非线性振动

恢复力与位移不成正比或阻尼力不与速度一次方成正比的系统的振动。尽管线性振动理论早已相当完善,在工程上也已取得广泛和卓有成效的应用,但在实际问题中,总有一些用线性理论无法解释的现象。一般说,线性模型只适用于小运动范围,超出这一范围,按线性问题处理就不仅在量上会引起较大误差,而且有时还会出现质上的差异,这就促使人们研究非线性振动

非线性特征

了解非线性振动的一些典型特征,对非线性问题的处理以及非线性振动理论的应用,都会有所启发。

固有频率特性

线性系统的固有频率不依赖于运动的初始条件,而只与系统的参量(质量与刚度)有关。非线性振动系统则不然。由于刚度随变形大小而变化,因而系统的固有频率也随运动幅度大小而变化。刚度随变形增大而增大的弹簧,称为渐硬弹簧;反之,称为渐软弹簧。渐硬非线性系统的固有频率随振幅变大而变大;渐软非线性系统则相反。三种弹簧的弹力随变形的变化见图1。

图 自激振动

非线性自治系统具有等效负阻尼时,调节等效阻尼到零的情况下所存在的定常周期振动。自治系统是指运动微分方程中不显含时间 t的系统。在线性自治系统中出现的运动形式只有三种:发散型、保守型和衰减型。发散型对应于负阻尼情形,保守型对应于无阻尼情形,衰减型对应于正阻尼情形。只在保守情况下,系统的运动才是谐和的,按能量大小,形成一族振幅连续分布的(即非孤立的)周期运动。

非线性自治系统,除了在保守情况仍有非孤立的周期运动外,在非保守情况也可能出现孤立的周期运动。当阻尼为非线性时,阻尼系数随运动而变化,因而有可能在小振幅下,等效阻尼是负的;在大振幅下,等效阻尼是正的;在某个中间的振幅,相应的等效阻尼为零,与此相应,存在一个定常周期振动,称为自激振动,简称自振。这种振动是孤立的,其幅值变化和周期仅取决于系统参量,在一定范围内与初始状态无关。

弱非线性系统的自振是接近于谐和的;强非线性系统的自振则是远离谐和的。后者在振动中,缓慢地积累能量的过程与几乎是瞬时地释放能量的过程在交替进行,因而形象地称为张弛振动。振动的图像见图2,图中x为位移,t为时间。

图 跳跃现象

非线性系统的振幅 (A)对谐和外扰频率(ω)的曲线可有几个分支,缓慢地变动扰动频率,可在某些频率出现振幅的突变现象。和线性系统不同,描述非线性系统的微分方程,在同一组参量下可能有多个周期解;而只有那些满足稳定性条件的解,才对应有物理上可实现的运动。在非线性系统中,运动的多样性和稳定性不可忽视。

具有非线性恢复力的系统在谐和外扰作用下的定常响应曲线,往往在某些频带上有几个分支(图3);因而对应于同一个扰频,可以有几个不同幅值的稳定的定常受迫振动。若扰力的幅值保持不变,而其频率缓慢地改变,则当扰频变到某些值,例如图3中的ω1ω2处,两个定态振动之间就发生跳跃现象:当扰频单调上升至ω2处时,从3跳到4;当扰频单调下降到ω1处时,从6跳到2。因此,跳跃现象又称振动回滞。如保持扰频不变,而缓慢地改变扰力幅度,也可能出现类似的跳跃现象。

图 亚谐共振

干扰力作用于非线性系统所激发的频率比干扰频率低整数倍的大幅度振动。固有频率为ωnω/n(n为正整数)。对线性系统,在频率为ω 的谐和外扰作用下,只能产生频率为ω的定常受迫振动。但具有非线性恢复力且固有频率接近于ωn的系统,在受到频率为ω的谐和外扰时,有可能产生频率为ω/n的定常受迫振动,称为亚谐共振或分频共振。理论和实验研究证明,亚谐共振的出现,不仅依赖于系统的参量,而且还依赖于初始条件。

自振系统在谐和外扰作用下,也可能产生亚谐共振。亚谐共振可解释为:由于外扰对自由振动高谐分量所作的功而维持的受迫振动。

同步现象

干扰力频率接近自振系统固有频率到一定程度时,所激起的振动中只包含干扰力频率而自振频率被俘获的现象。17世纪,C.惠更斯已观察到:快慢稍微不同的两只时钟,挂在同一壁板上会保持同步计时。

