的输运现象主要研究粘滞性、热传导和扩散。

粘滞性

由于气体各部分的运动速度不同,各部分之间或气体与器壁之间有相对运动,导致气体的动量沿垂直于气体速度方向由高速区传向低速区,产生摩擦效应。在不同压强下,摩擦的情况不同。

(1)较高压强下,这时气体分子的平均自由程比管道截面的尺寸小得多,可把气体按Л的大小分成许多与管轴相平行的气层。越靠近管壁的气层,相对管壁的流动速度越慢。此时,由于气层数目多,可认为动量沿各气层连续改变,并依靠分子之间的碰撞作用由一层传递到相邻的一层。层与层之间由摩擦作用表现出粘滞性。这种粘滞性又称为内摩擦。摩擦力dF与垂直于管轴方向的流速变化率dv/dz及作用面积dA成正比,可表述为

此式最初由宏观实验总结出来,称为牛顿粘滞定律。比例系数η称为粘滞系数(或内摩擦系数),其数值要由实验测定(表1)。

表1

1859年J.C.麦克斯韦速度分布函数的概念和平均自由程Л,首先推算出

式中n为气体的分子数密度,m为每个气体分子的质量,尌为分子热运动的平均速度,Л为分子的平均自由程。1904年J.H.金斯考虑了分子的速度住留效应(分子在碰后的平均速度与碰前的速度有关,总的效果是保留了一部分碰前速度)之后,得到η =0.4607nml。1916年S.查普曼和1917年D.恩斯库格根据玻耳兹曼方程,从更严密的数学方法入手,进而推算非平衡态过程的物理常数,得到η=0.499nml,这个结果可认为是比较精确的。

在这个压强范围内,内摩擦系数 η一般与压强无关,而与气体分子量的二次方根成正比,与气体分子有效直径的二次方成反比,并随温度的升高而增大。其国际单位是帕〔斯卡〕·秒(Pa·s),CGS制表示的内摩擦系数的单位是泊(P)。

(2)较低压强下,这时气体分子的平均自由程大于管道截面直径。由于分子之间的碰撞很少,所以没有显著的动量交换,以致分子间的内摩擦可以忽略。气体分子与管壁之间的碰撞占主要地位,气流与管壁之间的相对速度所造成的摩擦作用称为外摩擦。

(3)中等压强下,当气体分子的平均自由程接近并略小于管道截面的直径时,可把气体按平均自由程的大小分成几层,这时内摩擦、外摩擦作用有同等的重要性。从宏观来看,贴近管壁的气层与器壁间有速度跃变,称为滑动现象。

热传导

由于各部分气体温度不同,或器壁间、器壁与气体间温度不同,使热量通过气体分子热运动从高温区转向低温区而产生的传热效应。此时,能量由高温区传向低温区。

气体传热现象还可由另一些机制造成,如对流、辐射等。热传导仅指输运过程的气体分子传热。

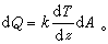
(1)较高压强下,这时的气体热传导问题与内摩擦问题十分类似。若有一对温度不同的平行板,那么单位时间的传热量 dQ与垂直于平行板方向的温度梯度dT/dz及作用面积dA成正比,可表述为

这就是由宏观实验总结出来的傅里叶热传导定律。比例系数k称为热导率或导热系数,其数值由实验测定(表2)。

表2

1859年麦克斯韦首先由理论推算出n=ηсv,其中сv为定容比热容,n的单位是瓦(特)每米开〔W/(cm·K)〕。1913年A.T.奥伊肯及稍后查普曼和恩斯库格从更严格的方法入手得到kηсv,其中γ为气体的比热容比。由此可推出ε的值:单原子气体为2.5;双原子气体为1.9;多原子气体为 1.75以至更小些。由于сv与压强无关,与温度的关系也较小,所以热传导系数与压强、温度的关系同内摩擦系数的情况类似。

(2)较低压强下,稀薄气体的传热决定于单个分子与器壁的碰撞。若有一对温度不同的平行板,两者的温差为ΔT,那么,分子将与高温板壁碰撞获取能量,然后反射并与低温板壁碰撞交出能量。因此,单位时间的传热量与单位时间碰撞在单位面积上的分子数、每个分子可携带的能量、分子与板壁碰撞可交换能量的程度、温差以及作用面积的大小成正比。

