紫苏叶

概况

异名:白苏(《图经本草》),白紫苏(《生草药性备要》),红苏(河北、江苏、广东、广西),野苏(江西、湖南、四川、云南),鸡苏(江西、福建、湖南),香苏(东北、河北),苏麻(湖北、四川),赤苏(山西、福建),兴伯夏噶(西藏)。

基源:为唇形科紫苏属植物紫苏,野生紫苏的干燥嫩枝和叶。紫苏属全世界1种3变种,产亚洲东部;中国全产,均可药用。

原植物:紫苏Perilla frutescens(L.)Britt.(Ocimum frutiscens L.;P.ocymoides L.; P.urticaefolia Salisb.; P.macrostachys Benth.;P.frutiscens(L.)Britt.var.typica Makino]又名薄荷、大紫苏(湖北),臭苏、假紫苏(广东),野藿麻(云南)。野生紫苏Perilla frutescens(L.)Britt.var.acuta(Thunb.)Kudo(Ocimum acutum Thunb.;P.heteromorpha Carr.;P.cavaleriei Lévl.;P.albiflora Odashima),又名白丝草、红香师菜、蚊草,蛤树,紫禾草(广东),臭草、香丝菜、野香丝(广西),野猪疏(福建),青叶紫苏(浙江),紫苏(江苏),苏麻(湖北),苏管(江西)。

历史:本品为常用草药,原名“苏”,始载于《别录》,列为中品。历代本草著作中多有收载,所说的内容基本一致。苏颂《图经本草》载:“苏紫苏也,处处有之,以背面皆紫者佳,夏采茎叶,秋采子。”《纲目》载:“紫苏、白苏皆以二、三月下种,或宿子在地自生。基茎方,其叶团而有尖,四围有巨齿,肥地者面背皆紫,其背面皆白者即白苏,乃荏也,八月开细花,成穗作房,如荆芥穗”此描述及《植物名实图考》中所绘的紫苏植物图均与现今市场售的紫苏形态特征相符。又谓“苏性舒畅,行气和血,故谓之苏,曰紫苏者,以别白苏也。”由于此植物变异较大,中国古代书中称叶全缘的为白苏,称叶两面紫色或面青背紫的为紫苏,但据近代植物分类学者的意见,认为二者同属一种植物,变异不过因栽培而起。又白苏与紫苏除叶的颜色不同外,其它可作为区别之点的即白苏的花通常白色,紫苏的花常为粉红至紫红色,白苏被毛通常稍密(有时也有例外),果萼稍大,香气亦稍逊于紫苏,但差别微细,故将二者合并。

形态:一年生草本。茎高0.3~2m,绿色或紫色,钝四棱形,具4槽,密被长柔毛。叶阔卵形或圆形,长7~13cm,宽4.5~10cm,先端尖,基部圆形或阔楔形,边缘在基部以上有粗锯齿,两面绿色或紫色,或仅下面紫色,上面被疏柔毛,下面被贴生柔毛;叶柄长3~5cm,背腹扁平,密被长柔毛。轮伞花序二花,组成长1.5~15cm,密生长柔毛,偏向一侧的顶生及腋生总状花序;苞片宽卵圆形或近圆形,长、宽约4mm,先端具短尖、外被红褐色腺点,边缘膜质;花梗长1.5mm,密被柔毛。花萼钟形,10脉,直伸,下部被长柔毛,杂有黄色腺点,内面喉部有疏柔毛环;花冠白色至紫红色,长3~4mm,宽3~4mm,冠筒短,长2~2.5mm,喉部斜钟形,冠檐近2唇形,上唇微缺,下唇3裂,中裂片较大,侧裂片与上唇相近似。雄蕊4,前对较长,插生喉部,花药2室,室平行,其后略叉开或极叉开;花柱先端相等2浅裂;花盘前方呈指状膨大。小坚果成球形,灰褐色,直径为1.5mm,具网纹,花期8~11月,果期8~12月。(图见《中药志》.4册.666页.图645)