在自振频率为ω0的电子管振荡器中,设在栅极回路加上频率为ω的激励,则在ω接近ω0时,按线性理论,输出中必然有拍频为|ωω0|的信号。实际上,当|ωω0|小于某个阈限时,拍频就突然消失,只剩下频率为ω的输出,即自振和受迫振动发生同步,或者说自振频率被扰频所俘获,因而这一现象也称为频率俘获。

同步现象已被有效地利用于振荡器的稳频以及振动机械的同步激振。同步现象不仅出现在扰频和自振频率相近的区域,在一定条件下,也可出现在扰频的整分数倍和自振频率相近的区域,这种现象称为亚谐同步。

参变激发

周期地改变系统的某个参量而激起系统的大幅振动。例如单摆支点在作铅垂振动时,摆的下铅垂平衡位置在一定条件下会丧失稳定性。当系统的固有频率等于或接近参量变化频率的一半时,参变激发现象最易产生。

参变镇定

参量的周期变化使系统稳定的现象。例如倒立摆支点沿铅垂方向作适当振动时,摆的上铅垂平衡位置有可能变成稳定的。

解法

对于非线性系统,叠加原理不再适用,因而非线性问题没有一般的解法。通常只能用一些特殊方法来探索非线性系统的重要运动,这些方法又分定性和定量两类,两者相辅相成。

定性法

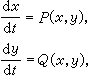
常用的是相平面法。将二阶自治系统的运动微分方程写作:

公式 符号

式中P(xy)、Q(xy)是实解析函数。从方程中消去变量t,得:

公式 符号

xy看作平面内一点的直角坐标,这个平面称为相平面,点(xy)称为相点。相点描述系统在某一瞬时的运动状态。对应于系统的任一特定的运动xx(t),yy(t),相平面上皆有一条确定的曲线,称为相轨。相轨描述系统的整个运动状态。在相平面上,凡是P(xy)、Q(xy)同时为零的点都称为奇点。在动力学问题中,奇点对应于系统的平衡状态。一个奇点,若从它的邻域内出发的积分曲线都向它趋近,或者始终逗留在它的邻域内,称为稳定奇点;否则称为不稳定奇点。

二阶自治系统的相轨中有一类孤立的闭轨具有特殊重要意义,这类闭轨称为极限环。从它一侧邻域内任一点出发的相轨,或者都趋近它,或者都离开它。一个极限环,若内外两侧邻域内的相轨都向它趋近,就是稳定的;否则就是不稳定的。稳定的极限环对应于物理系统中的自振。极限环和保守系统自由振动的闭轨的根本区别为:极限环是孤立的,即在它的邻域内不存在其他闭轨;极限环所对应的周期振动不依赖于系统的初始条件。

定量法

较为常用的是平均法。考察单自由度非线性自治系统:

ü+ω娿uεf(u,夦),       (1)式中ε为小参量。当ε=0时,方程解的形式为:

uacos(ω0t+β)呏acos,     (2)式中aβ为常数。当ε厵0而取小值时,式(1)的解仍可取式(2)的形式,不过其中的aβt的函数,而不再是常数。这样,式(2)也可看作是一种变换:将因变量u(t)变换成因变量a(t)和β(t)。为了消除变换的任意性,还需附加一个条件,即取速度夦仍具有ε=0时的形式:

夦=-ω0asin。         (3)将式(2)对t求导,得:

夦=-ω0asin+╠cos-a夁sin。    (4) 式(4)与式(3)相比,得:

╠cos-a夁sin=0。        (5)将式(3)对t求导,则有:

ü=-ω娿acos-ω0╠sin-ω0a夁cos。    (6)将式(6)代入式(1),得:

ω0╠sin+ω0a夁cos=-εf(acos,-ω0asin)。(7)由式(5)和式(7),可解得:

公式 符号     (8)

式(8)等价于式(1),因为在推导过程中未作任何近似假设。不过式(8)仍不便于积分。考虑到当ε小时,╠与夁均为小量,在振动的一周内可看作常量,因而可将式(8)右端对求平均,由此得近似方程:

公式 符号  (9)

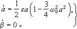
作为例子,考察瑞利方程:

ü+ω娿uε(夦-夦3),这时,有f(u,夦)=夦-夦3。由式(9)可得:

公式 符号       (10)

从式(10)可解得a的定常解:a=0与公式 符号。前者对应于(u,夦)相平面上的不稳定奇点,即对应于系统不稳定的平衡状态;后者对应于(u,夦)相平面上稳定的极限环,即对应于系统稳定的自激振动。