¸ß·Ö×ÓÈÜÒºµÄÇ¨ÒÆÐÔÖÊ

ä¯ÀÀ

°üÀ¨³Á½µËÙÂÊ¡¢À©É¢ËÙÂÊ¡¢ÈÜÒºÕ³¶ÈµÈ£¬ËüÃÇÖ±½ÓÈ¡¾öÓڸ߷Ö×ÓÔÚÈÜÒºÖеÄÐÎ×´ºÍ³ß´ç¡£Òò´Ë´ÓÇ¨ÒÆÐÔÖʵIJâÁ¿£¬¿ÉÒԶԸ߾ÛÎïµÄ·Ö×ÓÁ¿¡¢·Ö×ÓÁ¿·Ö²¼ÒÔ¼°¸ß·Ö×ÓµÄÐÎ̬µÈ×÷³öÁ¿¶È¡£

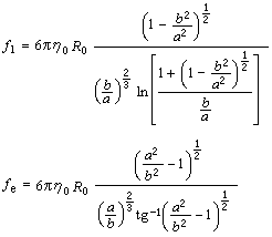
µ±Ò»¸öÁ£×ÓÔÚÅ£¶ÙÁ÷Ì壨¸ÃÁ÷ÌåÒº²ãÖеÄËÙÂÊÌݶÈÓëÍâ¼ÓÁ¦µÄ´óС³ÉÕý±È£©ÖÐÒÆ¶¯Ê±£¬ÆäËùÊܵ½µÄÕ³ÖÍ×èÁ¦FÓëÆäÔ˶¯ËÙÂÊV³ÉÕý±È£¬F£½fV£¬Ê½ÖÐfΪĦ²ÁϵÊý£¬±íʾά³ÖÁ£×ÓËÙÂÊΪ1ÀåÃ×£¯ÃëʱËùÐèµÄÁ¦£¬fÓëÁ£×ÓµÄÐÎ×´Óйء£ÈçÁ£×ÓΪÇòÐÎʱ£¬fÇò£½6πη0RS£¬Ê½ÖÐη0ΪÁ÷ÌåµÄÕ³¶È£»RSΪÇòÐÎÁ£×ӵİ뾶¡£¶Ô³¤ÖáΪa¡¢¶ÌÖáΪbµÄÍÖÇò¶øÑÔ£¬³¤ÍÖÇò£¨éÏé­ÐΣ©ºÍ±âÍÖÇò£¨Ìú±ýÐΣ©µÄĦ²ÁϵÊýflºÍfe·Ö±ðÊÇ£º

¹«Ê½ ·ûºÅ

ʽÖÐR0ΪÓëÍÖÇòµÈÌå»ýµÄÇòÐÎÁ£×ӵİ뾶¡£µ±Á£×ÓΪÎÞ¹æÏßÍŸ߷Ö×Óʱ£¬ÆäĦ²ÁϵÊýfrΪ£º

¹«Ê½ ·ûºÅ

ʽÖй«Ê½ ·ûºÅÏ൱ÓÚÎÞ¹æÏßÍŵĵÈЧԲÇò°ë¾¶£»C ÎªÌØÕ÷ϵÊý£»¹«Ê½ ·ûºÅΪ¸ß·Ö×ÓÔÚÈÜÒºÖеľù·½¸ù°ë¾¶¡£