(3)中等压强下,气体分子的平均自由程与器壁的尺寸有同样的数量级。能量迁移与压强的关系介于高、低压强的传热情况之间,在板壁附近有与速度跃变相类似的温度跃变现象。

综上所述,在较低压强区传热量与压强成正比,在中等压强区传热量仍与压强有关。利用这两个区间的热传导原理,可以测量气体压强,制成热传导真空计。当l>d时,热传导随压强而降低,利用这一特性可以使系统间达到热绝缘的目的。如暖瓶具有真空夹层,因此保温性能好。大气压强下,空气分子的平均自由程约 0.1μm,若采用具有不大于 0.1μm直径孔隙的材料如气凝胶、蛭石、珠光砂、硅胶、石棉粉、硅藻土、玻璃棉等,同样可以隔热保温。用棉花、丝棉、驼毛作冬衣穿在身上能保暖,也是这个道理。

扩散

由于气体各部分的密度不同,使气体分子从密度较大的区域自发地传递到密度较小的区域,此时被输运的是质量。由密度梯度引起的气体扩散,主要分为二种:一是自扩散──同一种气体因本身密度不同而引起的扩散;一是互扩散──发生在不同种气体间的扩散。在某些特殊情况下,由于温度差别,也会引起质量的输运。真空技术中称这种输运现象为热流逸。

自扩散

在密度梯度的作用下,分子从高密度区域向低密度区域传递。单位时间的质量迁移dM与密度梯度及作用面积dA成正比,可表述为

这就是斐克扩散定律,比例系数 k称为扩散系数,其数值由实验测定,单位是平方米每秒(m2/s)。扩散系数k=1.2~1.5η/ρ,它随温度的升高而增大,随气体分子量的减小而增加,见表3。

表3 互扩散

在气体混合物中,当各成分的气体在各处的密度不同时,每种成分的分子也要从它的高密度区域向低密度区域移动。其扩散规律与自扩散类同,其扩散系数称为互扩散系数,见表3。

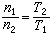
热流逸

是在较低压强下出现的一种扩散现象。若有两个容器中间以孔相通,容器中气体的温度、压强、密度各为T1p1n1T2p2n2。在较高压强(l<<d)情况下,两容器中的气体稳定时,应有p1p2,根据理想气体状态方程,则有。在较低压强(l>d)情况下,两容器中的气体稳定时,从两侧穿过小孔的气体分子数应相同。又由于单位时间单位面积内穿过小孔的分子数即为气体分子对器壁的碰撞频率数,所以当两容器是同类气体时,可有即在相连的两个温度不同的容器中,压强和密度均不相等。这种现象称为热流逸。

辐射计效应

辐射计效应在较高压强下与热扩散有关,在较低压强下和热流逸有关。辐射计效应最初是在克鲁克斯辐射计内被发现的。辐射计内已抽成真空并装有一个非常灵敏的小风车,风车翼的一面涂黑,另一面光亮。当光线从一侧照射到翼上时,就引起风车转动,这种力称为辐射计力。这种力是由两种因素构成的。

(1)一种因素是热扩散。涂黑面比光亮面易吸热,以致两个面形成温差,为了抵消热扩散作用,气体将由温度较低的光亮面沿风车翼边缘向温度较高的涂黑面流动,这就引起了翼上两面间的作用力,这个力的大小与气体压强成反比。

(2)另一种因素是由于分子与温度较高的涂黑面碰撞反射回来的速度,大于从温度较低一面的反射速度。这也会引起翼上两面间的作用力,这个力的大小与气体压强成正比。

参考书目
  1. 王竹溪著:《统计物理学导论》,高等教育出版社,北京,1956。
  2. 高本辉、崔素言编著:《真空物理》,科学出版社,北京,1983。
  3. E. H. Kennard, Kinetic Theory of Gases,McGraw-Hill,New York,1938.
  4. 熊谷寬夫,富永五郎,辻泰,堀越源一:《真空の物理と応用》,裳華房,1970。