薄壳理论

弹性力学的一个研究内容,它研究薄壳体在各种载荷作用下的力学性能,如变形情况、内力分布规律等。壳体也是结构力学的研究对象。所谓壳体是由内、外两个曲面围成的物体,两个曲面称为壳体的表面。与两个曲面等距的点所形成的曲面称为壳体的中面;两曲面之间的中面法线长度称为壳体的厚度。一般壳体可用中面的几何形状和厚度来描述。中面封闭的壳体称为封闭壳体,否则称为开口壳体。开口壳体除了内外表面外,还有四周的边界面。最大厚度远小于中面曲率半径和另外两个方向尺寸的壳体称为薄壳。薄壳主要以沿厚度均匀分布的中面应力而不是以沿厚度变化的弯曲应力来承受外载,具有重量轻、强度高的优点,所以在航天、航空、造船、化工、建筑、水利和机械等工业中得到广泛应用。

薄壳理论是19世纪末在基尔霍夫-乐甫假设的基础上建立起来的。进入20世纪后,在生产技术的推动下,壳体理论曾有较大的发展。当时主要是针对不同类型的壳体建立各种简化理论。50年代开始对基尔霍夫-乐甫假设进行修正,使薄壳理论精确化。随着电子计算机的进步,薄壳理论在数值计算以及理论分析和数值计算相结合两方面都有迅速发展。

基本理论

薄壳的几何形状和变形情况通常都很复杂,必须引入一系列简化假设才能进行研究。最常用的假设是基尔霍夫-乐甫假设,以此为基础可建立薄壳的微分方程组,通过解微分方程组可得到壳体中的位移和应力。

基尔霍夫-乐甫假设

1874年德国的H.阿龙将薄板理论中的基尔霍夫假设推广到壳体。1888年经英国的A.E.H.乐甫修正,形成至今仍然广泛采用的薄壳理论。基尔霍夫-乐甫假设包括四个内容:

(1)壳体厚度(t)远小于中面最小曲率半径R; ②壳体的变形和位移量都非常小,而且转角和应变是同级小量,在变形几何关系中可以忽略二次以上的高阶项;

(3)中面法线方向的正应力分量远小于与法线垂直方向上的正应力分量,前者在应力-应变关系中可略去不计;

(4)变形前中面的法线在变形后仍为法线,且在变形过程中,壳体厚度不变。严格地说,③和④两点假设是不相容的,不过由此引起的误差在t/R量级以内,这对薄壳来说是允许的。

薄壳中的变形和内力

相应于基尔霍夫-乐甫假设的薄壳的中面变形包括两个正交方向(αβ方向)的中面正应变ε1ε2,中面剪应变γ,两个方向的中面曲率变化κ1、κ2和中面扭率变化值κ12;薄壳中的中面内力包括法向力T1T2,切向力T12T21,横向剪力N1N2,弯矩Μ1、Μ2和扭矩Μ12、Μ21(见图)。

图

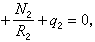
薄壳理论的任务就在于求出中面的变形和内力,进而根据下列表达式求出壳内的应变分量和应力分量σ1σ2τ12

公式 符号 公式 符号 公式 符号

式中z为所考虑的点到中面的距离。 上述诸式中等号右端的第一项为沿厚度均匀分布的薄膜应变和应力,第二项为线性分布的弯曲或扭转应变和应力。

基本方程

根据弹性力学并利用基尔霍夫-乐甫假设建立起来的近似理论称为壳体的乐甫一级近似理论。它包含一系列基本方程:

(1)应变-位移关系式 应用微分几何中的曲面理论,中面变形的应变-位移关系式(即几何方程)为:

公式 符号 公式 符号 公式 符号 公式 符号 公式 符号 公式 符号 公式 符号 公式 符号 公式 符号 公式 符号

式中uvω为沿αβ方向和法方向的位移分量;A1A2αβ方向的拉梅系数;R1R2αβ方向的曲率半径。由于曲率的存在,壳体变形中的切向位移分量uv与法向位移分量ω间便有耦合关系,从而造成壳体几何方程的复杂化。

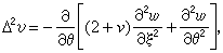
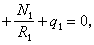
(2)静力平衡方程 它的一般形式可写为:

公式 符号 公式 符号 公式 符号 公式 符号 公式 符号 公式 符号 公式 符号 公式 符号 公式 符号 公式 符号

式中q1q2q3分别为单位中面面积上在αβ方向和法方向的表面载荷分量。这些方程表明,中面切向的平衡方程中包含横向剪力N1N2,而在法向的平衡方程中又含有中面内力T1T2。即使在小变形情况下,中面内力与横向剪力也是相互耦合的。此外,最后一式按内力定义应为恒等式。