ÀëÐijÁ½µ

µ±Ò»¸öÐü×ÇÒº·ÅÖÃʱ£¬ÓÉÓÚÖØÁ¦³¡µÄ×÷Óã¬Ðü¸¡Á£×ÓÖð½¥³Á½µ£¬´Ó³Á½µµÄËÙÂÊ¿ÉÒÔ¼ÆËãÐü¸¡Á£×ÓµÄÖÊÁ¿¡£ÓÉÓÚµ¥¸ö¸ß·Ö×ÓµÄÖÊÁ¿m2ºÜС£¬ËùÒÔÖ»ÓÐÔںܴóµÄÀëÐÄÁ¦³¡ÖвÅÄܹ۲쵽ËüÃǵijÁ½µ£¬Õâ¾ÍÐèҪʹÓó¬ËÙÀëÐÄ»ú£¬ËüµÄתËÙ¿É´ïÿÃëһǧתÒÔÉÏ£¬Äܵõ½¼¸Ê®Íò±¶ÓÚÖØÁ¦µÄÀëÐÄÁ¦¡£ÔÚÀëÐÄ»úµÄת¶¯ËÙÂÊΪω ʱ£¬Á£×ӵijÁ½µËÙÂÊΪ£º

¹«Ê½ ·ûºÅ¡¡¡¡ (1)

ʽÖЦ¬Îª¸ß·Ö×ӵķÖ×ÓÁ¿;ˆùpΪ¸ß·Ö×ӵį«Î¢±ÈÈÝ;ρΪÈܼÁµÄÃܶÈ;rΪ½çÃæÀëתÖáÖÐÐĵľàÀ룻NAΪ°¢·ðÙ¤µÂÂÞÊý£»fΪĦ²ÁϵÊý¡£

³Á½µÏµÊýSµÄ¶¨ÒåΪ£º

¹«Ê½ ·ûºÅ¡¡¡¡ (2)

ËüÊÇÁ£×ÓÔÚµ¥Î»ÀëÐļÓËٶȳ¡ÖеijÁ½µËÙÂÊ¡£ÓÉʽ(1)ºÍ(2)¿ÉÒԵõ½¹«Ê½ ·ûºÅ£¬ËùÒÔÖ»ÓÐÖªµÀf²ÅÄÜÈ·¶¨³Á½µÏµÊýºÍ·Ö×ÓÁ¿µÄ¹ØÏµ¡£¼Ù¶¨ÔÚÀëÐijÁ½µ¹ý³ÌÖи߷Ö×ÓÔÚÈÜÒºÖÐËùÊܵ½µÄ×èÁ¦fSÓëÀ©É¢Ê±ËùÊܵ½µÄ×èÁ¦ fDÏàͬ£¬¶øÇÒËÙÂÊÏàµÈʱ£¬¹«Ê½ ·ûºÅ£¬Ê½ÖÐDΪÀ©É¢ÏµÊý£»RÎªÆøÌå³£Êý£»TΪ¾ø¶Ôζȣ¬Ôò¿ÉµÃ£º

¹«Ê½ ·ûºÅ

ʽÖÐS0¡¢D0Ϊ³Á½µÏµÊýºÍÀ©É¢ÏµÊýÍâÍÆµ½ÈÜҺŨ¶ÈΪÁãʱµÄÖµ£¬‡¢SDÊÇÒ»ÖÖ¸´Ôӵį½¾ù·Ö×ÓÁ¿£¬ËüÈ¡¾öÓÚS¡¢DÈ¡ºÎÖÖÆ½¾ùÖµ£¬Ò»°ã‡¢SD²»µÈÓÚ‡¢w¡£

³Á½µÆ½ºâ

µ±ÀëÐÄ»úÐýתËÙÂʽϵͣ¬ÀëÐļÓËÙ¶ÈΪ103¡«104ÖØÁ¦¼ÓËÙ¶Èʱ£¬Ôڸ߷Ö×ÓÈÜÒºÖгÁ½µºÍÀ©É¢´ïµ½Æ½ºâºó£¬´Ó³¬ËÙÀëÐÄ»úÒº³ØÖв»Í¬r´¦£¨Í¼1£©

