测量平差

依据最小二乘准则,由一系列带有观测误差的测量数据,求定未知量最佳估值及其精度的理论和方法。对于含有误差的观测数据,一方面要估计它们的可靠程度,并作出合理的解释,这就涉及有关观测误差性质的基础知识,如误差出现的规律性,精度指标及其含义,误差的传播规律等;另一方面还要对这些观测数据作适当处理,以便得出待求量的最佳估值,这涉及推求未知量最佳估值的准则,数据处理的基本方法,以及它们的函数模型等。

观测误差

在测量工作中,为了求得某些未知量的数值,总是通过各种方法直接或间接地对这些量的函数进行观测,从而得到许多观测值。被观测量的真值同观测值之差称为观测误差。观测误差的发生有多种原因,例如,观测时所使用的仪器的精密度有限,测量者感觉器官的鉴别能力有一定的局限性,测量时所处的外界条件不能确知等。

观测误差按其性质可分为系统误差和偶然(随机)误差两类。大小和正负号按一定规律出现的误差,属于系统误差。这种误差对于测量结果的影响通常具有系统性,是非常有害的。因此,必须在测量过程中采取适当的操作程序,或者通过计算改正的方法,尽可能地从观测值中消除。

大小和正负号呈现随机性变化的误差,属于偶然误差。这种误差是不可避免的。在一定条件下进行一系列观测,从各个偶然误差的取值来看,或大或小,或正或负,并无任何规律。但从大量偶然误差的整体来看,却存在着统计的规律性,即偶然误差服从正态分布。正态分布总结了偶然误差的下列特性:绝对值很大的误差不大可能出现;绝对值小的误差比绝对值大的误差出现的可能性大;绝对值相等的正误差与负误差出现的可能性相同。

设以Δ表示观测的偶然误差,表示观测对象的真值,L表示它的观测值,则有

图1是正态分布曲线图。横轴Δ表示偶然误差的大小,纵轴f(Δ)表示偶然误差的概率密度函数,则

式中σ 是密度函数中的一个参数。曲线在偶然误差为零的两侧对称。偶然误差的概率分布客观地描述了它的随机特性,偶然误差和观测值都是服从正态分布的随机变量

图1 随机变量的数字特征

为了从不同的方面来描述随机变量的随机特性,定义了一些数字特征。其中最重要的是数学期望、方差、中误差(标准差)和协方差等。

数字期望表示随机变量所有可能取值的平均值的极限。偶然误差平方的数学期望定义为方差,记为D(Δ),即:

式中E(Δ2)表示Δ2的数学期望。方差的平方根称为中误差或标准差,记为σ,即:

σ 是正态分布曲线的拐点的横坐标;σ 愈小,该曲线愈陡峭,表示小误差出现的概率愈大,大误差出现的概率愈小;也就是σ 愈小,测量精度愈高(图2)。因此,测量工作中采用中误差作为衡量观测精度的指标。

图2

n个观测构成的列向量

称为n维观测向量(T表示转置),它是n维随机向量。为了描述一个随机向量的随机特性,除了其中各分量的方差之外,还要知道两分量之间的相关性,通常用协方差表示。它定义为两个随机变量相应误差乘积的数学期望,即:

式中σij表征LiLj 之间的统计相关情况,若σij=0,则称LiLj不相关。

n维向量的有关方差和协方差按一定顺序排列成一个n阶方阵:

则称DLL为向量的协方差阵。其中主对角元素依次为各分量的方差;非对角元素为相应两分量的协方差。

DLL中提出一个称为单位方差的公共因子 σ娿,使

方阵QLL称为权逆阵,也称协因数阵。其中Qii(i=1,2,…,n)称为第i个分量的权倒数,Qij称为ij两分量的相关权倒数,而QLL的逆阵则称为权阵,记为PLL,即:

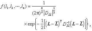
当随机向量中所有分量两两之间互不相关时,其协方差阵、权逆阵和权阵都是对角阵。当观测向量服从正态分布时,它的联合分布密度函数为:

式中L均为n维向量;QLLL的协方差阵;|QLL|为协方差阵的行列式。

测量平差中,经常需要根据随机向量的已知协方差阵来推求其函数的方差或者函数之间的协方差。例如,若有观测向量q个线性函数:

式中是函数中的系数矩阵。又若已知观测向量的协方差阵为QLL,则q维向量Z的协方差阵为:

q 阶方阵DZZ中,主对角元素就是各函数的方差,非主对角元素分别为相应两函数的协方差。这样,各个函数的精度及其两两之间的相关情况就得到了全面的表达。所有用来计算随机变量函数的方差或它们之间的协方差的公式,统称为协方差传播律,也常称为误差传播律。若将协方差传播律公式中的方差或协方差换成相应的权倒数,则称为权倒数传播律。在平差计算中,这两种传播律都是研究和分析精度以及相关性的有力工具。

最小二乘准则

在测量工作中,确定某些量或某个图形所需要的最少观测个数,称为必要观测数。例如,要确定一个平面三角形的形状(一种几何函数模型),则必须知道其中任意两个角度的大小,故必要观测数为2。又如,要确定一个平面三角形的形状和大小(另一种几何函数模型),则必须知道其中的两角一边,或两边一角,或三边,故必要观测数为3。如果实际观测数超过了上述的必要观测个数,就有了多余观测。以前一种情况为例,已知其必要观测数为2,如果观测了三角形中1、2、3三个内角,其观测值和观测误差分别为L1L2L3Δ1Δ2Δ3,则有了一个多余观测。若选定任意两个(等于必要观测数)独立的量,例如选定1角和2角的真值12作为参数,则在观测量的真值和参数真值之间应存在如下关系式:

