瑞利原理

浏览

用以计算振动系统固有频率的近似值,特别是最小固有频率(即基频)的上界的一个原理,是英国的瑞利于1873年提出的。它是振动理论中的一些极值原理以及计算固有频率和振型的瑞利-里兹法的理论基础。

对于一个在稳定平衡位置附近振动的保守系统,假设它以某一满足变形连续条件和位移边界条件的可能位移为振型作简谐振动,它的角频率为ω。由于机械能守恒,系统最大势能V公式 符号等于最大动能T公式 符号T公式 符号可写成T公式 符号=ω2公式 符号,式中堟公式 符号为最大动能系数。最大势能和最大动能系数之比公式 符号称为瑞利商,它是可能位移的泛函。

瑞利原理可表述为:当可能位移取某阶固有振型时,瑞利商取驻值,且该值就是对应阶固有角频率的平方。特别地,当可能位移取对应于基频的振型时,瑞利商取最小值,其值就是基频的平方。

将瑞利原理应用于固有频率和振型的近似计算,就得到著名的瑞利-里兹法。它将可能位移表达成若干个给定的可能位移的线性组合,从而使瑞利商成为这个线性组合的系数的函数。利用瑞利商的驻值条件将问题化为以这些系数为未知量的代数特征值问题,而特征值就是固有频率近似值的平方,它们可以很容易地求出。其中,最小特征值是基频平方的偏大的近似值。再求出特征矢量就得到振型。

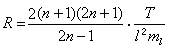
作为特殊情形,若可能位移只用一个给定函数近似表达,就得到瑞利法,用它计算基频的上界非常简便有效。若可能位移和振型的差为一级小量,则用瑞利法求出的频率的误差为二级小量。例如,对一根两端固定且长为l的均匀弦,可能位移可以取公式 符号 x≥0;当公式 符号。与此对应的瑞利商为:

公式 符号

式中T为弦中的张力;ml为单位弦长的质量。由此得到的基频f1的近似值为 垨/2π。若分别取 n=1、2和对应于R取极小时的公式 符号,则 f1对应的近似值分别为公式 符号公式 符号以及公式 符号。而两端固定的均匀弦的基频的准确值为(1/2l)公式 符号。所以基频的上述三个近似值和准确值的相对误差为 0.1、0.007和0.001。

随着科学的发展,瑞利商和瑞利原理的应用远远超出了原来的范围,它在许多物理和数学领域的理论分析和数值计算技术中起着重要的作用。