生境与分布:中国各地广泛栽培。

野生紫苏与紫苏的主要区别为:茎被短疏柔毛;叶较小,卵形,长4.5~7.5cm,宽2.8~5cm,两面被疏柔毛;果萼小,长4~5.5mm,下部被柔毛,具腺点。小坚果较小,土黄色,直径1~1.5mm。(图见《中药志》.4册.667页.图646)生山地路旁,村边荒地或栽培于舍旁。分布于中国山西、河北、湖北、江西、浙江、江苏、福建、台湾、广东、广西、贵州、四川及云南。日本也有分布。

生药

栽培:适应性强,在温暖湿润的环境下生长较好。对土壤要求不严,以疏松肥沃、排水良好的砂质壤土为佳。用种子繁殖,于3月下旬~4月中旬播种。按行距33cm开条沟,深2cm左右,将种子拌有细土后匀撒沟内;或以株行距2.5×33cm开穴点播。播后覆薄土,每亩用种量0.8kg。也可育苗移栽,经济利用土地。出苗后,结合中耕除草进行间苗,条播地以株距25cm左右定苗;穴播地每穴留苗1~2株。生长期中须勤除杂草,结合中耕追肥1~2次,用人畜类水或化肥追施。病害有锈病,可喷97%敌锈钠300倍液;斑枯病,用65%代森锌可湿性粉剂700倍液喷雾防治。虫害银蚊夜蛾、卷叶蛾、棉小造桥虫,均可用90%晶体敌百虫1000倍液喷杀。

采集:9月上旬(白露前后)枝叶茂盛花序刚长出时采收,置通风处阴干,然后将叶子采下。药材主产于江苏、湖北、广东、广西、河南、河北、山东、山西、浙江、四川。

鉴别

性状:叶卵形或圆卵形,多数皱缩卷曲或已破碎,两面均棕紫色,或上面灰绿色,下面棕紫色,两面均有稀毛;先端尖,边缘有锯齿,基部近圆形,有柄。质薄而脆。切碎品多混有细小茎枝,茎四方形,有槽,外皮黄紫色,有时剥落,木部黄白色、中央有白色疏松的髓。气芳香,味微辛。以叶完整、色紫、香气浓者为佳。

显微 紫苏叶粉末棕绿色。 ①非腺毛较粗大,1~7细胞,常呈镰刀状弯曲,顶端细胞锐尖或稍钝,长71~720μm,直径27~72μm,表面有角质条状纹理或细小疣状突起。 ②腺鳞头部类圆形,4~8细胞,直径50~83μm,常含黄色分泌物;柄极短,单细胞。 ③小腺毛头部类圆形,1~2细胞,柄短,单细胞。 ④草酸钙方晶直径2~10μm,另有小方晶。 ⑤表皮表面观细胞不规则形或类长多角形,垂周壁波状弯曲或稍平直。上表皮细胞壁连珠状增厚,表面有平行的角质纹理;下表皮细胞垂周壁较薄,气孔及毛茸多。气孔长圆形或类圆形,直轴式。 ⑥纤维细长,有的胞腔内含细小草酸钙结晶。 ⑦螺纹、网纹、梯纹或具缘纹孔导管直径10~61μm,螺纹导管宽大,螺纹紧密,具缘纹孔导管的具缘纹孔排列紧密。网纹导管的网孔细密。 ⑧厚角组织纵断面观细胞长条形,胞腔内有细小草酸钙针状、杆状结晶,常聚集于细胞的一端。(图见国钧《中药材粉末显微鉴定》.第331页.图159)

