短柄野芝麻

概况

异名:野芝麻(新疆药材名)。

基源:为唇形科野芝麻属植物短柄野芝麻的干燥花。

原植物:短柄野芝麻Lamium album L.(L.petiolatum Royle ex Benth.)

形态:多年生草本,高20~50cm。茎单生,直立,具四棱,光滑。叶对生,有长柄,一般长5cm左右,被白色柔毛;叶片心状卵形,顶端渐尖,边缘锯齿,两面都有白色柔毛,长2~6cm,宽1.5~4cm。花序轮伞形,着生在茎上部叶腋中,苞片线形;萼钟状,外有白柔毛;萼5裂,裂片锥形,有白毛;花冠白色或淡黄色,二唇形,上唇倒卵形,弓形弯曲,下唇3裂,中裂片宽,顶端微凹,基部急收缩,侧裂片小,顶端有1针状齿。雄蕊4,2强,着生于上唇,花丝有茸毛,花药黑紫色,有须毛。小坚果三角形,长3~3.5mm,直径1.5~1.7mm,深灰色,无毛,有小突起。花期7~9月,果期8~10月。(图见《新疆药用植物志》.第2册.131页)

生境与分布:生于海拔1400~2400m的落叶松林缘、云杉林破坏后的湿润地及谷底半阴坡草丛中。分布于中国新疆北部、甘肃、山西、内蒙古。欧洲、西亚经伊朗至印度、原苏联远东地区、蒙古、日本及加拿大也有分布。

化学性质

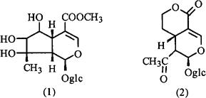
全草含皂甙、鞣质、咖啡酸(Caffeic acid)和多种氨基酸。皂甙最高含量在根和花里。花中鉴定出3个皂甙和4个甙元。叶和花含咖啡酸。茎和根含阿魏酸。全草都含绿原酸(Chlorogenic acid)。甙元有槲皮素和山柰酚。并鉴定出半乳糖(Galactose)和鼠李糖。总黄酮含量为0.39%。花中含有21种氨基酸,根和叶中含18种。即胱氨酸(Cystine)、天冬氨酸(Aspartic acid)、谷氨酸(Glutamic acid)、丝氨酸(Serine)、天冬酰胺(Asparagine)、甘氨酸(Glycine)、苏氨酸(Threonine)、丙氨酸(Alanine)、γ-氨基丁酸(γ-Aminobutyric acid)、蛋氨酸和缬氨酸(Methionine,Valine)、苯基丙氨酸(Phenylalanine)、亮氨酸(Leucine)、脯氨酸(Proline)、鸟氨酸(Ornithine)、赖氨酸(Lysine)、酪氨酸(Tyrosine)、精氨酸(Arginine)、半胱氨酸(Cysteine)[1]。 花含槲皮黄甙(Quercimeritrin)、芳香甙和野芝麻甙(Lamioside)[2],野芝麻别甙(Lamalbid)(1)[3]。尚含短柄野芝麻甙A(2)、B(Alboside A,B)和莸甙(Caryoptoside)[4,5]、对羟苯甲酸、对香豆酸、异阿魏酸、香草酸、儿茶酸、丁香酸(Syringic acid)和龙胆酸(Gentisic acid)[6]

参考文献

[1] 江苏省植物研究所.新华本草纲要.第1册.上海科学技术出版社,1988:439。
[2] CA 1964;61:15034b。
[3] Tetrahedron Lett 1973;(41):403。
[4] Phytochemistry 1992;31(1):175。
[5] Phytochemistry 1992;31(1):139。
[6] CA 1984;100:135882t。

药理

本品所含的三萜皂甙具有明显的抗炎作用,对保泰松引起的水肿无抑制作用。本品提取物和三萜皂甙均具有温和的利尿作用和明显的排钾作用,静注三萜皂甙可产生剂量依赖性的短时间降压作用。

参考文献

CA 1983;98:46480h。

药性

性味:地上部分:微甘、苦,凉。

功效:活血,散瘀,消炎止痛。

主治:跌打损伤,痛经,赤白带下,尿路感染(尿痛,尿血),子宫内膜炎

临床应用

单方应用:①《湖南药物志》:“治小儿虚热,肿毒,毒虫咬伤:短柄野芝麻10g,水煎服。” ②《新华本草纲要》:“治跌打损伤,痛经,赤白带下,血尿:短柄野芝麻9~15g,水煎服。”