核苷酸

一类由碱基(主要是嘌呤、嘧啶碱的衍生物)、戊糖(核糖或脱氧核糖)和磷酸连接而成的化合物。也叫核苷磷酸,是构成核酸的基本单位。1983年有人发现一类不含戊糖而含葡萄糖(一种己糖)的“核苷酸”组成的核酸──葡萄糖核酸 (GNA)。核苷酸及其衍生物广泛地参与生物体内各类生物化学反应,如腺苷三磷酸(ATP)和鸟苷三磷酸(GTP)是生命活动广泛需要的能源;环腺苷酸(cAMP)、环鸟苷酸(cGMP)和2′,5′-寡聚腺苷酸是代谢调节信号分子;烟酰胺腺嘌呤二核苷酸(NAD+)、烟酰胺腺嘌呤二核苷酸磷酸 (NADP+)、黄素腺嘌呤二核苷酸(FAD)和辅酶 A(CoA)是广泛存在的辅酶;UDP-葡萄糖、CDP-胆碱等参与糖代谢和磷脂代谢。肌苷酸 (5′-IMP)、鸟苷酸(5′-GMP)是味精的助鲜剂。

组成

组成RNA的核苷酸是核糖核苷酸,构成DNA的是脱氧核糖核苷酸,两者分别由碱基-核糖-磷酸和碱基-脱氧核糖-磷酸依次连接而成。

碱基

核苷酸中的碱基主要有两类,即嘌呤碱和嘧啶碱。以它们为骨架构成的化合物有腺嘌呤、鸟嘌呤、胞嘧啶、尿嘧啶和胸腺嘧啶(图1

图

,结构式中环内的碳原子及与其相连的氢原子通常不表示出来)。腺嘌呤、鸟嘌呤和胞嘧啶是 RNA和DNA共有的三种组分,第四种组分在RNA中为尿嘧啶,在DNA中则为胸腺嘧啶。60年代以来还发现有60~70种少量或极少量存在于核酸分子中的其他碱基,称为修饰碱基。例如N6-甲基腺嘌呤、7-甲基鸟嘌呤、N4-乙酰胞嘧啶和5,6-二氢尿嘧啶(图2)。有的修饰碱基结构非常复杂,叫做高度修饰碱基,如Y碱和Q碱(图3)。

图 图

核苷

碱基和核糖或脱氧核糖的第一个碳原子连接而成的糖苷化合物,前者称核糖核苷,后者称脱氧核糖核苷。在两类核苷分子中,由于碱基组分的差别以及戊糖的不同,各有下列4种核苷:

嘌呤类核苷和嘧啶类核苷结构式中为区别碱基上的编号(1,2,…),糖上碳原子编号常以1′,2′,…表示(图4)。

图

核苷酸

核苷的磷酸酯,磷酸基与糖上的羟基连接。因为核糖有 3个羟基,所以核糖核苷酸如腺嘌呤核苷酸(简称腺苷酸)有3种形式(图5)。脱氧核糖有两个羟基,因而脱氧核糖核苷酸如腺嘌呤脱氧核糖核苷酸(简称脱氧腺苷酸)只有两种 (图6)。

图5 图6

核苷多磷酸

含两个以上磷酸基的核苷酸。只带一个磷酸基的核苷酸,叫核苷一磷酸,带两个磷酸基的核苷酸叫核苷二磷酸,依此类推。如腺嘌呤核苷酸有腺苷一磷酸(即腺苷酸,AMP)、腺苷二磷酸(ADP)、腺苷三磷酸(ATP)和脱氧腺苷一磷酸(即脱氧腺苷酸,dAMP)、脱氧腺苷二磷酸(dADP)、脱氧腺苷三磷酸(dATP)。天然的核苷多磷酸中,磷酸基多是与戊糖的5′-羟基相连(图7)。

图

4 种核苷三磷酸(ATP、GTP、CTP和UTP)、4 种脱氧核苷三磷酸(dATP、dGTP、dCTP和dTTP)分别是RNA和DNA生物合成的原料(见脱氧核糖核酸的复制、转录)。

寡核苷酸与多核苷酸

2 ~20个核苷酸连接而成的化合物叫寡核苷酸。20个以上的核苷酸组成的化合物叫多核苷酸。核酸是一种多核苷酸。

生物合成

生物体内核苷酸的合成,有从无到有和“补救”两条不同的途径,但通常以前者为主。从无到有合成途径不是直接由完整的碱基(嘌呤或嘧啶)、核糖、磷酸三者相连而成,而是在磷酸核糖的基础上逐步加上一些来自代谢的小分子化合物,然后将环闭合形成核苷酸前体,进一步加工成核苷酸。在这个合成途径中,嘌呤环和嘧啶环上各个元素的来源,是通过用各种同位素标记的化合物饲喂鸽子,然后分析其排泄物尿酸分子内标记元素的分布情况来确定的(图8)。