(3)应力-应变关系 反映壳体内中面内力和应变之间的关系,即

T1C(ε13),  T2C(ε21),

公式 符号

Μ2D2vκ1),  Μ12=Μ21D(1-v)τ。式中C =Et/(1-v2),v泊松比,E为弹性模量;D=Et3/12(1-v2),称为弯曲刚度。

求解壳体内的位移和内力须将上述各方程联立。上述联立基本方程组可化为仅用壳体的挠度表达的八阶偏微分方程。从理论上讲,只要有足够的边界条件,即可以从这些方程中解得全部未知量。一般说来,在每个边界上只能有四个边界条件,但自然边界条件有五个。在这种情况下,应将扭矩化为等效的剪力,譬如在边界上,两个剪内力化为:

公式 符号

应用

壳体方程组十分复杂,所以对任意载荷下的任意形状壳体求得一般解是很困难的,而只能求经过简化的某些特殊壳体的解,它们在工程应用上具有重要的价值。这些壳体有:

薄膜壳

如果壳体的几何形状(包括厚度)和表面载荷都是连续可微函数,则除壳体边缘局部区域可能由于受支承而出现弯曲应力外,大部分壳体一般处于无弯矩的应力状态。这种状态与薄膜受力状态相当,可根据壳体的无矩理论求解。按照这个理论,弯矩分量Μ1212=0。根据平衡条件得到N1=N2=0;T12=T21,记为S。这样,在一般情况下,壳体的六个平衡方程将简化成只包含三个未知内力的三个方程:

公式 符号 公式 符号 公式 符号

无矩理论的上述基本方程是静定可解的,并且可归结为某个位移函数(见应力函数和位移函数)的四阶偏微分方程。工程上常见的二次旋转曲面壳体,在轴对称载荷(如均布压力、水压、风型载荷和重力等)作用下,可用无矩理论求得解析解。该解不仅近似地反映了壳体大部区域的应力和变形,而且在一般情况下,它与考虑弯矩后得到的特解之差为t/R的数量级,故可近似地作为特解。此外,无矩状态还是结构最佳的受力状态,所以无矩理论具有重要的实用价值。

圆筒壳

圆筒壳制作方便,应用极为广泛。此外,圆筒壳沿母线方向的曲率为零,而其周向曲率又为常数,所以易于进行理论分析。最初,圆筒壳方程的表达式相当复杂,1933年美国的L.H.唐奈作了简化:

(1)在壳体中面的周向平衡方程中,忽略周向曲率对横向剪力N2的影响;

(2)在变形分量κ1、κ2和κ12的几何方程中,略去含切向位移分量uv的项。由此得到在仅有法向表面载荷q3作用的唐奈方程:

公式 符号 公式 符号 公式 符号

式中ξx/aθs/aa为圆筒的半径,xs分别表示轴向和周向的长度变量;公式 符号 墷为拉普拉斯算符。对于较短的圆柱壳,唐奈方程具有一定的精度。1959年美国的F.W.莫利对唐奈方程作了改进,他将第三个法向位移方程改成下式:

公式 符号

从而提高了唐奈方程的精度并扩大了它的应用范围,形式也得到了简化。对轴对称载荷作用下的圆筒壳,唐奈方程简化为弹性基础上板条梁的弯曲方程。

1932年,苏联的В.З.符拉索夫针对周向加劲的长圆柱壳体(见加劲板壳)提出了一种简化的半无矩理论(又称半弯矩理论)。它是在忽略柱体母线方向所有弯矩和周向变形的基础上建立的理论,它还被推广应用于任意截面形状的长柱壳体。

旋转壳

德国的H.瑞斯纳和瑞士的E.迈斯纳分别于1912年和1913年以旋转壳体经线上的横向剪力和纬线方向的主曲率半径的积作为变量,并用经线上切线的转动角为另一变量,将壳体基本方程简化成两个互相耦合的二阶常微分方程的方程组。在无表面载荷的情况下,它是齐次方程组,可化为一个复数函数表达的二阶常微分方程。由于壳体弯曲具有边界效应,作为初级近似,德国的J.W.盖克勒于1926年曾利用这一特点把方程进一步简化。因原微分方程具有渐近性质,所以可用渐近积分方法求得精度较高的解。

扁壳

对于工程上常用的拱高较小(一般拱高与底面特征长度相比不超过1/5)的扁壳,德国的K.马格雷和苏联的穆什塔利于1938年根据其几何特点分别建立了这类壳体的基本方程。1944年符拉索夫将这一成果发展成为系统的扁壳近似理论。这一理论利用壳体中面扁平的特点把高斯曲率近似地取为零。另外,除了在中面应变分量的几何关系式和法向平衡方程中保留曲率效应外,其他都近似地采用平板方程的表达式。由于这些简化和圆柱壳体中的唐奈方程的近似假定相同,扁壳理论应用于零高斯曲率的圆柱壳体同唐奈方程完全一致,因此扁壳方程也可以说是唐奈方程的推广。

参考书目
  1. W. Flügge, Stress in Shells,2nd ed., Springer-Verlag,Berlin,1973.