[拼音]:liuxingxue yanjiu fangfa
[外文]:epidemiologic research methods
流行学研究方法是随着医学研究实践的需要而不断发展起来的。它作为一门方法学,既能应用于传染病,也同样适用于慢性病及各种健康状态和卫生保健事业的分析研究。
流行学研究方法的类型繁多,分析标准也不尽相同,依据流行学工作范畴,可分为描述性研究(现况研究、疾病监测、历史回顾法),分析性研究(病例对照研究、群组研究),实验性研究(预防措施效果评价、治疗措施效果评价、准实验研究),理论性研究(数学模型研究)4类。
描述性研究主要任务是描述疾病在人群、时间和地区的分布情况(见疾病的分布),以了解人群中的发病或死亡情况及其变动趋势,如疾病分布特征、发病或死亡与外环境或人群特征的关系、可疑致病因素的探索和防治措施及其效果的评价等。
描述性研究的基本方法是收集有关的记录资料,如人口统计资料、传染病登记或报告资料、医院病历及个案调查等,也可以通过普查或抽样调查以及长期定点的随访调查来搜集资料。通过计算发病率、现患率、死亡率等疾病的分布指标,并将它们与不同时间、地区和人群中的同类指标作比较,达到寻找病因线索、评价防治措施及其效果的目的。描述性研究是分析性研究的基础,描述性研究又可分为现况研究、疾病监测和历史回顾法。
现况研究又称横断面研究,是在特定时间与特定范围内研究人群中的有关因素与疾病或健康状况的关系,这类研究一般不进行时间上因果关系的分析。现况研究有普查和抽样调查两种方法:
(1)普查。对调查范围内的全部对象进行现况研究。应用于早期发现病例,了解疾病的疫情及分布,建立某些生理指标的正常值等。一般地说,普查适用于发病率较高的疾病,同时应具备灵敏度和特异性较好的检查和诊断方法。缺点是工作量大,诊断、检验质量不易控制,且漏查不可避免。
(2)抽样调查。对调查总体之中有代表性的一定数量的人群(样本)进行现况研究。根据调查结果估计出该人群某病的患病率或某些特征的情况,是一种以小测大、以局部估计全体的调查方法。与普查相比,抽样调查具有省人力、物力和省时间的优点,但若样本的代表性不好,就容易出现偏性结果不能真实地反映总体的情况。因此,抽样调查的一个重要原则是:抽样时,总体中的每一个成员都必须有同等被抽取的机会,以使样本的调查结果能很好地代表总体。抽样调查主要用于:描述疾病的分布;衡量一个地区的卫生水平;研究影响健康的因素;制定卫生措施与医疗预防措施,检查其效果;检验卫生标准;检查与衡量资料的质量。目前常用的抽样方法有简单随机抽样,系统抽样,分层抽样,整群抽样和多级抽样。
疾病监测对某些重点疾病或项目进行长期的经常性观察。能对疾病的分布和发生作全面的系统观察,从而发现某种疾病发展的趋势或分布的变化。疾病监测除法定传染病和常见慢性病如高血压病、冠心病及部分肿瘤外,还涉及围产期、计划免疫、环境和营养发育监测等。其方法是设立监测点,长期、系统地收集有关资料,分析和评价这些资料,从而提出监测报告,为制订规划和策略不断提供科学依据。
历史回顾法又称历史资料分析。依靠现有病案记录和资料,对某一地区近年来的疾病或健康情况进行流行学描述,用这种研究方法可以在较短时间内查明一定地区内某种疾病的基本流行情况。历史回顾法既可补充现况研究资料的不足,又可为深入分析提供历史背景资料。但历史资料往往受当时条件的限制,还会存在诊断标准、检查方法不一致或资料记录不全等情况。
分析性研究又称检验假设的研究。在描述性研究的基础上,分析疾病或健康状态与可能致病因素之间的关系,对致病因素进行筛选,形成病因假说并检验病因假说。与描述性研究不同,分析性研究的最重要特点就是在研究中设计了可供对比分析的两个组:或按疾病的有无进行分组(如病例对照研究),或按是否暴露于某因素或具备某特征而分组(如群组研究)。
病例对照研究又称回顾性研究。在疾病发生之后,以现患该病的病人为一组(病例组),未患该病但其他条件如性别、年龄与病人相同的人为另一组(对照组),通过询问、化验检查或复查病史,搜集既往各种可疑致病因素的暴露史,测量并比较病例组和对照组对各因素的暴露比例,进而推断可能的致病因素或验证病因假说。
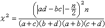
