[拼音]:youxian chafen fangfa
[外文]:finite difference method
简称差分法或网格法,是数值解微分方程和积分-微分方程的一种主要的计算方法。它的基本思想是:把连续的定解区域用由有限个离散点构成的格网来代替,这些离散点称作网格的结(节)点:把在连续定解区域上定义的连续变量函数用在格网上定义的离散变量函数来近似;把原方程和定解条件中的微商用差商来近似,积分用积分和来近似;于是原方程和定解条件就近似地代之以代数方程组,解此代数方程组就得到原问题的近似解。有限差分方法简单、通用、易于在计算机上实现。
有限差分方法的主要内容包括:如何根据问题的特点将定解区域作网格剖分;如何把原方程离散化为代数方程组,即有限差分方程组;如何求解此代数方程组。此外,为了保证计算过程的可行及计算结果的正确,还须从理论上研究差分方程组的性态,包括解的存在性、唯一性、稳定性和收敛性。稳定性就是指计算过程中舍入误差的积累应保持有界。收敛性就是指当网格无限加密时,差分解应收敛到原问题的解。
差分方法因方程类型不同,定解问题提法不同而有着各自的特点和不同的内容。(见常微分方程初值问题数值解法、常微分方程边值问题数值解法、偏微分方程初值问题差分方法、计算流体力学、守恒格式、偏微分方程边值问题差分方法、玻耳兹曼方程数值解法)
下面以求解二维泊松方程
(1)
在单位正方形:0≤x≤1;0≤y≤1上的简单边值问题为例说明用有限差分方法解椭圆型方程边值问题的要点。设边界条件是u(0,y)=u(x,0)=u(1,y)=u(x,1)=0。
把单位正方形分为等距格网,
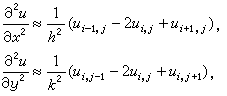
分别是x,y方向的步长,结点(xi, yj)记为(i,j),u(xi,yj)记为uj,j,结点(i,j)可分为内点和边点两类。(i,j),(i=1,2,…,M-1;j=1,2,…,N-1)是内点,其余是边点。对于内点(i,j),把偏导数
代以适当差商,例如
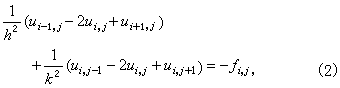
于是,对于内点(i,j)可把(1)化为差分方程
对于边点,则有
式(2)中内点的uj,j是未知的,共有(N-1)(M-1)个未知数,也有同样数量的内点差分方程。因而把解偏微分方程边值问题化成了代数方程组求解问题。用迭代法或直接法解这个代数方程组,即可求出未知函数u在结点(i,j)上的近似值uj,j 。再以一维热传导方程
(3)
的初边值问题为例,说明用有限差分方法解偏微分方程的初边值问题的要点:
设初值条件是
边界条件是
,
式中
如图2
所示,用平行于坐标轴的纵横线
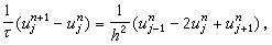
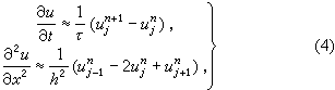
把求解区域(0<x<1,0<t)分为格网,h=1/M,τ分别是空间和时间步长。对于格网点(j,n),(j=1,2,…, m-1,n>0),把(3)中的偏微商用适当的差商来代替,例如
将(4)代入(3),得差分方程
即
。 (5)
根据初值条件,有
。
根据边界条件,有
。
从边界条件和初值条件,根据差分方程(5)以步进方式求解,即从t=0时的初值(n=0),求出t=τ时的解(n=1);从t=τ时的求得解,求出t=2τ时的解(n=2),等等。
在科学计算中所要求解的方程、计算区域、定解条件往往远比上述两例复杂得多。此时,网格剖分及离散化方法远不是如此简单和直观。