硬度

固体材料对外界物体机械作用(如压陷、刻划)的局部抵抗能力。它反映固体中物质凝聚或结合强弱的程度。为了比较各种固体物质的软硬,学者和工程师们定出多种不同的硬度标准及其测量方法和测量条件,归纳起来有划痕硬度、压入硬度和回跳硬度三种。

划痕硬度

1722年,法国的R.-A.F.de列奥米尔首先提出了极粗糙的划痕硬度测定法。此法是以适当的力使被测材料在一根由一端硬渐变到另一端软的金属棒上划过,根据棒上出现划痕的位置确定被测材料的硬度。1822年,F.莫斯以十种矿物的划痕硬度作为标准,定出十个硬度等级,称为莫氏硬度。十种矿物的莫氏硬度级依次为:金刚石(10),刚玉(9),黄玉(8),石英(7),长石(6),磷灰石(5),萤石(4),方解石(3), 石膏(2),滑石(1)。其中金刚石最硬,滑石最软。莫氏硬度标准是随意定出的,不能精确地用于确定材料的硬度,例如10级和9级之间的实际硬度差就远大于 2级和 1级之间的实际硬度差。但这种分级对于矿物学工作者野外作业是很有用的。

压入硬度

用一定的载荷将规定的压头压入被测材料,根据材料表面局部塑性变形的程度比较被测材料的软硬,材料越硬,塑性变形越小。压入硬度在工程技术中有广泛的用途。压头有多种,如一定直径的钢球、金刚石圆锥、金刚石四棱锥等。载荷范围为几克力至几吨力(即几十毫牛顿至几万牛顿)。压入硬度对载荷作用于被测材料表面的持续时间也有规定。主要的压入硬度有布氏硬度、洛氏硬度、维氏硬度和显微硬度等。

布氏硬度

布氏硬度是瑞典工程师J.A.布里涅耳于1900年提出的。它在工程技术特别是机械和冶金工业中广泛使用。布氏硬度的测量方法是用规定大小的载荷P,把直径为D的钢球压入被测材料表面,持续规定的时间后卸载,用载荷值(千克力,1千克力等于9.80665牛顿)和压痕面积(平方毫米)之比定义硬度值。布氏硬度HB的计算式为:

公式 符号

式中d为压痕的直径。

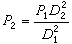
1908年德国的E.迈耶尔指出,若要使不同直径的钢球在同一材料上测得同样的硬度,就需要改变载荷值,使压痕保持几何相似,相似条件为:

公式 符号

式中P1D1P2D2分别为两组测量条件中的载荷值和钢球直径。

D=10毫米,P=3000千克力,载荷持续时间10秒,则硬度数可直接写在布氏硬度符号后面,例如HB250。若是其他测定条件,则应将条件用小号字写在布氏硬度符号后面,例如,HB公式 符号100表示在D=5毫米、P=250千克力、载荷持续时间为30秒的条件下测得布氏硬度数为100。布氏硬度测定法只能在硬度不高于 HB450的情况下使用。因为太硬的材料会使钢球明显变形。布氏硬度测定法比较费时。为了在测定时得到清晰的压痕,试样必须经过表面准备和打磨等处理。在制作完毕的机械零件上作布氏硬度测定,会由于压痕过大影响零件的正常装配和使用性能。因此布氏硬度测定法不适于检测大批量生产的零件。

洛氏硬度

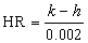
这种硬度测定法是美国的S.P.洛克韦尔于1919年提出的,它基本上克服了布氏测定法的上述不足。洛氏硬度所采用的压头是锥角为120°的金刚石圆锥或直径为1/16英寸(1英寸等于25.4毫米)的钢球,并用压痕深度作为标定硬度值的依据。测量时,总载荷分初载荷和主载荷(总载荷减去初载荷)两次施加,初载荷一般选用10千克力,加至总载荷后卸去主载荷,并以这时的压痕深度来衡量材料的硬度。洛氏硬度记为HR,所测数值写在HR后,洛氏硬度值计算公式为:

公式 符号

式中h表示塑性变形压痕深度(毫米);k是规定的常量;分母中的 0.002(毫米)是每洛氏硬度单位对应的压痕深度。对应于金刚石圆锥压头的k=0.20(毫米),对应于钢球压头的k=0.26(毫米)。

