高聚物高弹性

高聚物在高弹态(橡胶态)时具有的高弹性,又称橡胶弹性。它是相对于普弹性而言的,是高聚物区别于其他材料的一个重要特性。所谓普弹性就是金属或其他无机材料的属性,即在力场作用下,材料产生瞬时的可逆形变,应力与应变成正比,服从胡克定律,且形变量甚小,仅为千分之几或更小。高弹态高聚物的弹性形变则数值很大,可达百分之几或更大。在绝热拉伸或压缩过程中,处于高弹态的高聚物(如橡胶)的温度能上升,金属的温度则下降。橡胶的弹性模量较小,约105~106牛/米2(1牛/米2=1帕),金属模量甚高,可达1010~1011牛/米2。在平衡状态时,橡胶的弹性模量与温度成正比,而金属的模量则与温度成反比。高聚物的高弹性可用热力学和统计力学的观点来加以阐明。

高弹性的热力学解释

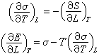
根据热力学定律,在外力作用下,熵、内能和应力、应变有下列关系:

公式 符号

式中σ为应力,T为绝对温度,L为伸长,S为熵,E为内能。可以看出,在恒温拉伸下,熵随形变的增加而减小时,其减小值等于定伸长下应力随温度的增加而增加的量,即拉伸力正比于绝对温度,这一点为K.H.迈尔等的实验结果(见图)所证实。

图

在215~340K的温度范围内,应力随温度呈线性增加,而且应力基本上正比于绝对温度,即公式 符号公式 符号,因此熵的变化对橡胶的高弹性的贡献是主要的。在玻璃化温度(213K)时,应力与温度的关系有一反转点,在此温度以下或拉伸形变小于10%时,应力随温度的升高而下降,从而出现热弹性反转点,这主要是固体的热膨胀性所致,因而与内能有关。

从橡胶绝热形变时橡胶本身的温度上升也能看出高弹性与熵有关。橡胶绝热形变时的热效应ΔT可用下式计算:

公式 符号   (1)

式中CL为定伸下样品的比热容;L0L分别为样品的原始长度和拉伸长度。ΔT可由实验直接测定,也可由公式 符号代入式(1)计算而得。试验值与计算值一致,证明高弹性的热效应是熵变所引起的。通过橡胶的热效应还可证明,在最初的形变阶段(约10%拉伸),样品温度略有下降,这与橡胶在小形变时以内能变化为主,大形变时以熵的变化为主的结论相一致。

高弹性的统计力学解释

长链分子的弹性

高分子链的构象统计理论指出,一个高分子链的均方末端距为公式 符号,其中n为链的链节数,l为每个链节的有效长度。假定链是无规连接的,则当一个高分子链的一端固定在坐标原点时,另一端在r 处的体积单元dτ内出现的概率为:公式 符号,其中公式 符号。符合这种统计分布的高分子链称为高斯链。

长链分子的熵为:

Skln[W(r)dτ]=Ckb2r2式中k为玻耳兹曼常数;C为另一常数;长链分子拉伸时的力为:

公式 符号

即力与绝对温度T和链的末端距r成正比。

分子网络的弹性

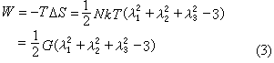
从实际出发进一步说明分子网络的熵和高弹性的关系。把交联点间的链段叫链,每个链都有两个交联点,设交联点间的距离(即末端距或矢量长度)同样服从高斯统计关系,同时假定在拉伸或未拉伸状态的交联点都固定在平衡位置,与拉伸状态无关,交联点间拉伸时矢量长度的分量的变化与相应的橡胶本体尺寸大小的改变成比例(仿射形变)。如果交联点的一端固定在坐标原点,它到另一端的矢量长度为r,分量为x0y0z0。拉伸后的矢量为r′,坐标为xyz。则x=λ1x0y=λ2y0z=λ3z0。式中λ1、λ2、λ3为相互垂直的三个轴向上的拉伸比,其值在拉伸方向上大于 1,在压缩方向上小于1。假定形变时体积不变,即λ1λ2λ3=1,通过计算就可求得网状分子的形变熵为:

公式 符号   (2)

式中 N为单位体积中的链数。从式 (2)可求得贮能函数(形变功)为:

公式 符号

式中公式 符号ρ为密度,Μc为交联点间链段的分子量,R为气体常数。另外还可求得应力与应变间的一般关系式为:

公式 符号

式中t1t2t3为真应力,按拉伸时面积计算。真应力与工程应力 f1f2f3(按原始截面积计算的应力)之间的关系式为t1=λ1f1t2=λ2f2t3=λ3f3。式(3)、(4)、(5)、(6)均从统计力学导出,是简单而通用的公式。对于单向拉伸、双向拉伸、简单剪切和纯剪切试验都是合适的。在单轴拉伸或压缩的情况下,得公式 符号

非高斯链的弹性

当拉伸分数公式 符号时,将引起键角分布的变化,使理论值与实验值偏离。这可以用无规连接链的非高斯统计进行处理。当公式 符号很小时,其所得结果与用长链分子高斯统计所处理的结果是一致的;当公式 符号大时,还应考虑公式 符号的高次项的影响。

橡胶的形变不纯粹是上述的熵变过程,还伴随着显著的内能变化,等容条件下内能变化对应力的贡献σe可表示为:

公式 符号

式中公式 符号为自由链的均方末端距。此部分贡献来源于自由链均方末端距的温度依赖性,只有网络统计理论中所假设的条件下,即没有这种依赖性时,才没有这部分内能变化的贡献。

实验表明,σe/σ或ln公式 符号随温度增大还是减小以及变化值的大小都随高聚物而异,有的高聚物(如天然橡胶)的链伸长使能量提高,σe/σ 约为0.2左右;有的则相反。例如聚乙烯的伸张的反式链能量更低,σe/σ约为-0.4左右,而且对聚乙烯来说,在θ-溶剂的溶液中测得的公式 符号和上述热弹性效应得到的数值是一致的。

高聚物高弹性的近期研究结果表明,高聚物高弹性理论式与实验偏差的分子解释可能为非高斯效应、内能效应、键的缠结、不可逆效应和非无规堆砌效应。

参考书目
  1. L.R.G.特雷劳尔著,王梦蛟、王培国、薛广智译:《橡胶弹性物理学》,化学工业出版社,北京,1982。(L.R.G.Treloar,The Physics of Rubber Elasticity,3rd ed., Clarendon,Oxford, 1975.)