贮藏:置阴凉干燥处,防蛀。

化学性质

含挥发油(紫苏油),油中主要有:紫苏醛(l-Perillaldehyde)、紫苏醇(lPerilla-alcohol)、二氢紫苏醇(Dihydroperilla-alcohol)、苧烯、芳樟醇、薄荷脑、丁香烯、香薷酮(Elsholtziaketone)、台薷酮(Naginataketone)、紫苏酮(Perillaketone)、异白苏酮(Isoegomaketone)、榄香脂素(Elemicin)、肉豆蔻醚(Myristicin)、莳萝油脑(Dillapiol)、α-蒎烯、β-蒎烯、薄荷酮、丁香酚、3-辛醇、1-辛烯-3-醇、橙花叔醇、匙叶桉醇(Spathulenol)、植物醇等[1,2]

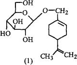
另外尚含:花青素-3-(6-对香豆酰-β-D-葡萄糖)-5-β-D-葡萄糖甙[Cyanidin-3-(6-p-coumaroyl-β-D-glucoside)-5-β-D-glucoside][1],丙二酰紫苏甙{Malonylshisonin,即3-O-[6-O-(E)-对香豆酰-β-D-吡喃葡萄糖]-5-O-(6-O-丙二酰-β-D-吡喃葡萄糖)花青素、3-O-[6-O-(E)-p-coumaroylβ-D-glucopyrano-syl]-5-O-(6-O-malonyl-β-D-glucopyranosyl)cyanidinl[3]、咖啡酰丙二酰花青甙(Caffeylmalonylcyanin)、丙二酰顺紫苏甙(Malonylcis-shisonin)、咖啡酰花青甙(Caffeylcyanin)、顺紫苏甙(cis-Shisonin)[4]、另分得咖啡酸酯Ⅰ和Ⅱ(Caffeic ester Ⅰ and Ⅱ)[5]以及芹菜素7-O-二葡萄糖醛酸甙、木犀草素7-O-二葡萄糖醛酸甙和黄芩素7-O-二葡萄糖醛酸甙[6];新近,从鲜叶中分得一单萜甙命名为紫苏甙甲(Perilloside A)(1)[7]

参考文献

[1] 南京药学院.中草药学.下册.江苏科学技术出版社,1980;939。
[2] CA 1992;116:27908c。
[3] CA 1989;111:54176r。
[4] CA 1990;113:188025r。
[5] CA 1990;113:188018r。
[6] Phytochernistry 1993;33(4):97。
[7] Phytochemistry 1992;31(9) :3265。

药理

①对中枢神经的作用 紫苏叶煎剂及浸剂2g/kg ig,对伤寒混合菌苗发热家兔,有微弱的解热作用[1]。紫苏叶水提物4g/kg ig,或成分紫苏醛100mg/kg ig,能明显延长环已烯巴比妥钠引起的小鼠睡眠时间,但对体温无影响[2]。紫苏成分莳萝油脑(Dillapiol)1,10,100mg/kg ig,可延长小鼠环己巴比妥钠的睡眠时间[3]。 ②抗菌平皿法,紫苏油1‰浓度,对酵母菌,黑霉菌、青霉菌及变形杆菌均有抑制作用[4]。紫苏叶醚提物200~1600μg/ml,紫苏醛25~100μg/ml浓度对白癣菌有抑制作用[5]。 ③抗病毒 紫苏水煎剂1 20浓度,对病毒ECHO11株有抑制作用[6]。 ④对凝血的影响 紫苏水提液100mg/ml在体外、2g/kg im在体内均对二磷酸腺苷(ADP)和胶原诱导的家兔血小板聚集有抑制作用[7]。紫苏水煎醇沉注射液(每1ml相当于生药2g),对动物局部创面有止血作用,并可使创面收敛,结痂较快[8]。 ⑤对血糖的影响 紫苏油0.35ml/kg ig,使家兔血糖上升,5~6h回复正常;主要成分紫苏醛作成肟(Oxim)后,0.17g/kg ig,升血糖作用强于紫苏油,将此肟溶于橄榄油中sc,亦有作用,但较缓慢[9]。 ⑨其他 苏叶甲醇提取物1g/kg ip,于x线照射前5min给药,对小鼠皮肤损害有防护作用[10]。紫苏叶匀浆取汁,小鼠0.4ml/只ig,能抑制内源性肿瘤坏死因子(TNF)的过量生成[11]