ͼ

µÄŨ¶ÈÌݶȿÉÒÔ¼ÆËãÔÚ²»Í¬r´¦µÄÖØ¾ù·Ö×ÓÁ¿¡£³Á½µÆ½ºâËùÐèµÄʱ¼äÒ»°ã¶¼±È½Ï³¤£¬¶øÇÒÒªÇó³¬ËÙÀëÐÄ»úÔÚµÍתËÙÏÂÄܳ¤Ê±¼äÎȶ¨µØÐýת¡£Ò»°ã·Ö×ÓÁ¿´óÓÚ 105ÒÔÉϵĸ߷Ö×Ó¶¼²»ÓóÁ½µÆ½ºâ·¨£¬¶ø²ÉÓð¢Ææ²©¶ûµÂ·½·¨²â¶¨Öؾù·Ö×ÓÁ¿¡£

°¢Ææ²©¶ûµÂ·½·¨ÊÇÒ»ÖÖ½Ó½üƽºâµÄ·½·¨£¬´Ó¸ß·Ö×Ó´©¹ýÒº³ØµÄÆøÒº½çÃæºÍ³Øµ×²¿Á½¸ö±ß½çÌõ¼þ¹«Ê½ ·ûºÅ³ö·¢£¬¿ÉÒÔÖ¤Ã÷£º

¹«Ê½ ·ûºÅ

ʽÖй«Ê½ ·ûºÅΪ±í¹ÛÖØ¾ù·Ö×ÓÁ¿£»ra¡¢rbÎªÆøÒº½çÃæºÍÒº³Øµ×Ãæ¾àתÖáÖÐÐĵľàÀë¡£¹«Ê½ ·ûºÅºÍ ¹«Ê½ ·ûºÅ µÄÖµ¿É´Ó¹«Ê½ ·ûºÅ¶Ô rµÄÍâÍÆÖµr£½ra»òr£½rbÀ´Çó³ö¡£µ±¸ß·Ö×ÓÈÜÒºÀëÐÄǰµÄŨ¶ÈΪcʱ£¬¿ÉµÃ£º

¹«Ê½ ·ûºÅ

ʽÖÐA2ΪµÚ¶þάÀûϵÊý¡£´Ó°¢Ææ²©¶ûµÂ·½·¨¿ÉÒÔÖ±½ÓµÃ³öÖØ¾ù·Ö×ÓÁ¿Öµ£¬ÊµÑéËùÐèµÄʱ¼äÔ¶±È³Á½µÆ½ºâ·¨Îª¶Ì£¬Ò»°ãÔÚÒ»¡¢¶þ¸öСʱÄھͿɽáÊø¡£ÊÊÓõķÖ×ÓÁ¿·¶Î§Ò²½Ï³Á½µÆ½ºâ·¨Îª¿í¡£´Ó³¬ËÙÀëÐÄ»ú³Á½µ·½·¨¿ÉÒԲⶨ¸ß·Ö×ÓµÄÖØ¾ù¡¢Êý¾ù·Ö×ÓÁ¿ºÍ·Ö×ÓÁ¿·Ö²¼¡£

À©É¢ÏµÊý

ÔÚһŨ¶ÈÌݶȳ¡Öи߷Ö×ÓÊÜŨ¶ÈÌݶȵÄ×÷Óý«²úÉúÀ©É¢¡£ÔÚµ¥Î»½ØÃæÖУ¬µ¥Î»Ê±¼äÄÚÁ£×ÓÇ¨ÒÆµÄËÙÂÊÕý±ÈÓÚÆäŨ¶ÈÌݶȣ¬Æä±ÈÀý³£ÊýD ¼´À©É¢ÏµÊý£¬¹«Ê½ ·ûºÅ¡£µ±¿¼Âǵ½À©É¢ÏµÊýµÄŨ¶ÈÒÀÀµÐÔʱ£¬³£Ð´³É£º