病例组和对照组的调查项目、检查方法与标准应完全相同,由于病例组和对照组的目标人群资料往往不易得到,因此一般不宜进行发病率或死亡率的计算。但可用病例组和对照组中有某些因素者分别占总例数的比例来反映两组的差异,这一差异可以用卡方检验(x2检验)来检验有无统计学的显著性。如果有显著性,则表示疾病与某因素的联系不是偶然发生的。同时还可以进一步计算有某因素与无某因素者相比发病或死亡的难易程度。有某因素者患某病的可能性与无该因素者患某病的可能性的比称为相对风险度。由于相对风险度是暴露组发病率(或死亡率)与非暴露组的发病率(或死亡率)之比,故在以医院为基础的病例对照研究中,因得不到发病率或死亡率资料,相对风险度就难以计算,只能采用比数比(DR)近似地估计相对风险度的大小。病例对照研究资料分析的基本表式与计算公式如下:
统计学检验公式为
比数比计算公式
以上表式与公式适用于成组比较的病例对照研究。在实际研究中,有些因素既与所研究的疾病有关,又与所研究的致病因素有关,称为混杂因素。这种因素的存在往往使研究结果失真,即有些因素对疾病的作用仅仅是混杂因素存在所导致的假象。为了去除混杂因素,可以在设计时采用配对方法,就是在选择对照时,强制对照组与病例组在某些混杂因素如性别、年龄、职业、民族等方面保持一致,从而进行资料的收集与分析。配对资料的基本表式与计算公式如下:


病例对照研究的结果往往需要进行解释。首先应考虑偏性所引起的误差,这类误差是在对象选择和资料收集过程中由于各种原因造成的系统误差,常见的有选择对象时代表性较差所致的选择偏性,调查者倾向性所造成的主观偏性和被调查者由于记忆不全或错误所造成的回忆偏性等。对此要有充分的说明或采用多元统计分析技术加以克服。为了消除混杂因素对结果的影响,除了采用配对设计外,还可以采用分层分析如按性别、年龄分别计算的方法。混杂因子被控制后,还应考虑机会的作用,即由于抽样误差造成这一结果的可能性有多大。经过上述检验确认存在着显著性差异后,方可根据病因推断技术,进行因果关联的判断。
病例对照研究,适用于罕见病和长潜伏期疾病的病因研究。由于是由果及因的研究,故比较容易实施,省时、省钱、省人力,只需少量的研究对象,在探索性的研究中可以同时调查多个因素,研究效率较高。在分析性的研究中,若能有效地控制各种偏性,也可获得因果的关联。病例对照研究的主要缺点是选择偏性和回忆偏性很难控制,若无其他的人口学资料,则难以估计疾病率,且对照组的选择较困难。尽管如此,由于控制混杂因素和偏性手段的加强和多元统计分析在流行学研究中的应用,病例对照研究仍是分析性研究中应用最为广泛的方法。
群组研究又称前瞻性研究。“群组”一词最早用来指在相同时期内出生、生活经历相同的一批人。在群组研究中,群组是泛指共同暴露于某种因素或具有某种特征的人群。群组研究是将一定范围内未患病的人群按是否暴露于某因素(或是否具有某特征)进行分组,随访一定的时间,比较两组的发病率或死亡率,以研究某因素或某特征是否与某疾病的发生或死亡有关。
进行群组研究要划定调查对象的人口范围。选择的研究对象可以是特殊暴露人群,如研究白血病可选择放射科医生。地区性人群更为理想,但这要求人口流动小,居民乐于合作,而且当地医疗水平较高。选择对照人群时,要注意除两组暴露因素不同外,其他条件如人口学特征、社会经济地位、文化水平等应尽可能相同,以保证两组的可比性。
由于群组研究是前瞻性的,在随访过程中会出现失访,因此一般群组研究要求观察人数多些,随访时间宜长些。群组研究资料的收集主要包括起始资料(即暴露情况)和结局资料(即疾病的发生率或死亡率)。收集起始资料时除确定对象有无某因素的暴露史外,还应考虑其暴露的程度,如收集吸烟史就应考虑吸烟的种类、吸入方式、吸烟年限和日吸烟量等。结局资料收集时要保证诊断的方法和标准的统一,资料的来源基本与病例对照研究相同。资料分析往往在随访一定时间后进行,在此期间,人群可能发生迁移、死亡或失访等情况,因此,在进行相应的计算时,采用暴露人年(观察或随访年限与各年观察人数的乘积)为分母。用群组研究所得资料可以分别计算暴露组与非暴露组的发病率或死亡率,也可以直接估计相对风险度。具体表示和计算公式如下:



暴露组的发病率(或死亡率)与非暴露组的发病率或死亡率之差称为归因风险度(AR)或特异风险度,用以说明完全由暴露因素所致发病或死亡的风险性有多大。归因风险度又称为归因危险度。