毒性:紫苏酮10mg/kg iv,可使山羊死亡[12]

参考文献

[1] 中华医学杂志 1956;(10):964。
[2] 药学杂志(日) 1981;101(7):642。
[3] Chem Pharm Bull 1988;36(8):3153。
[4] 中国中药杂志 1990;15(2):31。
[5] 生药学杂志(日) 1984;38(1):127。
[6] 新医药学杂志 1973;(12):38。
[7] 中药药理与临床 1990;6(6):32。
[8] 中国药学杂志 1989;24(11):679。
[9] 医学中央杂志(日) 1962:171:797。
[10] 药学杂志 1989;109(2):i】3。
[11] Biosci Biotech Biochem 1992;56(1):152。
[12] Toxicol Appl Pharmacol 1979;45(1):300。

药性

性味:辛、温。 ①《别录》:“味辛,温。” ②《千金·食治》:“味辛,微温。” ③《本草衍义》:“味微辛,甘。”

归经:入脾、肺经。 ①《滇南本草》:“入脾,肺二经。” ②《本草经疏》:“入手少阴、太阴,足阳明经。” ③《本草经解》:“入足厥阴肝经,手太阴肺经。”

功效:发表,散寒,理气,和营。

主治:感冒风寒,恶寒发热,咳嗽,气喘,胸腹胀满,胎动不安。并能解鱼蟹毒。 ①《别录》:“主下气,除寒中。” ②孟诜:“除寒热,止冷气。” ③《日华子本草》:“治心腹胀满,止霍乱转筋,开胃下食,并(治)一切冷气,止脚气,通大小肠。” ④《本草图经》:“通心经,益脾胃。” ⑤《履巉岩本草》:“止金疮出血:疗痔疾,煎汤洗之。” ⑥《滇南本草》:“发汗,解伤风头痛,消痰,定吼喘。” ⑦《纲目》:“行气宽中,消痰利肺,和血,温中,止痛,定喘,安胎。” ⑧《本经逢原》:“能散血脉之邪。”

用法用量:内服:煎汤,6~9g。外用:捣敷或煎水洗。

使用注意:温病及气弱表虚者忌服。 ①《本草经疏》:“病属阴虚,因发寒热或恶寒及头痛者,慎毋投之,以病宜敛宜补故也。火升作呕者亦不宜。” ②《本草通玄》:“久服泄人真气。”

临床应用

配伍应用:①配生姜,治因食鱼蟹引起的腹痛、吐泻。 ②配藿香,治外感风寒加湿,对有腹痛,吐泻者疗效明显。 ③配香附,治风寒郁于肌表之恶寒发热,头痛无汗,而见胸脘痞满,饮食不振等脾胃气滞者。 ④配桔梗,治感冒鼻塞,咳嗽痰多等症。 ⑤配黄连,治妊娠呕吐、胎动不安。 ⑥配砂仁,治气机不畅所致的胸腹满闷,胎动不安。 ⑦配人参,治咳逆短气。 ⑧配桑叶,同捣贴之,治金疮出血。 ⑨配荆芥、防风,治外感风寒而兼有胸闷、恶心、呕吐者。 ⑩配生石膏、白芷,治口臭病。 ⑾配半夏、厚朴、治脾胃气滞,胸闷呕吐,偏气滞痰结者。 ⑿配砂仁、木香、陈皮、治妊娠恶阻、气滞而胎动不安之证。 ⒀配香附、陈皮、甘草、治外感风寒、内伤积食、恶寒头痛,无汗、胸脘痞闷,不思饮食等症。 ⒁配独活、苍术、槟榔,治脚气病。 ⒂配厚朴、半夏、茯苓、生姜,治七情郁结、气滞痰阻、咽喉不利、胸满喘急等症。 ⒃配大腹皮、陈皮、当归、白芍,治妊娠于悬、胎动不安等症。

