有机光化学

浏览

普通有机化学反应(加热供给活化能)所不能进行的特殊类型变化,有时可借光化学方法来实现。光活化的反应物分子常为双自由基。现列举若干反应类型。

(1)原子位移反应:

公式 符号  (1)

式中Φ为H、烯丙基或芳基;R、R′为不同的烷基。

(2)重排反应

公式 符号   (2)

1,2-二苯乙烯的ππ*激发态允许端基自由旋转,结果产生了顺-反异构化

(3)分解反应:

公式 符号  (3)

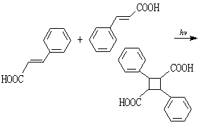
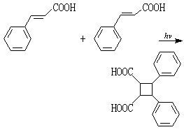
(4)加成反应:

公式 符号  (4)

公式 符号   (5)

固态的反式肉桂酸在晶格内有稳定取向,若相邻分子对有头-尾相应的构型,则光加成时产生α-吐昔酸〔反应(4)〕;若有头-头相应的分子构型,则光加成时将产生β-吐昔酸〔反应(5)〕。

此外,还可在光引发下发生取代反应链反应。上述六种类型均属直接光化学反应。有时也引入光敏剂以促进光反应的进行,称光敏反应。

1965年R.B.伍德沃德和R.霍夫曼发表分子轨道对称守恒原理:“只有分子轨道在反应物由过渡状态到产物永远保持对称性时,才有利于反应的发生”。按这个原理,链状共轭多烯类化合物进行电子环化反应时有下列关系:

图

以丁二烯类化合物为例,电子环化反应按同向旋转将合成a型,按异向旋转将合成b型〔反应(6)〕:

公式 符号   (6)

开环反应也按上述原理。对双分子的环加成反应,如含m个和 n个π电子的两个多烯类分子结合成[m+n]型环状化合物的反应:

公式 符号   (7)

按分子轨道对称守恒原理推得如下关系:表中s表示环加成反应中化学键的成键和断键都是在同面完成的;a表示另一种可能的过程,即成键和断键在反应系统之异面。分子轨道对称守恒原理在解释 σ键重排反应上也相当成功。

图

羰基化合物n,π*态的σ键断裂是一类常见的有机光化学反应。例如这种断裂一般在激发态羰基相邻的α 碳上发生,称诺里什Ⅰ型反应;另一种是经由光激发使γ碳上的氢转位后所造成的断裂,称诺里什Ⅱ型反应。羰基化合物在光照下可与烯类化合物生成环氧丙烷,这是羰基3*激发态所引起的佩特诺-比希反应。