重氮化合物

浏览

烷基与重氮基=N2相连接而生成的化合物,其通式为R2CN2。R为氢或烷基。

性质

重氮化合物的电子结构见下列共振式:

公式 符号

以上三式表明该类化合物应有较高的偶极矩,但实测结果偶极矩并不高。这可能是因为重氮基中两个氮原子的p轨道和相连碳原子空的 p轨道相互交叠形成了三中心π键,使键平均化的结果(见下式):

公式 符号

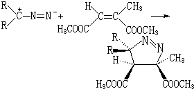
这些共振式中都含有一个偶极的结构,即分子中同时含有正、负电荷。这类分子可以与多种烯烃的衍生物发生加成反应:

公式 符号

这一反应与双烯合成有些类似,但是生成的环系是五元环,而不是六元环,因此又称[2+3]环合反应。

重氮化合物很易质子化,变成容易失去N2的重氮离子:

公式 符号

一些路易斯酸(见酸碱理论),如BF3、AlCl3等也可促使重氮化合物分解产生正碳离子

利用重氮化合物的这一性质,可与许多带有酸性氢的化合物,如醇、酚、胺、羧酸、酰胺等作用,进行烷基化反应,例如:

公式 符号

重氮化合物也有一定的亲核性,可与醛、酮、酰卤等反应,例如:

公式 符号

重氮化合物在光照或加热条件下可产生卡宾,如:

公式 符号

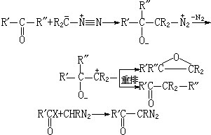
由重氮酮产生卡宾后,极易发生重排生成烯酮,水解或醇解后可得到相应的酸和酯。该重排称为沃尔夫重排:

公式 符号

制法

重氮化合物由N-亚硝基-N-烷基-酰胺类化合物与碱作用制取,大致过程如下:

公式 符号

其中Z为-SO2公式 符号公式 符号公式 符号公式 符号等。由一级胺与亚硝酸反应,也可以制得重氮化合物,例如:

H2NCH2COOC2H5+HONO─→N2CHCOOC2H5+2H2O

应用

重氮化合物主要用作有机合成试剂和中间体,有些可用于癌症研究(如重氮尿嘧啶),有些在微电子工业中做光致抗蚀剂,如1-氧-2-重氮萘磺酸酯等。

公式 符号

重氮化合物大都有毒,有些对皮肤、粘膜等有刺激性,如重氮甲烷、重氮乙酸乙酯等。它们与碱金属接触或高温时可发生爆炸。