[拼音]:dizhenbo
[外文]:seismic wave
由地震震源向四处传播的振动。地震学的主要内容之一就是研究地震波所带来的信息。地震波是一种机械运动的传布,产生于地球介质的弹性。它的性质和声波很相近,因此也叫做地声波,不过普通的声波是在气体中传播的,而地震波是在地球介质中传播的,所以要复杂得多。在计算上地震波和光波有些相似之处。波动光学在短波的情况下可以过渡到几何光学,从而简化了计算。同样地,在一定条件下地震波的概念可以用地震射线来代替而形成了几何地震学。不过光波只是横波,地震波却纵、横两部分都有,在具体的计算中,地震波要复杂得多。
地球介质和弹性波
地震波既然是地下传播的震动,它的特征必然与岩石的物理性质有关系,特别是岩石的弹性。计算时,一般都假定岩石是一种完全弹性体。这看来似乎与事实不完全符合,因为不但地表的土壤与弹性体相差很远,就是有些岩石(如页岩)也不是弹性体。不过地震波所经过的途径主要在地下深处,表土的影响不大。地震波的传播速度很大,它所施加于岩石的应力是短暂的,能量的消失也是很小的。这样,岩石的完全弹性便是一个可以允许的几近假设。
岩石是由结晶的颗粒组成的,晶轴的取向一般是杂乱无章的。地震波长的尺度比晶粒的尺度要大得多,所以岩石晶粒的方向性和细微的物性差别对地震波的影响不大。在一般的地震波计算中,地球介质可以做为各向同性的完全弹性体来对待。不过应指出,在特殊的地区和精细的观测中,地震波的传播有时也表现出各向异性和能量消失。这些现象在某些问题中恰恰是需要研究的问题。
弹性常数
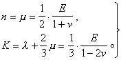
根据经典的弹性力学理论,一个各向同性的完全弹性体只有两个独立的弹性常数。常用的弹性常数有以下几个:杨氏模量E,刚性模量n,容积模量K,泊松比v和拉梅常数λ、μ。这些都是正值,它们之间存在以下的关系:
(1)
所以实际上只有两个常数是彼此独立的。计算时,任选两个原则上都一样(当然不能取n、μ)。
纵波和横波
地震波到达之处,介质就产生形变。由力学定律知道,任何小的形变都可以分解为两部分:一部分表示胀缩,即变体积而不变形状;另一部分表示畸变,即变形状而不变体积。形变传播时,两部分的传播速度不同。在震源附近,两部分还未分开,所以波经过处的形变是复杂的。在较远的地方,波阵面就分成两个。胀缩波传播较快,波阵面上的质点位移和传播方向一致,所以叫做纵波,一般用字母P表示。较慢的叫畸变波,质点位移和传播方向垂直,所以叫做横波,一般用字母S表示。在均匀的介质中,波阵面在震源附近是曲面,但在相当距离后就趋近于平面。为简单起见,现只讨论平面波。在直角坐标系(x,y,z)中,取x平行于传播方向,则(y,z)面与波阵面平行。令质点位移的3个分量各为ξ、η、ζ,则由弹性力学得到以下3个运动方程:
(2)
式中ρ是介质的密度,λ 、μ是拉梅常数,t 是时间。3个方程都具有波动方程的形式。方程(2)表示纵波,因为ξ与传播方向x一致;方程(3)表示横波,因为η和ζ都与x垂直。由(2)可见,纵波的传播速度vP是
(4)
由(3)可见,横波的传播速度vS是
(5)
因ρ、λ 、μ全是正数,所以
vp>vs,
即是说,在介质中任一点的纵波速度恒大于同一点的横波速度。若介质是一泊松固体,即是说若λ =μ或v =1/4,则
由上式可见 ,地震波速度决定于介质的弹性与密度之比,在地球内部,岩石的弹性和密度都是随深度而增加的,不过弹性增加得更快些,所以地震波的速度一般是随深度而增加的,只有在个别地区或个别深度情况下除外。
体波和面波