为了适应极宽阔的测量范围,可采用改变载荷和更换压头两种办法。不同的载荷和压头组成不同的洛氏硬度标尺,常用的标尺有A、B、C三种。标尺B用于中等硬度的金属材料,如退火的低碳钢和中碳钢、黄钢、青铜和硬铝合金;压头为直径1/16英寸的钢球;载荷为100千克力。其标尺范围是由HRB0到HRB100,硬度高于HRB 100时钢球可能被压扁。 标尺C用于硬度高于HRB100的材料,如淬火钢、各种淬火和回火合金钢。压头为顶角120°的金刚石圆锥;载荷为150千克力。标尺C的使用范围是从HRC20到HRC70。标尺B和C是洛氏硬度的标准标尺。标尺A用于钨、硬质合金及其他硬材料,还用于淬硬的薄钢带。由于大载荷容易损坏金钢石压头,所以载荷改为60千克力。标尺A是所有洛氏硬度标尺中唯一能在退火黄铜直到硬质合金这样广阔的硬度范围内使用的标尺。

维氏硬度

是英国的 R.L.史密斯和 G.E.桑德兰于1925年提出的,主要用于确定钢的表面渗氮硬化程度。维氏硬度测量法所用的压头是金刚石正四棱锥(图1),它的两相对面间的夹角为136°,载荷有5、10、20、30、50、100千克力等几种,用压出的四棱锥压痕表面积除载荷所得的值作为维氏硬度值,记为HV,即

公式 符号

式中P为载荷;S为压痕对角线长度(毫米);θ为四棱锥压头两相对面间夹角,θ=136°。

图

用于测定上述硬度的仪器以英国维克斯-阿姆斯特朗公司制造的应用较广,故得名为维氏硬度。

显微硬度

主要用于确定很薄的材料、细金属丝、小型精密零件(如钟表和仪表零件)的硬度,测定淬硬表面的硬度变化率,研究小面积内硬度的变化以及在金相学中研究金属中不同相体的硬度等。测量方法与维氏硬度基本相同,但载荷很小,以克力计数;压痕的特征尺寸也很小,需要用读数显微镜测出,故得名。1939年,英国国家标准局决定采用F.努普、C.G.彼得斯和W.B.埃默森提出的菱形金刚石四棱锥压头(称为努普压头,见图2)。

图

其压痕长对角线L和短对角线长度W之比大约为7:1,压痕深度约为L的1/30,故在压痕较浅的情况下也能较精确地测出长对角线的长度。用努普压头测定的显微硬度数又称努普硬度数。在显微硬度测定中也允许使用普通的136°金刚石正四棱锥压头。

显微硬度的符号以HM表示,若用努普压头,则努普硬度数为:

公式 符号

式中P以千克力为单位;L表示菱形压痕的长对角线长度(毫米);CP是一个常数,其值与L和压痕投影面积之比有关。若用136°正四棱锥压头,则

公式 符号

式中P为载荷,常用的载荷有2、5、10、50、100、200克力等几种;S为正方形压痕的对角线长度,以微米为单位,由显微硬度计上的读数显微镜测出。

回跳硬度

是A.F.肖尔于1906年研究淬火钢的硬度测定法时提出的,故又称肖氏硬度,主要用于金属材料。肖氏硬度测定法的测量原理是:用重量为1/12盎司力(1盎司力等于0.2780牛顿)的带有金刚石圆头或钢球的小锤,从10英寸的高度自由落下,使小锤以一定的动能冲击试样表面。小锤的部分动能转变成试样表面塑性变形功而被消耗;另一部分转变为弹性应变能被试样储藏。试样弹性变形恢复时释放出能量,使小锤回跳一定高度。被测物越硬则弹性极限越高,储藏的弹性应变能越多,小锤回跳得越高。回跳硬度的符号是HS,它以小锤回跳高度进行分度。回跳硬度数只能在弹性模量相同的材料之间进行比较,否则就会得出橡皮比钢更硬的结论。压入硬度的测量属于静力测定法,而回跳硬度的测量则属于动力测定法。

各种硬度的定义不同,测定的标准和方法各异。各种硬度值不能直接换算,但可通过试验进行比较。某些金属材料的硬度与其强度指标(如屈服极限、强度极限等)有一定的关系,通过较简单和经济的硬度测定即可推断材料的强度指标。例如灰口铸铁的抗拉强度极限σb和布氏硬度数之间有下述统计关系:

σb=1.82HB1.85

在高温下,金属材料的硬度一般随承载时间的延续而下降,根据这种下降规律可推断材料的持久强度(见蠕变)。这样就可以减少或省去耗时很长的持久强度试验。所以,高温硬度试验的研究和应用显得越来越重要。

参考书目
  1. V. E. Lysaght, Indentation Hardness Testing, ReinholdPub. Corp.,New York, 1949.
  2. D. Tabor, The Hardness of MetalsPress,Oxford, 1951.
  3. 谭金生著:《塑料理化试验速算法》,国防工出版社,北京,1977。

参考文章