[拼音]:juzhengze peifen hanshu
[外文]:grand canonical partition function
其定义为:
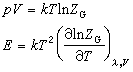
式中λ为乘因子,相当于粒子的绝对活度;n为巨正则系综中体系的粒子数;Qn为n个粒子体系的正则配分函数。巨正则配分函数与体系的热力学函数之间的关系为:
式中p为压力;V为体系的体积;k为玻耳兹曼常数;T为热力学温度;E为体系的能量。
在巨正则系综中,具有粒子数ni,能量Ei的体系出现的几率为:
式中N为总体系数;
表示具有粒子数为ni,能量为Ei的体系数;W(ni,Ei)表示粒子数为ni,能量为Ei的体系的微观态数。