在没有边界的无限介质中,只能有P波和S波存在,它们可以在三维空间中向任何方向传播,所以叫做体波。但地球是有限的,有边界的。在界面附近,还可能有另一种波动存在,它们只能沿着界面传播,在垂直于界面的方向并不传播,这种波叫做面波。面波有多种,最重要的叫做瑞利波和洛夫波。瑞利波存在于地球表面之下,是1885年英国物理学家瑞利(J.W.S.Rayleigh)首先在理论上导出,以后在地震记录中得到证实。这种波的振幅在地面最大,随着深度而指数缩减。它有一定的传播速度vR,比横波速度vs略小一些。当波向前传播时,介质质点的运动轨迹是向后倒转的椭圆。这样的运动不是单纯的胀缩或畸变。瑞利波不是单纯的P或S,而是两种成分都有。洛夫波是 1911年英国力学家洛夫(A.E.H.Love) 首先提出的。这种波发生时,介质至少要有两层,上层中的vs要小于下层中的vs。面波存在于分界面之下,传播速度介于上下层两个横波速度之间。洛夫波是横波,其质点运动与分界面平行。以上两种面波的速度都比体波小,但在地震记录上,面波的振幅一般比体波大,原因之一是:体波是在三维中传播,而面波则是二维的,所以体波位移随距离的递减率要比面波快。在离开震源一定距离后,地震记录上的面波就比较显著了。不过地震的面波成分和它的激发条件极有关系。大地震的面波总是很显著的,但小地震的面波有时并不发育。
广义瑞利波和洛夫波
瑞利波和洛夫波是面波中两种基本类型。在成层的或速度随深度变化的介质中,还可能存在其他类型的面波和导波;它们的传播离不开界面,而是被界面所引导,在这些波中最重要的是所谓广义的瑞利波和广义的洛夫波。它们与以上的瑞利波和洛夫波不同之处在于它们的传播速度是随波的频率(或波长)而变化。这个速度与频率的关系曲线叫做频散曲线。频散曲线的意义在于它的形状和地下岩石的成层结构和各层中的体波速度有关系。如果能在地面上测得各种频率的瑞利波或洛夫波的传播速度,就可以对地下的成层结构做出推断。
地震波的运动学
地震波是传播的运动,它所传播的不是介质本身,而只是介质的一种运动状态。质点位移不大时,介质的运动方程是线性的,叠加原理可以应用,因此任一波动可用傅里叶方法分解成简谐波。关于波动的许多概念,如波长、频率、周期、位相等等都是由简谐波来的,这在计算上有些方便,但也不过是一种表示方法,并不意味着波动原来就是由简谐波组成的。其实波动也可以分解成阶梯函数或脉冲。为了具体,可将方程(2)或(3)写成以下形式:
式中Φ是任一传播的量,c是传播速度。此式的简谐波特解是
的实部或虚部,A是常数,称为振幅,ω和k必须满足ω/k=c。此式对于 x和t 都是以λ和T为周期的周期函数,并有
ωT=kλ=2π,
λ称为波长,T称为周期,其倒数λ-1和T -1分别称为波数和频率,而k和ω各为波数和频率的2π 倍,称为圆周波数和圆周频率。解
表示行波,“-”号的是前进波,“+”号的是后退波。由行波叠加,可得到驻波
。
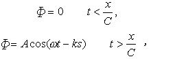
大地震时可以激发地球自由振荡。这原是驻波,但常做为相反方向传播的行波的叠加来分析。取前进波
Φ=Acos(ωt-kx), (6)
式中的ωt-kx =θ,称为波的相位。一定的相位前进时,
Δθ=ωΔt-kΔx=0,
故
,
v 称为相速度。对于恒定的简谐波(6)来说,相速度v 即等于传播速度C,后者是波动方程的一个参数,是由介质的弹性和密度所确定的。此处需注意:式(6)表示一个恒定的一维无穷波列,它没有起点和终点,而是全介质的一个稳定的运动状态。但这只是一个算学抽象。事实上,波动总是在某一时刻t0=0,某一地点x=0开始,经过
时间才到达地点x。在此以前,波动尚未发出或到达。所以正确的算学表达式应当是:
(7)
