超圆法

浏览

数学物理问题的一种近似方法,是美国的W.普拉格和J.L.辛格于1947年在讨论弹性静力问题时提出的。辛格后来又把它推广应用于一般数学物理边值问题。实质上超圆法是一种函数空间方法,其特点是将泛函分析的解析概念形象化。用它能具体地给出问题精确解的上下界。超圆法属于泛函分析的范畴,在用它处理实际问题时,须解决下面三个问题:

(1)选择什么函数或函数集合来对应于函数空间的一个点或矢量;

(2)确定函数空间中合适的数量积的定义,并给出函数空间的度量;

(3)定义松弛问题,即定义函数空间中的全伴矢量、余矢量和齐次相伴矢量。

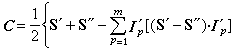
用超圆法解弹性静力问题时,所选择的是实线性应力空间,空间中一个点 P代表弹性体内一点的应力状态σij ,用函数集合σij定义函数空间内一点P,它可用自原点O(σij=0)到点P的位置矢量代表。其次,用应变能的两倍定义函数空间中两个矢量的数量积。再次,令S代表满足弹性力学的平衡方程、应变协调方程和全部边界条件的精确解;S′代表仅满足平衡方程和应力边界条件的基本应力解,即全伴矢量;S″ 代表仅满足应变协调方程和位移边界条件的基本位移解,即余矢量;I孡(p=1,2,...,m)代表满足自身平衡方程和零应力边界条件的标准正交齐次应力矢量;Iq(q=1,2,...,n)代表满足应变协调方程和零位移边界条件的标准正交齐次位移矢量。这样,弹性静力问题的解矢量S的端点就在圆心为C、半径为R的超圆г上,г的方程为:

SCRJ,  J ·J=1,式中J是满足下述正交条件的单位参数矢量(即J 被限制在一个超平面上):

J ·I孡=0 (p=1,2,...,m),

J ·Iq=0 (q=1,2,...,n);而CR由下列等式确定:

公式 符号 公式 符号 公式 符号 公式 符号

Γ上的矢量S满足不等式:

S1|≤|S|≤|S2|,S1S2分别为 г上离应力空间原点最近和最远的点的矢量,它们可由下式确定:

公式 符号

式中矢量G为:

公式 符号

式中Ir(r=1,2,...,m+n)代表I孡和Iq 的全部集合,它也是函数空间中的一组标准正交矢量。下图在三维空间中表示出CSS1S2之间的几何关系。超圆法就是按上述过程找到S1S2,并以它们作为真实应力矢量S的上、下界。

图
参考书目
  1. W. Prager and J. L. Synge,Approximations inElasticity Based on the Concept of FunctionSpaceQuarterly of Applied Mathematics, Vol.5,pp.241~271,Oct.1947.
  2. J.L.Synge, The Hypercircle in Mathematical Physics,Cambridge Univ.Press,Cambridge,1957.