方选和验方: ①《补缺肘后方》:“治卒得寒冷上气:干苏叶90g,陈橘皮120g,酒800ml煮取300ml,分为再服。” ②紫苏汤(《圣济总录》)治咳逆短气:紫苏茎叶(锉)30g,人参15g。上2味,粗捣筛,每服6g,水200ml,煎至140ml,去滓,温服,日再。 ③紫苏饮(《济生方》)治胎气不和,凑上心腹,胀满疼痛,谓之子悬:大腹皮、川芎、白芍药、陈皮(去白)、紫苏叶、当归(去芦、酒浸)各30g,人参、甘草(炙)各15g。上细切,每服12g,水300ml,生姜5片,葱白7寸,煎至200ml,空心温服。 ④苏叶汤(《不知医必要》)治伤风发热:紫苏叶、防风、川芎各4.7g,陈皮3g,甘草2g。加生姜2片煎服。 ⑤紫苏散(《普济本事方》)治肺感风寒咳嗽:紫苏叶、桑白皮(蜜炙)、青皮、五味子、炒杏仁、麻黄、炙甘草各等份,为末,每次6g,水煎服。 ⑥紫苏汤(《证治准绳·类方》)治消渴后遍身浮肿、心膈不利:紫苏茎叶、桑白皮、赤获苓各30g,炒郁李仁、羚羊角、槟榔各22g,桂心、炒枳壳、独活、木香各15g。为粗末,每服12g,加生姜1g,水煎服。 ⑦芎苏散(《证治准绳·伤寒》)治妊娠伤寒头痛、憎寒壮热、身痛项强:紫苏叶、川芎、白芍药、白术、陈皮、葛根、甘草、麦门冬各等份。为粗末,每服12g,加姜4片,葱白3茎,水煎服。 ⑧紫苏饮子(《杂病源流犀烛·脏腑门》)治脾肺受寒而致咳嗽,其脉弦微,面白口干,腹中大寒,痰白作泡,口甘涎沫者:紫苏叶、杏仁、桑白皮、青皮、陈皮、五味子、麻黄、甘草、人参、半夏各适量,加生姜水煎服。 ⑨杏苏二陈丸(《江苏省药品标准》1977年)治外感风寒,痰湿阻滞,肺气失宣所致的鼻塞、头痛,咳嗽痰多:杏仁200g,紫苏叶300g,陈皮300g,前胡200g,桔梗200g,茯苓200g,半夏(姜制)300g,甘草(炙)100g,上药粉碎成细粉,过筛,混匀,用水泛丸,70℃以下干燥,约得1580g,每18粒丸重1g。每日1~2次,每次6~9g。 ⑩《湖南药物志》:“治感冒初起:紫苏叶6g,薄荷5g,香葱3根。水煎服。” ⑾《湖南药物志》:“治一切癣症:鲜紫苏叶、生黄荆叶,搓烂搽患处。” ⑿四川中医 1985;(11):“治狭窄性腱鞘炎:桂枝、紫苏叶各15g,伸筋草20g,透骨草、鲜桑枝各30g,麻黄、红花各8g。上药水煎至2000~3000ml,熏蒸浸洗患处,每次30分钟左右,每日2次。熏洗后用硬纸壳固定患处。” ⒀天津医药 1976;(5):“治阴囊湿疹:紫苏叶90g,上药30g,在铁锅上炒过(不焦为度)研细末。再将上药60g,煎汤洗患处,约20分钟左右,洗后立即将上药粉撒布患处。” ⒁江苏中医 1966;(3):“治风寒咳嗽:枇杷叶(包)、紫苏叶各9g,甜杏仁12g,大蒜头(去皮)3g。先将甜杏仁和大蒜头共捣烂如泥;再将枇杷叶和紫苏叶加水适量煎沸冲入上述药泥中,用筷子搅拌加盖,稍等沉淀后服用。每日1剂分2次服。早、晚各服1次。”