¹«Ê½ ·ûºÅ

À©É¢ÏµÊýµÄµ¥Î»ÊÇÀåÃ×2£¯Ãë¡£²âÁ¿µÄ·½·¨ÓÐÁ½ÖÖ:¾­µä·½·¨´ó¶¼ÊÇ´ÓÈ˹¤ÐγÉÒ»¸öÈÜÒººÍÈܼÁµÄ½çÃæ¿ªÊ¼£¬²â¶¨½çÃæÅ¨¶ÈËæÊ±¼äµÄ±ä»¯¶ø¼ÆËã D£¬ÕâÖÖ·½·¨ÐèʱºÜ³¤£¬ÓÐʱ´ïÊýÈÕÖ®¾Ã£»Ä¿Ç°´ó¶àÒѸÄÓùâÉ¢É䯵Æ×·¨£¨¼û¸ß·Ö×ÓÈÜÒºµÄ¹âÉ¢É䣩À´²â¶¨D¡£

ÈÜÒºÕ³¶È

¸ß·Ö×ÓÈÜÒºµÄÕ³¶È ηÒ»°ãËæÈÜҺŨ¶ÈµÄÔö¼Ó¶øÔö´ó£¬ËüÓëÈܼÁÕ³¶È η0µÄ±ÈÖµ³ÆÎªÏà¶ÔÕ³¶Èηr£¬Õ³¶ÈÔö¼ÓµÄ·ÖÊý³ÆÎªÔö±ÈÕ³¶Èηsp£½ηr-1¡£ ÔÚÎÞÏÞÏ¡Ê͵ÄÈÜÒºÖУ¬±ÈŨճ¶È ¹«Ê½ ·ûºÅ µÄÖµ¶¨ÒåÎªÌØÐÔÕ³Êý [η] £½¹«Ê½ ·ûºÅ¡£Ò»°ã£¬¸ß·Ö×ÓÈÜÒºµÄ±ÈŨճ¶ÈµÄŨ¶ÈÒÀÀµÐÔ¿Éд³É£º

¹«Ê½ ·ûºÅ

ʽÖÐ k¡ä³ÆÐ±Âʳ£Êý£¬Óֳƹþ½ð˹³£Êý£¬Óë¸ß·Ö×ÓµÄÐÎ̬ºÍÁ÷ÌåÁ¦Ñ§µÄÏ໥×÷ÓÃÓйء£

Èç¹û½«ÈáÐԸ߷Ö×ÓÔÚÈÜÒºÖеÄÎÞ¹æÏßÍÅÐÎ̬¿´×÷ÊÇÒ»¸öµÈЧÁ÷ÌåÁ¦Ñ§Çò´¦Àíʱ£¬ÌØÐÔÕ³Êý¿É±íʾΪ [η]£½¹«Ê½ ·ûºÅ£¬ÆäÖÐΦÊÇÒ»¸öÓë¸ß·Ö×ÓµÄÐÎ̬ºÍ³ß´ç£¬ÈܼÁÐÔÖÊÒÔ¼°Î¶ÈÎ޹صij£Êý;ˆ—2Ϊ¾ù·½°ë¾¶¡£Òò´Ë£¬ÌØÐÔÕ³ÊýµÄÈܼÁºÍζÈÒÀÀµÐԿɴӸ߷Ö×ÓÓëÈܼÁ·Ö×ÓµÄÈÈÁ¦Ñ§Ï໥×÷ÓöԸ߷Ö×Ó¾ù·½°ë¾¶µÄÓ°ÏìµÃµ½½âÊÍ¡£ÔÚθÈܼÁ»òθζÈÏ£¬[η]θ=K覬©Í£¬¶øÔÚÁ¼ÈܼÁÖУ¬[η]£½K覬©ÍX3£¬ÆäÖй«Ê½ ·ûºÅ £¬Îª¸ß·Ö×ÓÏßÍÅÔÚÈÜÒºÖеÄÀ©ÕÅÒò×Ó£»ˆ—ŠãΪ¸ß·Ö×ÓÁ´¶Î¼äµÄÔ¶³ÌÏ໥×÷ÓÃÓëÁ´¶Î£­ÈܼÁ¼äµÄÏ໥×÷Óû¥ÏàµÖÏûʱµÄ¾ù·½°ë¾¶¡£ÓÉÓÚX »¹ÔÚÒ»¶¨³Ì¶ÈÉÏÒÀÀµÓڸ߷Ö×ӵķÖ×ÓÁ¿¦¬£¬¶Ô¸ø¶¨µÄ¸ß·Ö×Ó£­ÈܼÁ£­Î¶ÈÌåϵ¶øÑÔ£¬ÔÚÒ»¶¨µÄ·Ö×ÓÁ¿·¶Î§ÀÉÏʽ¿ÉÒÔ¾­ÑéµØÐ´³É£º

