[拼音]:jiexi hanshu bianjie xingzhi
[外文]:boundary property of analytic function
以复变函数论为基础结合实变函数论研究解析函数的边界性质,与调和函数的边界性质有紧密的联系,主要研究单位圆内和一般区域内种种解析函数族的边界性质。
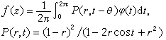
设函数ƒ(z)在单位圆|z|< 1内解析,记
如果0<p ≤∞,Mp(r,ƒ)对一切0≤r<1有界,称ƒ(z)属于哈代函数族Hp;如果
对一切0≤r<1有界,称ƒ(z)属于奈望林纳函数族N,这里,若α≥1,log+α=logα;若α<1,log+α=0。
设ƒ(z)是平面区域D内的解析函数,ζ是边界дD上的给定点,如果当z在D内以ζ为顶点的任何角形区域内趋于ζ时,ƒ(z)都趋向于一确定值,称ƒ(z)在边界点ζ处有非切向极限值,记为ƒ(ζ)。如果在 дD上除一测度为零的点集外,处处有非切向极限值,称ƒ(z)在дD上几乎处处有非切向边界值ƒ(ζ)。
边界性质与域内性质
一类问题是,利用解析函数的域内性质(比如函数模在区域内的增长性)研究其边界性质。P.J.L.法图(1906)和F.(F.)里斯(1923)分别对p=∞和0<p<∞证明:若ƒ(z)∈Hp,则ƒ(z)几乎处处有非切向边界值 ƒ(eiθ),|ƒ(eiθ)|∈Lp[0,2π],log|ƒ(eiθ)|∈l1[0,2π]除非ƒ(z)呏0,并且对[0,2π]上的任何正测度集E,
1922年R.奈望林纳证明:若ƒ(z)∈N且ƒ(z)扝0,则ƒ(z)几乎处处有非切向边界值ƒ(eiθ),并且log|ƒ(eiθ)|∈l1[0,2π]。另一类问题是,利用解析函数的边界性质判断其域内性质。1917年И.И.普里瓦洛夫证明:设ƒ(z)在|z|<1内解析,ƒ(z)扝0,若在单位圆周的一个正测度集E上,其非切向边界值ƒ(eiθ)为零,则ƒ(z)呏0。又若ƒ(z)∈h1,则ƒ(z)在圆内的值可通过圆周的一个正测度集E上的边界值表示出来。这是Γ.М.戈卢津和Β.И.克雷洛夫1933年的结果。
积分表示问题
单位圆|z|<1内解析函数 ƒ(z)可表示成φ∈lp[0,2π](1≤p ≤∞)的泊松积分
的充分必要条件是:ƒ(z)∈Hp。
构造问题
里斯在1923年证明:若
且ƒ(z)扝0,则ƒ(z)=B(z)F(z),这里B(z)是ƒ(z)在|z|<1内所有零点{zn}所组成的W.J.E.布拉施克乘积,
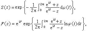
F(z)∈Hp且F(z)≠0;若ƒ(z)∈N,则ƒ(z)=B(z)g(z),g(z)∈N且g(z)≠0。1929年Β.И.斯米尔诺夫进一步证明,单位圆内解析函数ƒ(z)∈Hp(p>0)的充要条件是:ƒ(z)可以分解成
这里B(z)是ƒ的布拉施克乘积,S(z)是奇异内函数,F(z)是Hp的外函数,并且
式中m是非负整数,
;μ(t)是非减的有界变差函数,其导函数几乎处处等于零;ψ(t)>0,ψ∈lp,Inψ(t)∈l1[0,2π],у是一实数。特别当ƒ∈hp时,ψ(t)几乎处处等于
。这种分解还是惟一的。又单位圆内解析函数ƒ(z)∈N的充要条件是ƒ(z)可分解成
,
这里B(z)是ƒ的布拉施克乘积,S1(z)和S2(z)分别是奇异内函数,F(z)是N的外函数,其中ψ(t)≥0,lnψ(t)∈l1[0,2π]。特别若ƒ∈N,则ψ(t)几乎处处等于
。
一般区域的情形
设D是边界多于一点的单连区域,若在D内存在可求长的若尔当闭曲线C1,C2,…,{Cn}趋于边界дD,使得
,
则称ƒ∈Ep(D)。若边界是可求长的若尔当曲线C,则Ep(D)中每个函数ƒ(z)在C上几乎处处有边界值ƒ(ζ),并且
;如果边界值函数ƒ(ζ)在一正测度集上等于零,则ƒ(z)在D内必为零。若ƒ∈E1(D),则对D内的z,
;反之,若g在C上可积,并且
,则
,且在C上几乎处处以g(ζ)为边界值。
解析函数边界性质的理论是Hp 空间理论的基础和重要组成部分,对多复变数解析(全纯)函数边界性质的研究有深刻的影响,在奇异积分方程、解析函数的边值问题和弹性力学及断裂力学中都有广泛应用。