[拼音]:zhengze bianhuan
[外文]:canonical transformation
由一组正则变量到另一组能保持正则形式不变的变量的变换。设某系统存在着一组广义坐标q1,q2,…,qN和广义动量p1,p2,…,pN,而变量变换式为:
式中t为时间。如果变换式(1)满足
,
而且使系统原来的正则方程
,
(i=1,2,…,N)变换到以K为哈密顿函数的另一组正则方程
,(i=1,2,…,N) (2)
则式(1)称为正则变换。式(2)中的K(Q,P,t)是新哈密顿函数。
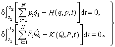
根据正则方程与广义哈密顿原理的等价性,上述要求也可表述为:
(3)
如果上式同时成立,其被积函数应满足
(4)
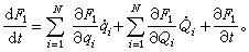
式中F称为正则变换的“母函数”。由于4N个新老正则变量之间有2N个变换关系式相联系,可在其中选出2N个变量作为独立变量。 假定某类正则变换可以选择(q,Q)这2N个变量作为独立变量,则F可表达为(q,Q,t)的函数,并记为F1。于是有:
(5)
而 
将上式代入(5)中,比较系数得:
, (6)
式中F1称为“第一类的母函数”,可以按要求适当选定。F1选定后,可自式(6)的第一式解出Q,再自第二式算出P,K可由式(6)的末一式求得。这样求得的Q,P,K一定适合正则方程:
。
在4N个新老正则变量中,如果对2N个独立变量的取法不同,则母函数的形式也不同。常用的母函数有F1(q,Q,t),F2(q,P,t),F3(p,Q,t),F4(p,P,t)。它们之间的关系可写为:
施行正则变换的目的是将正则方程变换成较易求解的方程。如选择正则变换,使变换后的新哈密顿函数
,则这种变换后的新广义坐标全部成为可遗坐标。由式(2)得:
,
故 Qi=αi,Pi=βi,
式中αi,βi分别为积分常数。
假定上述正则变换的母函数为F1,根据式(6)的末一式,应该有:
。 (7)
将F1写成S(q,Q,t),再把式(6)中的第一式代入式(7)中便得到:
这就是著名的哈密顿-雅可比方程,通过它的全积分可以找到满足上述要求的正则变换。
正则变换的研究在天体力学中有广泛的应用。