瑞利-里兹法

浏览

通过泛函驻值条件求未知函数的一种近似方法,是英国的瑞利于1877年在《声学理论》一书中首先采用,后由瑞士的W.里兹于1908年作为一个有效方法提出。这一方法在许多力学、物理学问题中得到应用。

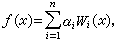
此法假定待求函数f(x)为n个已知函数 Wi(x)的线性组合:

公式 符号

式中αi为未知常系数。通过由f(x)组成的泛函嗘[f(x)]取驻值的条件(驻值条件对应于已知的物理定律或定理)得到n个方程:

公式 符号

由此解出n个未知常系数αi,从而得到f(x)。这一理论还可推广到多维问题。

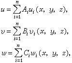
在求解弹性体位移时,先假定弹性体内沿xyz方向的位移uvw 分别由一系列已知的满足弹性体全部位移边界条件的连续函数ui(xyz)、vi(xyz)、wi(xyz)(i=1,2,…,n)叠加而成,即

公式 符号

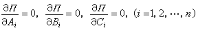
式中AiBiCi为待求系数,共3n个。将uvw代入作为泛函的总势能∏ 的表达式,根据弹性力学最小势能原理,总势能变分为零,即有驻值条件:

公式 符号

这是关于3n个待求系数AiBiCi的3n个代数方程。解出3n个未知系数便得到全部位移。通过对位移进行微商并利用应力-应变关系就得到应力。由于瑞利-里兹法假设的位移函数uvw可以不满足力的边界条件,所以位移函数的构成比较容易,计算也比较方便,但有时求出的应力误差较大。

在振动问题中,如果将物体的可能位移表达为若干给定的位移的线性组合,而以瑞利商(见瑞利原理)作为位移的泛函,则利用瑞利商取驻值的条件,就可求出物体振动的固有频率的近似值。

参考书目
  1. 鹫津久一郎著,老亮、郝松林译:《弹性和塑性力学中的变分法》,科学出版社,北京,1984。(Kyuichiro Washizu,Variational Methods in Elasticity and Plasticity,2nd ed.,Pergamon Press,Oxford,1975.)