[拼音]:hamidun-Yakebi lilun
[外文]:Hamilton-Jacobi theory
具特定形式的一阶常微分方程组(运动方程组)与一个相应的偏微分方程的关系的理论。它来源于分析力学,对经典力学、理论物理、微分方程、微分几何都有重要的意义。
变分学与哈密顿方程
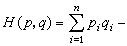
n自由度力学系(q1,q2,…,qn)的拉格朗日函数l(q,妜)=T-U,其中T、U分别是力学系的动能和势能。哈密顿最小作用原理指出,力学系的运动q=γ(t)使作用
L(у)=
达到驻定值。由变分学知道,使L(у)达到驻定值的q=у(t)是欧拉-拉格朗日方程
(1)
的解。这是n个二阶常微分方程,称为拉格朗日方程组。
经典力学研究力学系有两种途径。一是由 (1)研究(q,妜)随t的变化。{q}构成力学系的构形空间M,它是一个微分流形,妜是M的切向量。这种途径称为拉格朗日力学,可以说是力学的切丛表述。
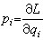
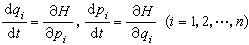
另一途径是引入广义动量p=(p1,p2,…,pn),
,同时通过勒让德变换引入哈密顿函数
而得到(q,p)所满足的哈密顿方程组(或称典则方程组,见哈密顿系统)
, (2)
这个途径称为哈密顿力学。由于p是M的余切向量,哈密顿力学可以说是力学的余切丛表述。
在哈密顿力学中最小作用原理也有相应的表述形式,也可讨论拉格朗日函数与哈密顿函数显含时间 t的情况。
研究哈密顿力学的数学理论框架,也称为哈密顿形式化。它对许多数学分支以及力学、理论物理都有重大的意义。
典则变换
典则方程组(2)有许多重要的性质。例如,在运动轨道p=p(t),q=q(t)上h(p,q)守恒,
由于h=T+l,上式实即沿运动轨道机械能守恒。又如,任一力学量F(p,q)在运动轨道上恒适合方程
,
为了讨论典则方程组,最有效的方法是作一个变换
φ:(p,q)
(P,Q)=(P(p,q),Q(p,q)) (3)
使(2)化简,但由于典则方程组有如上的重要特性,所以仍希望保持其形状。这种变换称为典则变换。典则变换有一些等价的定义。例如,它可定义为保持泊松括号不变的变换。然而,因为有
,
故由(3)式所表示的P、Q也适合
,
。
利用(3)中的φ 的雅可比矩阵φ1,上述可以表示为
,
若矩阵A(或线性变换A)适合A_1JA=J,则称 A为辛矩阵(或辛变换),所以典则变换的雅可比矩阵都是辛矩阵。其逆亦然。所以典则变换也可定义为雅可比矩阵为辛矩阵的变换(3)。
典则变换的重要例子如下:设函数S(q,P)适合
。令
,则
是局部的典则变换。又如,考虑典则方程组的初值问题:
,
,
,
它的解当|t|充分小时为微分同胚。{gt}称为哈密顿相流:(P,Q)=gt(p,q)。对于每个固定的t,gt都是典则变换。
典则变换的重要性可从下例看出:著名的开普勒问题是讨论质量为m 的质点在势能为U(r)=-k/r的有心力场中的运动。采用极坐标(r,θ)则拉格朗日函数是
,作勒让德变换
,其哈密顿函数是
,由于h中不显含θ,故有
而有pθ=常数。这就是角动量守恒。再联系到能量守恒,就可容易地解决这个问题。
由直角坐标变为极坐标所起的关键作用在于使H 中不显含θ,从而得到一个守恒律。如果作一典则变换(上述坐标变换也可扩充为典则变换)使某些坐标qi不出现在h中,那么也可以得到相应的守恒律pi=常数。这种qi称为循环坐标。守恒律就是典则方程组的初积分。利用它可以降低方程组的阶。这是求解典则方程组最常用的方法。
生成函数、哈密顿-雅可比方程
作典则变换φ:(p,q)
(P,Q)最重要的方法是利用生成函数:在一定条件下存在函数S(p,Q)使得
,于是
,
。
这是一个典则变换,S称为其生成函数。
一般地,S 可以显含时间t。可以证明S 适合偏微分方程
。 (4)
(4)称为哈密顿-雅可比方程,简称H-J方程。
典则方程组(2)是(4)的特征方程组。由一阶偏微分方程理论知,可以通过求解(2)而得出H-J方程的解。但是还有与此对偶的一方面:即通过求解H-J方程得到S,而S是(2)之解作为典则变换的生成函数。从而可解出典则方程组(2),其法如下:
作H-J方程的完全积分(见一阶偏微分方程)
,
令
(新的参数),
,由它们解出q=q(t,α,b),p=p(t,α,b)即得(2)的一族含2n个参数(α,b)的解。
以上指出的典则方程组与 H-J方程的关系之两个对偶的方面,有深刻的物理意义。人们很早就发现光的传播,服从一个与最小作用原理很相似的变分原理──费马原理,因而也可以作出典则方程组和 H-J方程的类似物。力学中的运动轨道相应于光学中的光线,光线是几何光学的基本概念。而生成函数S 所成的一族曲面S=常数,则相应于波前面,它是物理光学的基本概念。上述的二者的对偶关系正是反映了几何光学与物理光学的联系。力学与光学之间的这种类比,是量子力学的基础之一。