这样的运动称为有因的,即是说,波动必须从某一个源出发,以一定的速度传到点x;在波未到达之前,该点没有波动。有因函数在波动分析中必须注意,否则会得到违反因果律的结果。对于式(7), 应用傅里叶积分有困难,因为函数当t →∞时不收敛,但可以证明它可以用一个复平面上的积分来表示。
波速随频率或波长而变化,这种现象叫做频散。在完全弹性的平行层介质中,由于各种类型的波的叠加,在地表面观察到的面波速度随频率的变化是几何原因造成的。在地球内部,由于介质的不均匀性和非完全弹性,也导致地震体波的频散,这是物理原因造成的。由于频散,波形在传播过程中就会发生变化。例如在震源处发出的脉冲,在远处就可散成一个波列。在一给定地点所观测到的波动常常是许多波速和频率略有差别的波叠加而成的,这就产生群速的现象。先取两个振幅相同,而频率和波数各相差小量Δω和Δk 的波的叠加为例:
塓和噕分别是平均频率和波数。在上式中,振幅2ACOS
也是向前传播的,其速度是
,称为群速度,它与相速度
一般是不同的。同样的概念也可以推广到许多波数相近的一群波的叠加。设这群波的波数包括在K0±∈范围之内,∈是一小数。叠加后的波动是
将位相改写为:
则立得
C是振幅函数,显然以群速度
向前传播。无频散时,
,故群速度与相速度不分。有频散时,
。由定义,U又可写为:
。
以上的推导只是根据波的运动学,但群速度的概念在动力学上也是有意义的,它其实就是波动能量的传播速度。振幅函数C可写为:
这是X-Ut的函数。对于线性的简谐波动,平均能量密度唕是和振幅的平方成比例的,故
右端显然是以群速度U传播的,平均能量流应等于唕U。
地震波的吸收和衰减
将地球介质看成是完全弹性体只是一种几近。精密的地震观测表明,地震波的能量消耗有时是不能忽略的,而测量这种消耗也可以提供关于地球内部情况的更多信息。描述完全弹性体的胡克定律只反映应力σ与应变e 的线性关系,不包含σ和e 的时间变化。但若有能量消耗时,它们的时间变化率@T(00752)和妏就需要考虑。实验表明,若应变不超过10-5或10-6时,σ、e、@T(00752)、妏之间的关系仍是线性的,于是叠加原理仍可应用,这就大大简化了计算。这样的介质称为线性固体。对于圆频率为ω的简谐波来说,
。所以线性体的计算与完全弹性体相似,不过此时的弹性常数包括一个虚部而成为复数,其实部对应波的传播,其虚部对应振幅的衰减。
能量的消耗可以用不同的方式来表示;测量的方法可以用振动,也可以用行波。振幅随了时间的衰减可用
表示,γ 称为衰减系数。在一周期时间,两个同方向振动幅度的比值的自然对数称为对数减缩Δ。故Δ=γ T。对于行波,振幅因几何扩散而减小,通常与震源距离的某次方成反比,但这与能量消耗无关。对于平面波,几何扩散不必考虑。波传播x距离后,因介质对能量的吸收而导致振幅的减小,可用
表示,α称为吸收系数。因能量与振幅的平方成比例,故能量的吸收系数为2α 。习惯上,衰减系数指的是时间变化,吸收系数指的是空间变化。对于后者,也同样可采用对数减缩的概念,即定义 Δ′为相距一个波长的两个振幅比值的自然对数,或 Δ′=αλ。α 和γ 都同频率有关,在地震波的计算中,作为第一近似可假定它们与频率成正比。
表示能量消耗的另一个重要参数Q叫做品质因子,这是由电路理论借用来的一个概念,定义是
(9)
E 是一定体积的介质在一周期时间内所存储的最大应变能,ΔE是同时期所消耗的能量。在地球物理文献中,近年来较普遍地采用Q值来说明地球介质的非完全弹性,因为它与频率的依赖关系比α 或γ 弱得多。将以上定义应用于行波和驻波,可以证明:
, (10)
v 是波的传播速度,ω是圆频率。据此可见,对不同类型的波,Q值是不同的。例如P波和S波, 非但它们的v不同,而且α 和γ也不同,因而相应的 Qp和Qs也不同。瑞利波包含纵波与横波两种成分,因而QR与Qp和Qs都有关系。对于一个泊松介质,即σ =0.25的介质,可以证明:
。 (11)
由行波所测定的Q与由驻波所测定的Q略有不同。用驻波时,Δ是用相隔一周期的振幅比;用行波时,Δ′是用相隔一个波长的振幅比。若无频散,λ=VT,V是相速度,则两种测定的结果是相同的。若有频散,则最大振幅的传播速度应是群速度U而不是相速度V。使时间上的振幅衰减与空间上的振幅吸收相当,则应有
。故γ=αU 。设由驻波和行波所测定的Q值分别为Qt和Qx,则得
。故有
VQx=UQt, (12)
Q 值随频率的变化比吸收系数弱得多。在天然地震的频率范围内(约为10~0.01赫),Q值随频率的变化常是可以忽略的。
地震波的能量消失除由于介质的吸收外,还可由于波的散射。若介质中存在不均匀性,地震波通过时将发生不规则的反射和折射,向不同的方向传播并彼此干涉,最后化成热能而消失或成为某种震动背景。这部分能量消耗也表现在振幅的衰减中,因而也影响Q值。
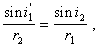
地震波的反射和折射
设有一平面波由介质 1入射于介质2,其分界面为z=0。设波的传播方向与xz面平行,波阵面法线的入射角为i。于是有
, (13)
嗘是波的位移,v 是传播速度。若嗘是P波,其位移方向与传播方向平行,且v=vp;若嗘是S波,则v=vs。但位移有两个分量:一个平行于xz面并与传播方向垂直,称为SV;另一个则垂直于xz面,称为SH。P与SV的位移因在同一平面内,故可叠加;SH的位移与传播面垂直,可以独立地计算。
当地震波入射到一个分界面时,若两边的介质不发生滑动,则计算时的边界条件为:地震波所引起的位移和应力必须连续。当P波(或SV波)由介质1入射时,可以在介质2产生一对折射的P波和SV波,其折射角分别为i2和j2;并在介质1产生一对反射的P波和SV波,其反射角分别为 i2和j2。各折射与反射的波列可用与式(13)相似的公式来表示。应用以上运动在z=0时为连续的条件,立得
(14)
其中脚标1、2各指相应的介质。此式称为斯涅耳定律。根据边界条件,还可计算折射波和反射波的振幅与入射波振幅之比,称为透射系数和反射系数。它们一般比较复杂,但当界面是地表面时,结果是简单的。因为地面可以几近地看做是一个自由面,所以边界条件简化为:z=0时,应力分量等于零。当P波由地下入射到地面时,只有两个反射波(图1)。由边界条件可得
(15)
入射P波的入真射角为i,但由于反射SV波的存在,地面上所测得的视出射角θ不等于i,可以证明,
θ=2j。由斯涅耳定律,可以解出真入射角i,
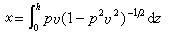
当SV波入射时(图2),则有
(16)
对于横波,位移方向与射线方向垂直,视出视角φ为:
,
由此可以解出真入射角j。
当SH波入射时,情况最简单,反射波只有一个SH波,其反射系数恒等于1。所以当SH波入射到地表面时,面上的位移振幅恒为入射振幅的两倍。
地震射线
地震波的计算除在极简单的几何条件下,一般都是复杂的。在实际问题中,常常都是采用地震射线的概念,这和几何光学很相似。所谓地震射线,就是地震波传播时,波阵面法线的轨迹,也即是震动由一点传播到另一点所经过的途径。射线地震学,也叫几何地震学,是波动地震学在波长很短时的近似。它可以由波动地震学推演出来,但更直接的是根据费马原理。这个原理说:当一个震动由介质中一点传播到另一点时,它所经过的途径是使其传播时间为一稳定值(最大、最小或拐点)。设震动由A点出发,沿途径s传播到B,传播速度是v(x,у,z),所用的时间是t,则费马原理就是
。
δ是变分。根据这个原理,若A和B各在一个分界面的两边或一边,就立刻得到斯涅耳的折射或反射定律。