图

嘌呤核苷酸从无到有合成是通过一系列反应从核糖-5-磷酸、腺苷三磷酸、谷氨酰胺、甘氨酸、天冬氨酸、二氧化碳和一碳化合物首先合成5′-肌苷酸(IMP),然后再进一步转化为5′-腺苷酸或5′-鸟苷酸(图9)。

图

嘧啶核苷酸从无到有的合成包括从二氧化碳、谷氨酰胺和天冬氨酸取得相应于嘧啶环上的各个元素,合成类似于尿嘧啶的乳清酸,然后加上磷酸核糖合成乳苷酸,最后脱羧生成5′-尿苷酸;胞嘧啶核苷酸是在尿嘧啶核苷三磷酸上加上从氨或谷氨酰胺分子内取得的氨基生成胞苷三磷酸,再脱去磷酸基而形成的(图10)。

图

补救途径则是直接用现成的嘌呤或嘧啶与核糖、磷酸连接成核苷酸。在有些组织中,当从无到有途径受阻时,即可通过此补救途径合成核苷酸。

脱氧核糖核苷酸由核糖核苷一磷酸磷酸化得到核苷二磷酸,然后还原产生。DNA分子中的脱氧胸苷酸则是由脱氧尿苷酸甲基化得到。由上面得到的核糖核苷酸和脱氧核糖核苷酸经过一系列磷酸化反应生成 RNA生物合成(转录)的活性前体──ATP、GTP、CTP和UTP以及 DNA生物合成(DNA复制)的活性前体──dATP、dGTP、dCTP 和dTTP。

重要的核苷酸衍生物

腺苷酸衍生物

ADP和ATP是体内参与氧化磷酸化的高能化合物,ATP也是细胞内最丰富的游离核苷酸(如哺乳动物细胞中ATP浓度接近1毫克分子),水解1克分子ATP约释放7000卡能量。

腺苷-3′,5′-磷酸即环腺苷酸(cAMP,图11)主要存在于动物细胞中,生物体内的激素通过引起细胞内cAMP的含量发生变化,从而调节糖原、脂肪代谢、蛋白质和核酸的生物合成,所以cAMP被称为第二信使

图

2′,5′-寡聚腺苷酸,通常由3个腺苷酸通过2′,5′-磷酸二酯键联接而成,即pppA(2′)p(5′)A(2′)P(5′)A,是干扰素发挥作用的一个媒介,具有抗病毒、抑制DNA合成和细胞生长、调节免疫反应等生物功能。

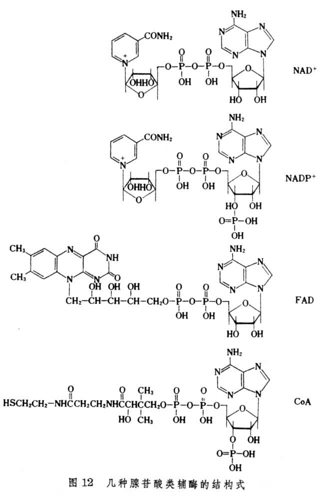
几个重要的辅酶都是腺苷酸衍生物。ATP 就是其中最重要的一个。此外,NAD+、NADP+和FAD,可通过氢原子的得失参与许多氧化还原反应。辅酶 A行使活化脂肪酸功能,与脂肪酸、萜类和类固醇生物合成有关 (图12)。

图

腺苷-3′-磷酸-5′-磷酰硫酸(PAPS,图13)是硫酸根的活化形式,蛋白聚糖的糖组分中硫酸根的来源。甲硫氨酸被腺苷活化得到S-腺苷甲硫氨酸(SAM,图14),它在生物体内广泛用作甲基供体。

图13 图14

鸟苷酸衍生物

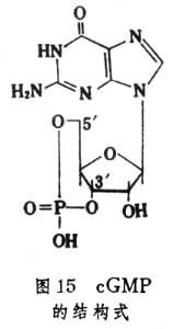
在某些需能反应中,如蛋白质生物合成的起始和延伸,不能使用ADP和ATP,而要GDP和GTP参与反应。鸟苷-3′,5′-磷酸(cGMP,图15)也是一个细胞信号分子,在某些情况下,cGMP与cAMP是一对相互制约的化合物,两者一起调节细胞内许多重要反应。鸟苷-3′-二磷酸-5′-二磷酸 (ppGpp)和鸟苷-3′-二磷酸-5′-三磷酸(pppGpp)则与基因表达的调控有关(图16)。

图 图

胞苷酸衍生物

CDP和CTP也是一类高能化合物。与磷脂类代谢有关的胞苷酸衍生物有CDP-胆碱、CDP-乙醇胺、CDP-二甘油酯等(见脂肪代谢)。

尿苷酸衍生物

在糖代谢中起着重要作用,UDP是单糖的活化载体,参与糖与双糖、多糖的生物合成,如UDP-半乳糖是乳糖的前体,UDP-葡萄糖是糖原的前体,UDP-N-乙酰葡糖胺与糖蛋白生物合成有关。UDP和 UTP也是一类高能磷酸化合物。

参考书目
  1. G.Zubay,Biochemistry,Addison-Wesley Publishing Co. Inc., U.S.A., 1983.

参考文章