绝热流动

对整个流体介质而言,没有热量进出,而且流体内各部分之间没有热传导的流动。热量的进出可借助于流体与周围介质的热传导作用,也可以借助于各种热源来实现。介质的热辐射,介质放电(电能转化为热),介质的化学反应(化学能转化为热)等,都可以看成是某种热源。作绝热流动的流体不存在上述现象。

由于有粘性作用或有激波出现,流体介质会有机械能损耗,转变为热。这种现象虽也能使整个流体介质的热量增加,但这种热量不是自流体外部进入的,绝热流动可以允许这种现象存在。对没有这种机械能损耗的绝热流动,通常称为可逆绝热流动。

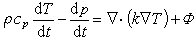
严格的绝热流动不允许有任何热传导现象存在。尽管实际的流体介质在温度不均匀分布时总会或多或少要传热,只要热传导现象的影响不大,就可以忽略,把流体的流动看成是绝热的。于是绝热流动研究就具有实际意义。声波和边界层外的气体动力学问题常被看作是绝热流动。如空气中声波的运动,联系温度和热量变化的能量方程为:

公式 符号

式中ρ为密度;T热力学温度;p为压力;t为时间;k热导率;公式 符号为定压比热;ф为粘性耗损项。若空气中的声波波长为λ,声速为c,在上述能量方程中,惯性项公式 符号的主要项是公式 符号,其数量级大小为公式 符号,而热传导项墷·(kT)的数量级为公式 符号,惯性项与热传导项的量级之比为公式 符号,用普朗特Pr表示公式 符号,则这两者之比为公式 符号,其中μ为动力粘性系数。对空气而言,Pr≈0.71,c=340米/秒,公式 符号=1.57×10-52/秒。人耳可闻的声波波长一般在10-2~20米的范围,若取λ为10-2米,则这个比值约为1.5×105。因此,热传导项的作用可以完全忽略不计,从而可以认为声波运动是绝热流动。

参考书目
  1. H.W.李普曼、A.罗什柯合著,时爱民等译:《气体动力学基础》,机械工业出版社,北京,1981。(H.W.Liepmann and A.Roshko,Elements of Gasdynamics,John Wiley & Sons,New York,1957.)

参考文章