单方应用:①《补缺肘后方》:“治伤寒啘不止:赤苏30g,水300ml,煮取200ml,稍稍饮。” ②《金匮要略》:“治食蟹中毒:紫苏煮汁饮之。” ③《千金方》:“治蛇虺伤人:紫苏叶捣汁饮之。” ④《海上仙方》:“治乳痈肿痛:紫苏煎汤频服,并捣封之。” ⑤《永类钤方》:“治金疮出血:嫩紫苏叶、桑叶,同捣贴之。” ⑥《湖南药物志》:“治小儿阴囊水肿:紫苏叶研末,调醋敷。” ⑦《中药大全》:“治阴囊湿疹:紫苏叶30g,煎水,放温后浸洗患部,然后用生油在患处搽匀。”

医药家论述

①李时珍《纲目》:“紫苏,近世要药也。其味辛,入气分,其色紫,入血分。故同橘皮、砂仁,则行气安胎;同藿香、乌药,则温中止痛;同香附、麻黄,则发汗解肌;同芎、当归,则血和、散血;同木瓜、厚朴,则散湿解暑,治霍乱脚气,同桔梗、枳壳,则利膈宽肠;同杏仁、莱菔子,则消痰定喘。” ②倪朱谟《本草汇言》:“紫苏,散寒气,清肺气,宽中气,安胎气,下结气,化痰气,乃治气之神药也。一物有三用焉,如伤风伤寒,头疼骨痛,恶寒发热,肢节不利,或脚气疝气,邪郁在表者,苏叶可以散邪而解表;气郁结而中满痞塞,胸膈不利,或胎气上逼,腹胁胀痛者,苏梗可以顺气而宽中;设或上气喘逆,苏子可以降火而清痰,三者所用不同,法当详之。” ③贾所学《药品化义》:“紫苏叶,为发生之物。辛温能散,气薄能通,味薄发泄,专解肌发表,疗伤风伤寒,及疟疾初起,外感霍乱,湿热脚气,凡属表证,放邪气出路之要药也。丹溪治春分后湿热病,头痛身热、脊强目痛,鼻干口渴,每以此同葛根,白芷入六神通解散,助其威风,发汗解肌,其病如扫。取其辛香,以治抑郁之气,停滞胸膈,入分心气饮,开心胸郁热神妙。如寒滞腹痛,火滞痢疾,湿滞泄泻,少佐二、三分,从内略为疏表解肌最为妥当。参苏饮治虚人感冒风寒,方中一补一散,良有深意。如不遵其义,减去人参,或服之不应,或邪未散而正气先虚。” ④黄元御《长沙药解》:“苏叶辛散之性,善破凝寒而下冲逆,扩胸腹而消胀满、故能治胸中瘀结之证而通经达脉,发散风寒,双解中外之药也。” ⑤《本草正义》:“紫苏,芳香气烈。外开皮毛,泄肺气而通腠理;上则通鼻塞,清头目,为风寒外感灵药;中则开胸膈,醒脾胃,宣化痰饮,解郁结而利气滞。今人恒以茎、叶、子三者分主各症。盖此物产地不同,形状亦别,多叶者其茎亦细,而茎干大者,则叶又少,故分析辨治,尤为精切。叶半轻杨,则风寒外感用之,疏散肺闭,宣通肌表,泄风化邪,最为敏捷。茎则质坚,虽亦中空,而近根处伟大丰厚,巨者径寸,则开泄里气用之,解结止痛,降逆定喘,开胃醒脾,固与开泄外感之旨不同。而子则滑利直下,降气消痰,止嗽润肺,又是别有意味。此今人选药之密,已与宋金元明不同,不可谓非药物学之进境者。

参考文章