[拼音]:yanghua huanyuan shuzhi
[外文]:oxidation-reduction resins
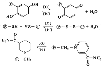
一类具有氧化还原性能的高分子化合物。因在适当的反应条件下它们能与其他分子或离子发生可逆的电子得失反应,故也称为电子交换树脂。反应式如下:
式中
代表聚合物主链。
(1)由具有氧化还原功能基的烯烃单体加成聚合(见烯类加成聚合)制成:常用的这类单体有含醌基的烯烃单体如乙烯基苯醌、乙烯基蒽醌、乙烯基萘醌等,乙烯基吡啶,乙烯基硫酚,乙烯基苯并对噻嗪,2,5-二羟基-4-乙烯基二苯砜等。由于醌基的阻聚作用,含醌基的烯烃单体只能聚合成低聚体,因此必须在聚合前将其转化成适当的衍生物,而在聚合后将保护功能基通过化学反应除去。如乙烯基苯醌在聚合之前先转化成酚,然后与乙酰氯反应,得到乙酰基衍生物,聚合后再行水解。
(2)由具有氧化还原功能基的化合物逐步聚合制成:多元酚及其衍生物可与甲醛或其他醛在酸或碱的催化下进行逐步聚合反应制成氧化还原树脂。常用的多元酚有间苯二酚、2-羟基蒽醌、1,2-二羟基蒽醌、1,2,3-三羟基蒽醌及其异构体等。常用的醛类有乙醛、苯甲醛、呋喃甲醛等。加入部分含磺酸基的单体如磺酸基苯酚,可增加反应产物的亲水性。
(3)通过高分子的功能基反应制得:许多不易用含功能基的烯烃单体制备的树脂,可以用相应聚合物通过功能基化学反应制得。聚苯乙烯的苯环易发生各种亲电子取代反应,氯甲基化聚苯乙烯是常用的中间体,可以用它来合成各种含醌基及其他氧化还原功能基的氧化还原树脂。为了增加交联聚苯乙烯氧化还原树脂的亲水性,可将含醌基的氧化还原树脂进一步磺化或将部分的氯亚甲基 (CH2Cl)用三甲胺胺化。聚苯乙烯重氮盐可与氢醌、二茂铁、对苯二胺、1,4-N,N′-二甲基苯二胺等反应成为氧化还原树脂。
(4)氧化还原化合物吸附或浸渍在高聚物载体内:将非水溶性的有机氧化还原化合物溶解于有机溶剂中,然后加入到多孔性的聚合物载体中,使氧化还原化合物以范德瓦耳斯键吸附在多孔聚合物上。也可将氧化还原化合物浸渍于大孔聚合物上,例如把叔丁基苯醌、2,5-二叔丁基苯氢醌或四氯苯氢醌溶解于己酮中,然后将其加入到低密度聚三氟氯乙烯的粉末中,再用热气流把己酮挥发掉得到。也可将 Fe2+/Fe3+、Sn2+/Sn4+、Ce3+/Ce4+、Ti3+/Ti4+等氧化还原化合物以离子键吸附在H+型强酸性离子交换树脂上。
氧化还原容量的测定先将树脂彻底还原,然后用适当的氧化剂测定聚合物的还原毫克当量。从测定过程中电势的变化,就可测得终点。也可用紫外-可见分光光度法测得氧化物的生成。常用的还原剂有Ti3+、Fe2+、V2+氧化剂有Ce4+、Fe3+、溴、碘、Ti4+。
交联氧化还原树脂的氧化还原容量测定中,由于交联共聚物只能溶胀于某溶剂而不能溶解,聚合物链上的功能基不能直接与电极接触,只能测定反应液的电势变化或光强度的吸收变化,用动态或静态法均可测定。
应用氧化还原树脂可用作化学反应的氧化剂或还原剂,制取过氧化氢、抗氧化剂、彩色显影液的非扩散性还原剂等;可用于纯化单体、废水处理、治疗疾病;用作半导体、氧化还原指示纸及配合生化合成制取多种生化活性物质。