[η]£½K¦¬α

ʽÖвÎÊýKºÍαÊÂÏÈÓòâÁ¿·Ö×ÓÁ¿µÄ·½·¨¶©¶¨ºó£¬¼´¿É×÷Ϊճ¶È·¨²âÁ¿·Ö×ÓÁ¿µÄÒÀ¾Ý£¨¼û¸ß¾ÛÎïµÄ·Ö×ÓÁ¿£©¡£

¸ß·Ö×ÓÏ¡ÈÜÒºÕ³¶ÈºÍÌØÐÔÕ³ÊýµÄ²âÁ¿³£Ê¹ÓÃëϸ¹ÜÕ³¶È¼Æ£¬ÆäÖÐÒÔÏ¡ÊÍʽÎÚÊÏÕ³¶È¼Æ£¨Í¼2£©

ͼ

×îΪ·½±ã¡£·Ö±ð²âÁ¿ÈÜÒººÍÈܼÁÔÚͬһճ¶È¼ÆÖеÄÁ÷¹ýʱ¼ä£¬¼´¿ÉµÃµ½¸ÃÈÜÒºµÄÏà¶ÔÕ³¶È£¬µ«Í¨³£»¹ÐèÒª¿¼ÂǶ¯ÄܸÄÕýºÍÄ©¶Ë¸ÄÕýµÄÓ°Ïì¡£²âÁ¿¼¸ÖÖŨ¶ÈµÄÈÜÒºµÄÏà¶ÔÕ³¶Èºó£¬ÒÔ¹«Ê½ ·ûºÅ¶Ôc×÷ͼ£¬ÔÙÏòŨ¶ÈµÈÓÚÁã´¦ÍâÍÆ£¬¼´µÃÌØÐÔÕ³Êý£¬ËüµÄµ¥Î»ÊÓËùÓõÄŨ¶Èµ¥Î»¶ø¶¨£¬µ±Å¨¶Èµ¥Î»Îª¿Ë£¯ºÁÉýʱ£¬[η]µÄµ¥Î»ÎªºÁÉý£¯¿Ë¡£

¸ß·Ö×ÓÈÜÒºÔÚÁ÷¶¯¹ý³ÌÖУ¬ÓÉÓÚÁ÷ËÙÌݶȵĴæÔÚ£¬ÓÐʱ¿Éʹ¸ß·Ö×ÓÏßÍÅÔÚת¶¯Ê±²úÉúÐαäºÍÈ¡Ïò£¬ÒÔÖÂ[η]ºÍK¡ä³ÊÏÖÇбäËÙÂÊÒÀÀµÐÔ¡£¸ß·Ö×ӵķÖ×ÓÁ¿ºÍÈÜҺŨ¶ÈÓú´ó£¬ÕâÒ»ÏÖÏóÓúÏÔÖø¡£ÕâʱÐèÒª½«ÊµÑéÊý¾ÝÏòÇбäËÙÂÊΪÁã´¦ÍâÍÆ£¬»òÕßÔÚµÍÇбäËÙÂʵÄʵÑéÌõ¼þϲâÁ¿ÌØÐÔÕ³Êý¡£

²Î¿¼ÊéÄ¿
  1. Ç®ÈËÔªµÈÖø£º¡¶¸ß¾ÛÎïµÄ·Ö×ÓÁ¿²â¶¨¡·£¬¿ÆÑ§³ö°æÉ磬±±¾©£¬1958¡£