群组研究一般分为两类。
一类群组研究从研究设计开始对两组进行前瞻性随访,称为前瞻性群组研究。
另一类群组研究则根据既往的暴露情况将人群分为暴露组与非暴露组,把研究的起始时间倒推到以往某一时点,然后收集其结局资料并进行分析,称为历史性群组研究,常用于一些在暴露某因素后很多年才发病或死亡的病因研究。
群组研究的主要优点是:因其研究的时间顺序是由果及因,故所得结果比较可靠,并可直接进行病因推断,同时,还可以进行一因多病的研究。但由于研究所需人数较多,时间较长,耗费较大,失访又不可避免,故其应用受到一定的限制。由于孕妇这个特殊人群具有随访时间短、获得结局资料快等特点,所以进行妊娠期某因素对婴儿生长发育影响的病因学研究,以选用群组研究为好。
病例对照研究与群组研究的比较可列成下表:
实验性研究
基于实践法而不是观察法的流行学研究方法,即将人群随机地分为实验组和对照组,人为地给实验组施以措施,如待评价的新药、预防接种、去除某种可疑致病因素等,对照组则给予安慰剂或不给任何措施。在相同的条件下,随访并比较两组人群的结果以判断措施的效果。实验性研究的特点是:
(1)与分析性研究相同,实验性研究必须设立对照组。
(2)研究组和对照组的对象必须来自一个总体的抽样人群并随机分配到两组中。
(3)对实验组施以由设计者控制的措施。
(4)实验进行的方向是自实验开始进行纵向前瞻。
实验性研究应遵循一些设计原则:
(1)实验现场的人口应相对稳定,所研究疾病的发病率或死亡率较高。
(2)实验人群的人口统计学特征应与总体一致。
(3)实验样本量应保证实验结束时,实验组和对照组的观察指标可以获得统计学差别。
(4)选择比较明确的量化指标。
(5)在保证出现结果的前提下实验期限应尽可能地短。
由于实验性研究是完全随机分组,人为地控制所给予的措施,所以能够排除许多影响结局的因素,从而有力地验证各种类型的假说。但由于该方法人为因素较多,且存在医学伦理学问题,故其应用受到一定的限制。为此,一种准实验研究应运而生,该方法不完全按照实验研究设计原则进行,不设立对照组,而用实验组自身充当对照,在施以措施前和后分测其观察指标。若要设立对照组,也不必进行随机分组,而用自然人群。准实验研究的特点是人为地控制研究因素或措施而不进行随机分组。这样的研究设计更具可行性,因而适于在大人群中进行预防或干预措施的评价研究。
理论性研究以数学模型定量地表达疾病的流行规律,即疾病在人群间流行过程中,各种因素之间的内在数量关系和疾病的理论分布。用于阐述流行过程,检验病因假说,流行因素的参数估计,设计控制疾病的措施和提出理论性预见。根据疾病现象的性质可将疾病流行模型分为随机模型(用来表达事物随机变化的规律)、和确定性模型(表达事物变化是服从因果关系的必然现象)。
理论性研究仅有一百余年的历史。迄今为止,提出的主要数学模型有:急性传染病流行模型、周期性疾病模型、人类癌症年龄分布模型等。
黑德-弗罗斯特二氏模型是美国约翰斯·霍普金斯大学的L.J.黑德和W.B.弗罗斯特于1928年提出的急性传染病流行模型,是一个有代表性的理论性研究实例。该模型的假设条件为:
(1)在一个封闭的、易感者和免疫者自由混合的人群中,进入单个有传染性的病人,通过有效接触使疾病传播。
(2)有效接触定义为有传染性的病人和易感者之间的接触,导致传染源从前者传给后者,后者变为新病例。
(3)易感者成为病例后,只在短时间内是传染源,经过短时间后成为免疫者。
(4)病人有传染性期间,他与其他人以固定的概率接触,此人群中每一个成员都有相同的接触概率。
(5)流行过程中,上述条件不变。
若以St表示t时人群易感者的数量,Ct表示t时病例的数量,q表示特定时间内任何两个人不发生接触的概率,则qct表示t时易感者不与病例接触的概率,1-qct表示t时一个易感者至少与一个病例接触的概率。此时急性传染病流行的确定性模型为
Ct+1=St(1-q哰)St+1=St-Ct+1
若用随机模型表示,则r名易感者受感染的概率(即Ct+1=r的概率)可用二项定理表达:
当Ct、St及P已知,从上述模型可推导出整个流行过程,直到易感者人数不足以产生有效接触时,流行终止。数学模型能否符合疾病发生的实际过程,可采用χ2检验作拟合度检查加以评价。