另一方面,因为多余观测数为1,所以在观测量真值之间相应地存在着一个(等于多余观测数)关系式:

L1+Δ1)+(L2+Δ2)+(L3+Δ3)-180°=0。

以上所建立的两种关系式,前者是将每个观测量表达成所选定的独立参数的函数,后者则是观测量之间所应满足的条件。这些关系式都称为平差的函数模型。在这些模型中,除了观测值之外,其余均为待求的未知量。平差的目的就在于,根据已知的观测值来估计满足于上述模型的未知量。

VΔ的估值,x的估值,因此平差的目的也就是要求出满足下述方程的Vx,即:

L1+v1=x1

L2+v2=x2

L3+v3=-x1-x2+180°,

或者

L1+v1)+(L2+v2)+(L3+v3)-180°=0。

由于在以上方程中,待求的未知量多于方程的个数,因此其解是不惟一的。为了求得一组惟一的解,取其中能满足如下附加条件

的一组解作为估计量,其中P为观测向量L的权阵。这一附加条件就称为最小二乘准则,由此而求得的

称为观测量的估值。

在经典平差中,最初只限于进行一组不相关观测的平差,此时P为对角阵,即:

当观测精度相等时,则有

这就是经典平差中的最小二乘准则。

采用最小二乘准则作测量平差,未知量估值的数学期望等于未知量的数学期望,称为估值无偏:同时估值的方差极小,这就是最佳估值的含义。

最小二乘准则也具有概率的含义。当观测向量L服从正态分布时,根据最大似然估计法同样可以得到“”的准则。最大似然估计就是在使观测向量的联合分布密度函数取得极大值的条件下来确定的估值。从以上已给出的服从正态分布的观测向量L的联合分布密度函数可看出,若的估值为,当“=极小”时,则这个函数取得极大值。考虑到,且σ娿是一常数因子,因此也就是当“”时,联合分布密度函数取得极大值。可见,在观测向量服从正态分布的情况下,最大似然估计与最小二乘估计是一致的。

过去待估的未知量,主要是三角点的坐标,水准点的高程,导线点的坐标等,它们一般不具有随机性质,称为非随机参数,按上述最小二乘法可求出这种参数的最佳估值。然而,在许多学科中还会遇到随机性的待估量,例如,在物理大地测量中,待估的重力异常垂线偏差和高程异常就是随机变量,这种未知量称为随机参数。随机参数x同观测值一样,可预先确定其权阵,设为PX,则求x最佳估值的条件是

式中VX为随机参数X的残差向量。这个极小条件是上述最小二乘准则的推广和发展,称为拟合推估。

平差方法

在“”的准则下求观测量的估值,随着所选用的函数模型的不同,就有不同的平差方法。

设必要观测数为t,多余观测数为r,观测值个数为n。若选定 t个相互间不存在函数关系的未知量作为参数,并建立起=L+V同这些参数间的函数关系,即:

L+V=AX

称为观测方程,或

称为误差方程,其中为系数矩阵。在“”的条件下,可以得出推求未知量x的方程为:

这是系数成对称的t线性方程组,称为法方程。选用这种函数模型的平差方法称为间接平差法或参数平差法。

如果选定n个直接观测量的估值作为未知数,则在未知数之间存在着r(=n-t)个函数关系

称为条件方程,为系数矩阵,为已知常数项。上式可写成

称为闭合差。使V 满足准则“”和上列条件方程,可得

代入,得

称为联系数法方程,这是系数成对称的 r阶线性方程组。先由此解得联系数K,再由P -1ATK求改正数V。选用这种函数模型的平差方法称为条件平差法。

间接平差和条件平差是两种最基本的平差方法。在此基础上,随着所选未知数的不同,又得到不同的平差法,如间接带有条件平差法,条件带有未知数平差法,以及混合平差法,等等。

误差检验

参与测量平差的观测值不应含有系统误差,查明测量数据中是否存在系统误差,需要进行误差检验。

误差检验采用数理统计方法,其本质是检验这组误差是否符合正态分布派生的各种性质。

传统的误差检验方法有:误差正负号个数的检验;误差正负号序列分布的检验;误差数值总和的检验;正误差平方和与负误差平方和之差数的检验;阿贝检验;阿贝-赫尔默特检验等。应用数理统计假设检验的理论,检验的内容更加扩大,检验效果也提高了。例如,检验母体的数学期望和方差是否同预设值相符,检验两个母体的数学期望和方差是否相等,还可直接对误差的分布作出检验等等,这都有助于判定系统误差是否存在,有助于发现系统误差的来源,从而改善观测方案和平差模型。

参考书目
  1. 武汉测绘学院最小二乘法教研组编著:《最小二乘法》,中国工业出版社,北京,1961。
  2. 周江文著,《误差理论》,测绘出版社,北京,1979。
  3. 於宗俦、鲁林成主编:《测量平差基础》,第2版,测绘出版社,北京,1983。