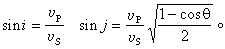
地面以下地震波传播速度一般都是随深度而增加的,因此地震射线总是向上弯曲。这就使得一条射线从震源出发,无论向何方向出射,最后总能弯回到地面。当地区不大时,地面的曲率可以忽略,地球介质可以看成是由平面平行层组成的。
图3表示这种情况,h 和v 各为层的厚度和其中的波速(为简便计,只考虑Vp,这对人工震源是合适的)。取x轴沿最上界面,z轴垂直向下。由0点至A点所需的传播时间t为:
(17)
其中
为一常数。A点的x 坐标为:
。 (18)
若介质的性质是连续变化的,即v=v(z),则可令hk→dz,n →∞,便得
, (17a)
。 (18a)
若v =v(z)为已知, 则上式可以求出。由图3可见,折射波在A点反射而又回到地面。若A点的in为90°,则可不经反射而全程都是折射波,以A点为射线途径的最低点。
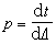
研究大区域时,地面曲率不能忽略。此时地球可看成是同心层组成的。
由图4可见
但
故 
是一常数,r0是地球半径,v0是地面附近的波速。对于一给定的射线,p是不变的,其值取决于射线离开地面时的出射角i0,叫做射线参数。它与地面上量得的走时(即t-Δ关系)有一简单关系。由图5,设相邻两点P和P′的震中距离各为Δ及Δ+dΔ。作PQ垂直于射线OP。PP′=r0dΔ,P′Q=v0dt,由此可得
。故
。若t-Δ关系为已知,则p可以求得,它与△有一定的关系。
在球对称的情况下,与平面关系式(17)、(18)式相对应的公式是
(19)
(20)
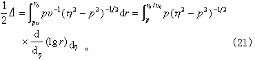
式中η=r/v,θ是射线上两点在地心所张的角,r1和r2是两点的向径。设一射线由地面附近出射,连续折射后又在震中距离△处回到地面。设其途径的最低点的r。在式(20)中,取r1=r =Pv,r2=r0,θ=△/2,得
上式左端是p的已知函数,右端lgr是η的待定函数。这是一个阿贝型的积分方程,其解是已知的,可写为:
(22)
μ是p的最低值 (μ=r/v),即震中距离为△的射线参数。上式给出r与r/v的关系,也即是v与r的关系(△′是相当于任何 p的△值)。如果地下波速随深度的变化是连续的并满足一定的限制条件,式(22)可以使人们从地面的地震波走时的观测,计算出地下波速随深度的分布。这是射线理论最伟大的成就。为了便于计算,可应用以下变换:设△′为小于△的一个震中距离,并令
,
代入上式,化简,得
,
此式可根据走时表求数值积分。由v =r/μ可求得v。
若介质是分层的,当地震波由低速的一方向高速的一方入射时,还存在一种波,叫做侧面波(或叫首波、折射波、衍射波、行走反射波,等等),这在光波中不易见到,但在地震波中则为常见。这种波以临界角(i=arc sinv1/v2)入射后,又以临界角连续出射。若在地下深为h处有一震源,则在一定的震中距离之处的任一点C都可观测到这种侧面波。射线OABC是满足费马原理的,但AB射线如何又能折回则是射线理论所不能解释的,必须从波动方程中求得答案。但它的存在也可以简单地给与定性的说明。震动沿AB路径的传播速度是v2,但这是沿分界面传播的,所以也必影响介质1。因v2大于介质1中的固有速度v1,按照惠更斯原理,在介质1中就产生一种首波,如同子弹在空气中以超音速飞行相似,但这个波在介质2中并不存在,所以只是一个半首波。在多层介质中,可以存在来自不同界面的侧面波。在地震勘探或地震测深的工作中所用的折射法,其实就是根据侧面波,而不是真正的折射波。
- 参考书目